值得收藏!基于激光雷达数据的深度学习目标检测方法大合集(上)

是百度早期自动驾驶组在2016年工作。
将全卷积网络技术移植到三维距离扫描数据检测任务。具体地,根据Velodyne 64E激光雷达的距离数据,将场景设置为车辆检测任务。在2D点图呈现数据,并使用单个2D端到端全卷积网络同时预测目标置信度和边框。通过设计的边框编码,使用2D卷积网络也能够预测完整的3D边框。
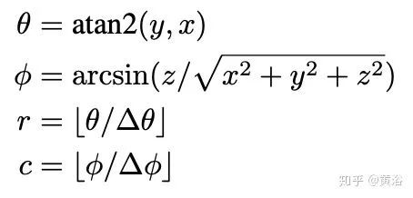
2D点图的形成通过如下公式:

其中p =(x,y,z)表示3D点,(r,c)表示其投影的2D图位置。θ和φ表示观察点时的方位角和仰角。Δθ和Δφ分别是连续光束发射器之间的平均水平和垂直角分辨率。投影点图类似于圆柱图像。用2-通道数据(d,z)填充2D点图中的(r,c)元素,其中d =(x ^ 2 + y ^ 2)^ 0.5。
如图所示:(a)对于每个车辆点p,定义一个以p为中心的特定坐标系;坐标系的x轴(rx)与从Velodyne原点到p(虚线)的光线一致。(b)关于观察车辆时的旋转不变性的说明,载体A和B具有相同的外观。

下图是FCN结构图:

FCN结构
目标度图deconv6a由对应于前景,即位于车辆上的点,以及背景,的2个通道组成。2个通道由softmax标准化表示置信度。
边框图的编码需要一些额外的转换。

下图在不同阶段生成数据的可视化结果。(a)输入点图(d, z),其中 d 通道可视化。(b)FCN中deconv6a输出口目标度分支输出的置信度图。红色表示更高的置信。(c)对应于预测为正的所有点的边框候选,即(b)中的高置信度点。(d)非最大抑制后的剩余边框。红点是车辆的基本点供参考。

“VoxelNet: End-to-End Learning for Point Cloud Based 3D Object Detection”
Apple的工作:为消除对3D点云的手动特征工程的需求,提出VoxelNet,一种通用的3D检测网络,可将特征提取和边框预测统一到单步端到端可训练的深度网络中。

具体而言,VoxelNet将点云划分为等间距的3D体素,并通过体素特征编码(VFE)层将每个体素内的一组点转换为统一的特征表示。
通过这种方式,点云被编码为描述性体积表示,然后将其连接到区域建议网络(RPN)以生成检测。

下面是VFE层的结构:

如图是RPN的结构:

“Object Detection and Classification in Occupancy Grid Maps using Deep Convolutional Networks”
基于网格图的环境表示,非常适合传感器融合、自由空间的估计和机器学习方法,主要使用深度CNN检测和分类目标。
作为CNN的输入,使用多层网格图有效地编码3D距离传感器信息。
推理输出的是包含一个带有相关语义类别的旋转边框列表。
如图所示,将距离传感器测量值转换为多层网格图,作为目标检测和分类网络的输入。从这些顶视图网格图,CNN网络同时推断旋转的3D边框与语义类别。将这些框投影到摄像机图像中进行视觉验证(不是为了融合算法)。汽车被描绘成绿色,骑自行车的人是海蓝宝石,行人是青色。

以下是获得占有网格图(occupancy grid maps)的预处理。
由于仅在摄像机图像中有标记目标,因此删除不在摄像机视野中的所有点。
应用地面分割并估计不同的网格单元特征,得到的多层网格图的大小为60m×60m,单元格大小为10cm或15cm。如所观察到的,在大多数情况下地面是平坦的,因此将地平面拟合到代表点集。
然后,使用完整点集或非地面子集来构造包含不同特征的多层网格图。



“RT3D: Real-Time 3-D Vehicle Detection in LiDAR Point Cloud for Autonomous Driving”
这是一种实时三维(RT3D)车辆检测方法,利用纯LiDAR点云来预测车辆的位置、方向和尺寸。
设计的是两步检测法,文中应用pre-RoI pooling卷积,将大部分卷积运算移到RoI池之前,只留下一小部分,这样可以显着提高计算效率。
姿势敏感的特征图设计特别通过车辆的相对姿势激活,带来车辆的位置、方向和尺寸的高回归精度。
文中声称RT3D是第一款在0.09秒内完成检测的LiDAR 3-D车辆检测工作。

下图是RT3D的结构图:

“BirdNet: a 3D Object Detection Framework from LiDAR information”
这个基于LiDAR的3D物体检测流水线,需要三个阶段:
- 首先,激光数据被投射到鸟瞰图的新单元编码中。
- 之后,通过最初设计用于图像处理的卷积神经网络,估计平面目标的位置及其航向。
- 最后,后处理阶段计算面向3D的检测。


“LMNet: Real-time Multiclass Object Detection on CPU using 3D LiDAR”



“HDNET: Exploit HD Maps for 3D Object Detection”



“PointNet: Deep Learning on Point Sets for 3D Classification and Segmentation ”



“IPOD: Intensive Point-based Object Detector for Point Cloud”




“PIXOR: Real-time 3D Object Detection from Point Clouds”


“DepthCN: Vehicle Detection Using 3D-LIDAR and ConvNet”


“SECOND: Sparsely Embedded Convolutional Detection“





“YOLO3D: E2E RT 3D Oriented Object Bounding Box Detection from LiDAR Point Cloud”


“YOLO4D: A ST Approach for RT Multi-object Detection and Classification from LiDAR Point Clouds”

“Deconvolutional Networks for Point-Cloud Vehicle Detection and Tracking in Driving Scenarios”




“Fast and Furious: Real Time E2E 3D Detection, Tracking and Motion Forecasting with a Single Convolutional Net”




“PointRCNN: 3D Object Proposal Generation and Detection from Point Cloud “
PointRCNN是一种深度NN方法,从原始点云进行3D对象检测。


“PointPillars: Fast Encoders for Object Detection from Point Clouds“

“Complex-YOLO: An Euler-Region-Proposal for Real-time 3D Object Detection on Point Clouds”
Complex-YOLO,是一个仅用点云数据的实时3D物体检测网络。它通过特定的复杂回归策略扩展YOLOv2网络(这是以前一种用于RGB图像的快速2D标准物体检测器),估计笛卡尔空间中的多类3D边框。


◆
精彩推荐
◆
推荐阅读
免费开源!新学期必收藏的AI学习资源,从课件、工具到源码都齐了
干货 | 收藏!16段代码入门Python循环语句
Python玩转高德地图API(一)
任正非称华为 6G 领先世界;支付宝小程序将与微博打通;Linux Kernel 5.3 发布 | 极客头条
幼儿识字从比特币开始? 小哥出了本区块链幼教书, 画风真泥石流……
Serverless 的喧哗与骚动
我们到底该如何看待6G?
互联网大佬为什么爱唱歌
惊呆!这辆悍马自己在跑跑跑跑跑跑跑!

你点的每个“在看”,我都认真当成了喜欢
相关文章:
Caffe源码中Pooling Layer文件分析
Caffe源码(caffe version commit: 09868ac , date: 2015.08.15)中有一些重要的头文件,这里介绍下include/caffe/vision_layers文件中PoolingLayer类,在最新版caffe中,PoolingLayer类被单独放在了include/caffe/layers/pooling_layer.hpp文件中…

手持终端以物联网的模式
近年来,物联宇手持终端以物联网的模式,开启了信息化的管理模式,迸发了新的自我提升和业务新商机。手持终端是一款智能的电子设备,它的核心功能为用户速带来业务效率的提升,如快递行业,每天的工作量需求大&a…

Linux系统基础-管理之用户、权限管理
Linux用户、权限管理一、如何实现"用户管理"1.什么是用户 "User" : 是一个使用者获取系统资源的凭证,是权限的结合,为了识别界定每一个用户所能访问的资源及其服务的。只是一种凭证。会有一个表示数字,计算机会首…
Ubuntu14.04 LTS中安装Ruby 2.4源码操作步骤
(1)、查看是否已安装ruby,执行命令,如下图,可见机子上还没有安装ruby,即使通过apt-get install命令安装也只能安装1.8版本;(2)、从 http://www.ruby-lang.org/en/downloads/ 下载最新稳定版2.4即ruby-2.4.0.tar.gz&a…

图森未来完成2.15亿美元D轮融资,将拓展无人驾驶运输服务
AI科技大本营消息,9月17日,图森未来宣布获得1.2亿美元的D2轮投资,并完成总额为2.15亿美元的D轮融资。D2轮的投资方除了此前已宣布的UPS外,还包括新的投资方鼎晖资本,以及一级供应商万都(Mando Corporation&…

中国互联网公司开源项目调研报告
近年来,开源技术得到越来越多的重视,微软收购GitHub、IBM收购红帽,都表明了开源的价值。国内公司也越来越多的参与开源,加入开源基金会/贡献开源项目。但是,它们到底做得如何呢?为此InfoQ统计了国内在GitHu…

ReSharper 配置及用法
1:安装后,Resharper会用他自己的英文智能提示,替换掉 vs2010的智能提示,所以我们要换回到vs2010的智能提示 2:快捷键。是使用vs2010的快捷键还是使用 Resharper的快捷键呢?我是使用re的快捷键 3: Resharper安装后,会做…
Ubuntu14.04 LTS中升级gcc/g++版本到4.9.4的操作步骤
Ubuntu14.04 LTS中默认的gcc/g版本为4.8.4,如下图,在C11中增加了对正则表达式的支持,但是好像到gcc/g 4.9.2版本才会对正则表达式能很好的支持,这里介绍下Ubuntu14.04 LTS升级gcc/g版本到4.9.4的操作步骤: 1࿰…

华为全球最快AI训练集群Atlas 900诞生
作者 | 胡巍巍来源 | CSDN(ID:CSDNnews)你,和计算有什么关系?早上,你打开手机App,查看天气预报,和计算有关;中午,你打开支付宝人脸支付,买了份宫保…

rabbitmq可靠发送的自动重试机制 --转
原贴地址 https://www.jianshu.com/p/6579e48d18ae https://www.jianshu.com/p/4112d78a8753 git项目代码地址 https://github.com/littlersmall/rabbitmq-access 转载于:https://www.cnblogs.com/hmpcly/p/10641688.html

在Linux下如何安装配置SVN服务
2019独角兽企业重金招聘Python工程师标准>>> Linux下在阿里云上架一个svn centos上安装:yum install subversion 安装成功 键入命令 svnserve --version 有版本信息则进行下一步 1、新建版本库目录 mkdir -p /opt/svndata/repos 2、设置此目录为…

201671030129 周婷 《英文文本统计分析》结对项目报告
项目内容这个作业属于哪个课程软件工程这个作业的要求在哪里软件工程结对项目课程学习目标熟悉软件开发整体流程及结对编程,提升自身能力本次作业在哪个具体方面帮助我们实现目标体验组队编程,体验一个完整的工程任务一: 作业所点评博客GetHu…

C++/C++11中std::string用法汇总
C/C11中std::string是个模板类,它是一个标准库。使用string类型必须首先包含<string>头文件。作为标准库的一部分,string定义在命名空间std中。std::string是C中的字符串。字符串对象是一种特殊类型的容器,专门设计来操作字符序列。str…

你在付费听《说好不哭》,我在这里免费看直播还送书 | CSDN新书发布会
周一的时候,我拖着疲惫的身体回到家中,躺倒床上刷刷朋友圈,什么?周杰伦出新歌了?朋友圈都是在分享周杰伦的新歌《说好不哭》,作为周杰伦的粉丝,我赶紧打开手机上的QQ音乐,准备去听&a…

解决Mysql:unrecognized service错误的方法(CentOS)附:修改用户名密码
2019独角兽企业重金招聘Python工程师标准>>> service mysql start出错,mysql启动不了,解决mysql: unrecognized service错误的方法如下: [rootctohome.com ~]# service mysql startmysql: unrecognized service [rootctohome.co…
Caffe源码中Net文件分析
Caffe源码(caffe version commit: 09868ac , date: 2015.08.15)中有一些重要的头文件,这里介绍下include/caffe/net.hpp文件的内容:1. include文件:(1)、<caffe/blob.hpp>:此文件的介绍可以参考:http://blo…

满满干货的硬核技术沙龙,免费看直播还送书 | CSDN新书发布会
周一的时候,我拖着疲惫的身体回到家中,躺倒床上刷刷朋友圈,什么,周杰伦出新歌了?朋友圈都是在分享周杰伦的新歌《说好的不哭》,作为周杰伦的粉丝,我赶紧打开我手机上的QQ音乐,准备去…

【重磅上线】思维导图工具XMind:ZEN基础问题详解合集
XMind是XMind Ltd公司旗下一款出色的思维导图和头脑风暴软件。黑暗的UI设计、独特的ZEN模式、丰富的风格和主题、多分支的颜色等等功能会让你的工作更加便捷与高效。在视觉感官上也会给你带来最佳的体验感。 对于初学者来说,肯定会遇到各种各样的问题,有…

Linux内置的审计跟踪工具:last命令
这个命令是last。它对于追踪非常有用。让我们来看一下last可以为你做些什么。last命令的功能是什么last显示的是自/var/log/wtmp文件创建起所有登录(和登出)的用户。这个文件是二进制文件,它不能被文本编辑器浏览,比如vi、Joe或者其他软件。这是非常有用…

C++/C++11中std::set用法汇总
一个容器就是一些特定类型对象的集合。顺序容器(sequential container)为程序员提供了控制元素存储和访问顺序的能力。这种顺序不依赖于元素的值,而是与元素加入容器时的位置相对应。与之相对的,有序和无序关联容器,则根据关键字的值来存储元…

值得收藏!基于激光雷达数据的深度学习目标检测方法大合集(下)
作者 | 黄浴来源 | 转载自知乎专栏自动驾驶的挑战和发展【导读】在近日发布的《值得收藏!基于激光雷达数据的深度学习目标检测方法大合集(上)》一文中,作者介绍了一部分各大公司和机构基于激光雷达的目标检测所做的工作࿰…

java B2B2C源码电子商务平台 -commonservice-config配置服务搭建
2019独角兽企业重金招聘Python工程师标准>>> Spring Cloud Config为分布式系统中的外部配置提供服务器和客户端支持。使用Config Server,您可以在所有环境中管理应用程序的外部属性。客户端和服务器上的概念映射与Spring Environment和PropertySource抽象…

Topshelf:一款非常好用的 Windows 服务开发框架
背景 多数系统都会涉及到“后台服务”的开发,一般是为了调度一些自动执行的任务或从队列中消费一些消息,开发 windows service 有一点不爽的是:调试麻烦,当然你还需要知道 windows service 相关的一些开发知识(也不难&…

C++中nothrow的介绍及使用
在C中,使用malloc等分配内存的函数时,一定要检查其返回值是否为”空指针”,并以此作为检查内存操作是否成功的依据,这种Test-for-NULL代码形式是一种良好的编程习惯,也是编写可靠程序所必需的。在C中new在申请内存失败…

你猜猜typeof (typeof 1) 会返回什么值(类型)?!
typeof typeof操作符返回一个字符串,表示未经计算的操作数的类型。 语法: var num a; console.log(typeof (num)); 或console.log(typeof num) 复制代码typeof 可以返回的类型为:number、string、boolean、undefined、null、object、functi…

阿里云智能运维的自动化三剑客
整理 | 王银出品 | AI科技大本营(ID:rgznai100)近日,2019 AI开发者大会在北京举行。会上,近百位中美顶尖AI专家、知名企业代表以及千余名AI开发者进行技术解读和产业论证。而在AIDevOps论坛上,阿里巴巴高级技术专家滕圣…

Sublime Text2.0.2注册码
直接输入注册码就可以了 ----- BEGIN LICENSE ----- Andrew Weber Single User License EA7E-855605 813A03DD 5E4AD9E6 6C0EEB94 BC99798F 942194A6 02396E98 E62C9979 4BB979FE 91424C9D A45400BF F6747D88 2FB88078 90F5CC94 1CDC92DC 8457107A F151657B 1D22E383 A997F016 …
Caffe源码中Solver文件分析
Caffe源码(caffe version commit: 09868ac , date: 2015.08.15)中有一些重要的头文件,这里介绍下include/caffe/solver.hpp文件的内容:1. include文件: <caffe/solver.hpp>:此文件的介绍可以参考: http://b…

百度大脑金秋九月CV盛典,人脸识别新产品及伙伴计划发布会压轴开启
提起人脸识别你最先想到的是什么?是告别排队,刷脸就能支付的超市;还是告别黄牛,刷脸就能自助挂号建档的医院?其实,“刷脸”的时代早已到来,并且人脸识别技术的发展已经超越你的想象,…

BIML 101 - ETL数据清洗 系列 - BIML 快速入门教程 - 序
BIML 101 - BIML 快速入门教程 做大数据的项目,最花时间的就是数据清洗。 没有一个相对可靠的数据,数据分析就是无木之舟,无水之源。 如果你已经进了ETL这个坑,而且预算有限,并且有大量的活要做; 时间紧&am…