腾讯提超强少样本目标检测算法,公开1000类检测训练集FSOD | CVPR 2020
作者 | VincentLee
来源 | 晓飞的算法工程笔记
不同于正常的目标检测任务,few-show目标检测任务需要通过几张新目标类别的图片在测试集中找出所有对应的前景。为了处理好这个任务,论文主要有两个贡献:
提出一个通用的few-show目标检测算法,通过精心设计的对比训练策略以及RPN和检测器中加入的attention模块,该网络能够榨干目标间的匹配关系,不需要fine-tune就可以进行靠谱的新目标检测。实验表明,early stage的attention模块能够显著提升proposal的质量,而后面的多关系检测(multi-relation detector)模块则能有效抑制和过滤错误的背景
提供了一个1000类的少样本训练集FSOD,论文提出的模型的性能提升有一定程度得益于此训练集,是一个前所未有的训练集
FSOD: A Highly-Diverse Few-Shot Object Detection Dataset
尽管目前目标检测的训练集已经非常庞大,但是对于少样本目标检测算法的使用而言,这些训练集的类别都太少了。因此,论文构造了一个少样本目标检测专用的训练集
Dataset Construction
新训练集基于ImageNet(选了531类)和Open Images dataset V4(选了469类),但训练集间的类别不同,为了防止合并后存在漏标的情况,先对label进行分析和合并成树状结构,补充标注,然后去掉标注质量差的图片,包括包含目标太小()的图片。将类别分为训练集和测试集,先用COCO的类别作为基础训练集,防止pretrain的影响,然后尽量选择与当前训练集差距较大的类别作为测试集,共包含200类,再选择另外800类作为训练集。
Dataset Analysis
新训练集的数据情况如图3和表1,主要有两个特性:
High diversity in categories,类别覆盖的领域很多,包括动物、衣服、武器等,且训练集和测试集的类别来自不同的领域
Challenging setting,数据集在box大小和宽高比上有很多种,26.5%的图片包含至少3个目标,且有大量非目标类别的物体,干扰性很大
方法论
Problem Definition
给予包含目标特写的辅助图片(support image)以及可能包含类目标的查询图片,任务是找出查询图片中所有辅助图片对应的类别目标,并且标记其准确的位置。如果辅助集包含个类别,每个类提供张图片,则称为K-way N-shot检测。
Deep Attentioned Few-Shot Detection
论文提出新attention网络,该网络能够在RPN模块和多关系检测模块中学习辅助集与查询集间的通用的匹配关系。网络为包含多分支的权重共享框架,一个分支用于查询集,其它则用于辅助集(为了方便,图4只画了一个分支),对于同类别的辅助分支,使用平均特征图作为辅助特征图。查询分支的权重共享主干为Faster R-CNN(包括RPN),使用这个分支来训练辅助集和查询集的匹配关系,能够学习到同类别的通用知识。
Attention-Based Region Proposal Network
在少样本目标检测中,RPN能够产生潜在的相关box用于接下来的检测任务,不仅要分辨前景和背景,还要过滤不属于辅助集的前景。如果没有足够的辅助集信息,RPN将会产生大量不相关的proposal。为了解决这个问题,提出了attention RPN,能够使用辅助图片的信息来过滤背景以及不相关的前景,产生更少但更准的候选目标.
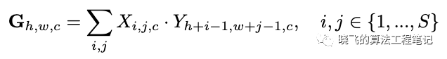
Attention RPN的核心是计算相似度特征图,对于辅助特征图以及查询特征图,相似度特征图计算如上。辅助特征用来作为核在查询特征图上进行类似depth-wise卷积的滑动。在实际中,查询特征采用RPN的输入特征,用于卷积的辅助特征大小为,由global average产生,在获得attention特征后,使用卷积进一步提取特征,然后接objectness分类和box预测,attention RPN的loss 会跟Faster R-CNN一样加入到模型的训练中
Multi-Relation Detector
RPN后面一般会接一个检测器用于对proposal进行重新评估和调整,而论文则希望检测器能够有强大的类别区分能力,提出了多关系检测器(multi-relation detector)来度量相似性.该检测器包含3个attention相似性模块,将3个模块的分数求和作为最终的匹配分数。对于大小均为的辅助特征和查询特征:
global-relation head,用于学习全局匹配的深层embedding。将和concatenate成特征,然后平均池化成,最后用加ReLU的两层全连接层输出最后的分数
local-correlation head,学习pixel-wise和depth-wise的关系,即对应位置的关系。首先使用卷积分别操作和,使用前面的Attention RPN的相似性计算进行depth-wise的相似性计算获得相似性特征图,,最后用单层全连接层获得分数
patch-relation head,用于学习非线性的块匹配,即一对多的关系。将和concatenate成特征,然后输出到表8的块关系模块中,表8的卷积层后面都接ReLU,所有卷积层和池化层都进行0填充,模块将特征图从下采样为(这里池化层的s1/p0感觉描述不清楚,等源码放出来再看看),最后同时接两个全连接层,一个全连接产生匹配分数,另外一个产生bbox的预测
论文对3种head的重要性进行了实验,可以看到这3种head能很好地互补,结合起来能够完整地表达目标间的关系。
Two-way Contrastive Training Strategy
通常少样本训练策略为每次输入为,论文认为模型应该同时学习识别同类别和区分不同类别,提出2-way对比训练策略。
如图7,该策略每轮随机选择一张查询图片、一张辅助图片以及一张别的类别的辅助图片组成三元组,查询图片中只有类目标标记为前景。在训练时,不仅学习间的相似性,也学习间的差异性。由于背景proposal的数量比较大,占据着训练过程,所以、和控制为1:2:1比例,根据匹配分数从高到低选择。每个proposal的损失为,匹配损失使用二值交叉熵。
论文对不同的训练策略进行了对比,2-way 5-shot对比训练策略效果最优,并且可以看到attention RPN也是有效的,提升了1.9。
实验
Training Details
查询图片短边为600像素,长边上限1000像素,辅助图片裁剪目标区域加16像素的位置,resize然后0填充至,在推理时,相同类别的辅助集使用平均特征集
Comparison with State-of-the-Art Methods
这里表格的finetune是指直接在测试集上进行finetune
Realistic Applications
More Categories vs More Samples?
结论
论文提出了新的少样本目标检测算法,创新点包括Attention-RPN、多关系检测器以及对比训练策略,另外还构建了包含1000类的少样本检测数据集FSOD,在FSOD上训练得到的论文模型能够直接迁移到新类别的检测中,不需要fine-tune。
论文地址:https://arxiv.org/abs/1908.01998
【end】
◆
原力计划
◆
《原力计划【第二季】- 学习力挑战》正式开始!即日起至 3月21日,千万流量支持原创作者!更有专属【勋章】等你来挑战
推荐阅读
2019年度CSDN博客之星TOP10榜单揭晓,你上榜了吗?
Javascript函数之深入浅出递归思想,附案例与代码!
不看就亏系列!这里有完整的 Hadoop 集群搭建教程,和最易懂的 Hadoop 概念!| 附代码
智能合约编写之Solidity的基础特性
微信七年「封链」史
计算机博士、加班到凌晨也要化妆、段子手……IT 女神驾到!
你点的每个“在看”,我都认真当成了AI
相关文章:

Linux加入到Windows域 收藏
一、实验环境: AD server:windows server 2003samba:redhat as5AD server的hostname和IP地址:turbomai-c<?xml:namespace prefix st1 ns "urn:schemas-microsoft-com:office:smarttags" />89f91.test.com 192…
哈希函数原理及实现
哈希解决冲突 1000以内的素数 一般的hash实现已经总结出一些比较重要的素数: static unsigned int table_size[] {7,13,31, 61, 127, 251, 509, 1021,2039, 4093, 8191, 16381, 32749, 65521,1310…
基于Virtual DOM与Diff DOM的测试代码生成
尽管是在年末,并且也还没把书翻译完,也还没写完书的第一稿。但是,我还是觉得这是一个非常不错的话题——测试代码生成。当我们在写一些UI测试的时候,我们总需要到浏览器去看一下一些DOM的变化。比如,我们点击了某个下拉…

Win32 环境下的堆栈
原文已经找不到,作者应该是:http://blog.csdn.net/slimak 但是没有找到此文,其中丢了2幅图 简介 在Win32环境下利用调试器调试应用程序的时候经常要和堆栈(Stack)打交道,尤其是在需要手工遍历堆栈(Manually Walking Stack)的时候我们需要…

在VMWare中配置SQLServer2005集群 Step by Step(四)——集群安装
在VMWare 中配置集群 1. 进入command 命令窗口执行以下命令,创建仲裁磁盘和共享数据磁盘 vmware-vdiskmanager.exe -c -s 200Mb -a lsilogic -t 2 F:\VM\Share\Windows\SQLServer\quorum.vmdk vmware-vdiskmanager.exe -c -s 4Gb -a lsilogic -t 2 F:\VM\Share\Wind…
口罩检测识别率惊人,这个Python项目开源了
作者 | 一颗小树x,CSDN 博主编辑 | 唐小引来源 | CSDN 博客昨天在 GitHub 上看到一个有趣的开源项目,它能检测我们是否有戴口罩,跑起程序测试后,发现识别率挺高的,也适应不同环境,于是分享给大家。首先感谢…

CentOS搭建msmtp+mutt实现邮件发送
1:搭建配置msmtp下载msmtp包:官方地址:http://msmtp.sourceforge.net/download.html编译,安装(官方下载的包为tar.xz格式):#xz -d msmtp-1.6.3.tar.xz #tar -xvf msmtp-1.6.3.tar #cd msmtp-1.6.3 #./configure --prefix /opt/app…
Linux环境下的堆栈--调试C程序
完整的调试过程,跟踪堆栈变化,32位下。 注意64位和此不同。 a.c代码: #include <stdio.h> int main() { AFunc(5,6);return 0; } int BFunc(int i,int j) {int m 1;int n 2;m i;n j; return m; }int AFunc(int i,int j) {…
听说过代码洁癖,Bug洁癖怎么解?
来源 | Python编程时光(ID: Cool-Python)当我们写的一个脚本或程序发生各种不可预知的异常时,如果我们没有进行捕获处理的时候,通常都会致使程序崩溃退出,并且会在终端打印出一堆 密密麻麻 的 traceback 堆栈信息来告诉…

POJO、VO、PO、FormBean区别:
首先讲一下四者的概念 POJO:Pure Old Java Object,符合Java Bean属性规范的简单Java对象,通常也称为VO(Value Object,值对象)。 VO:就是POJO; PO: Persistent Object,持久化对…

oracle中的sql%rowcount,sql%found、sql%notfound、sql%rowcount和sql%isopen
Oracle 存储过程 删除表记录时删除不存在的记录也是显示删除成功 create or replace procedure delDept(p_deptno in dept.deptno%type) is begindelete from dept where deptnop_deptno;dbms_output.put_line(部门删除成功...);exception when others thendbms_output.put_lin…

linux平台的链接与加载
原文是上下两篇 链接与加载(上) — 静态链接链接与加载(下) — 动态链接 为观看方便,现在合并起来。 一.静态链接 示例程序 我们先看一个简单的示例程序,代码如下: /*main.c*/int u 333;int sum(int, int);int main(int argc, char* argv…
预训练模型ProphetNet:根据未来文本信息进行自然语言生成
作者 | 刘大一恒、齐炜祯、晏宇、宫叶云、段楠、周明来源 | 微软研究院AI头条(ID:MSRAsia)编者按:微软亚洲研究院提出新的预训练模型 ProphetNet,提出了一种新的自监督学习目标——同时预测多个未来字符,在序列到序列的…

模拟进程管理小结,编码规范的重要性
废话不多说了,省的又有衰人找我麻烦。希望我讨厌的,和讨厌我的少来骚扰我,由衷的感谢它们。 我不回那些骚扰,是因为我见到名字就直接删了,看都懒的看了。也别怪我粗鲁,因为我一向是对什么人说什么话 的&…

JSPServlet路径问题
2019独角兽企业重金招聘Python工程师标准>>> 如果带WebRoot,那么js、css、img都应该放到WebRoot目录下,否则访问会有问题。千万不要放在WEB-INF下,因为WEB-INF下的内容只有服务器转发可以访问到,出于安全考虑。 如果不…

Git学习教程(六)Git日志
第六课 Git 日志 内容提要:浏览项目历史,查询指定提交内容,图形化显示分枝和合并...git log是git中最常用的一个命令,执行之后,会显示该项目的提交历史。如果命令不加任何参数,那么就会显示目前所在分枝上&…

汇编包含C代码
反汇编的时候带上C代码便于观察 比较三元表达式和if else的差异 a1.c #include <stdio.h> int main(void) { int a1;int b2;int c0;a (b>c)?1:0;return 0;} a2.c #include <stdio.h> int main(void) { int a1;int b2;int c0;if(b>c){a1;}else{a0;…
无需3D运动数据训练,最新人体姿势估计方法达到SOTA | CVPR 2020
作者 | Muhammed Kocabas译者 | 刘畅出品 | AI科技大本营(ID:rgznai100)人体的运动对于理解人的行为是非常重要的。尽管目前已经在单图像3D姿势和动作估计方面取得了进展,但由于缺少用于训练的真实的3D运动数据,因此现有的基于视频…

Linux内核跟踪之trace框架分析【转】
转自:http://blog.chinaunix.net/uid-20543183-id-1930846.html------------------------------------------本文系本站原创,欢迎转载!转载请注明出处:http://ericxiao.cublog.cn/------------------------------------------一: 前言本文主要是对trace的框架做详尽…
写给Python开发者:机器学习十大必备技能
作者 | Pratik Bhavsar译者 | 明明如月,编辑 | 夕颜来源 | CSDN(ID:CSDNnews)有时候,作为一个数据科学家,我们常常忘记了初心。我们首先是一个开发者,然后才是研究人员,最后才可能是数学家。我…

Linux环境程序栈溢出原理
当在缓冲区中输入过多的数据时,缓冲区溢出就会发生,C语言提供了多种方法,可以使在缓冲区中输入的数据比预期的多。 局部变量可以被分配到栈上。这就意味着在栈的某个地方有一个固定大小的缓冲区。 而栈是向下增长的,而且一些重要…

[翻译]Joomla 1.5架构(十一) model 包
这个包包含了跟数据表交互的所有相关类 JModel This abstract class is the base class for all Joomla! data access objects. 所有数据访问类的抽象基类。 以下的类都分别实现对不同表的访问,不再翻译了。 Adapter Folder JModelCategory This is a data access …

度量快速开发平台端口映射的介绍
度量快速开发平台在客户中部署的时候,可能会想内网与外网用户同时使用。一般情况下,服务端都是部署在内网的,那外网用户要访问,就可能用到端口映射的功能。端口映射基本都是在路由器上进行。下面就是几个常用的路由器上的设置方法…

为什么栈和堆的生长方向不一样
栈的生长方向 8051的栈是向高地址增长,INTEL的8031、8032、8048、8051系列使用向高地址增长的堆栈;但同样是INTEL,在x86系列中全部使用向低地址增长的堆栈。其他公司的CPU中除ARM的结构提供向高地址增长的堆栈选项外,多数都是使用…
简单粗暴理解与实现机器学习之逻辑回归:逻辑回归介绍、应用场景、原理、损失以及优化...
作者 | 汪雯琦责编 | Carol来源 | CSDN 博客出品 | AI科技大本营(ID:rgznai100)学习目标知道逻辑回归的损失函数知道逻辑回归的优化方法知道sigmoid函数知道逻辑回归的应用场景应用LogisticRegression实现逻辑回归预测知道精确率、召回率指标的区别知道如…

生命的脆弱——悼念朋友
生命的脆弱让我们敲希望的钟啊多少祈祷在心中让大家看不到失败叫成功永远在让地球忘记了转动啊四季少了夏秋冬让宇宙关不了天窗叫太阳不西沉让欢喜代替了哀愁啊微笑不会再害羞让时光懂得去倒流叫青春不开溜让贫穷开始去逃亡啊快乐健康留四方让世界找不到黑暗幸福像花开放让大家…

VMware Tools手动下载
2019独角兽企业重金招聘Python工程师标准>>> VMware自己下载VMware Tools非常慢。你可以自己手动下载它。 下载地址为: version: 8.8.2 http://softwareupdate.vmware.com/cds/vmw-desktop/ws/8.0.3/ 选择最新的build,例如: http:…

Linux查看多核CPU利用率
1.top 使用权限:所有使用者 使用方式:top [-] [d delay] [q] [c] [S] [s] [i] [n] [b] 说明:即时显示process的动态 d :改变显示的更新速度,或是在交谈式指令列( interactive command)按s q :没有任何延迟的显示速度…

仓央嘉措《那一天,那一月,那一年,那一世》
那一天, 我闭目在经殿的香雾中, 蓦然听见你颂经中的真言; 那一月, 我摇动所有的经筒, 不为超度, 只为触摸你的指尖; 那一年, 磕长头匍匐在…
AI+大数据助力抗疫,带你认识百度地图的新玩法!
作者 | Aholiab责编 | Carol出品 | AI科技大本营(ID:rgznai100)“喂,你好,我是百度地图的客服,请问是xx店铺对吗?”“嗯,什么事?”“您家在疫情期间还照常营业,对吗&…