你知道“啥是佩奇”,却不一定了解佩奇排名算法

作者 | 程序员小吴 从初学者的角度学习算法,以动画的形式呈现解题的思路。
来源 | 五分钟学算法
佩奇排名介绍
佩奇排名是根据页面之间的链接结构计算页面的值的一种算法。下面我们通过动画来理解进行计算的具体流程。
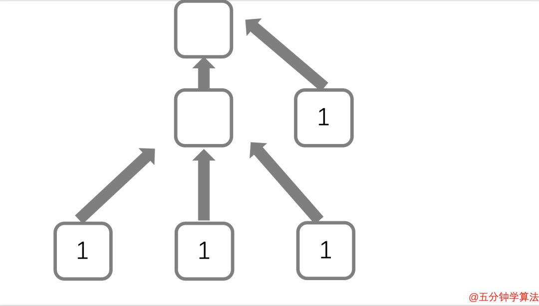
假设一个正方形表示一个 WEB 页面,一个箭头表示一个页面之间的链接。

此图表明下面 3 页包含指向上面 1 页的链接
在佩奇排名算法中,网页指向的链接越多,页面被确定为越重要。
因此,在这里,确定首页最重要。

确定首页最重要
实际上,每个页面的重要性都是通过计算来量化的。
基本的计算方法思想
1.未链接的页面分数为 1

未链接的页面分数为 1
2.有链接的页面得分为正在链接的页面的总得分

有链接的页面得分为正在链接的页面的总得分
3.当有多个网页的链接时,链接分数均匀分布

链接分数均匀分布
4.来自高度链接网页的链接具有很高的价值

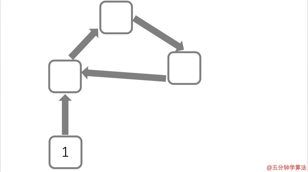
该图中心页面有三个独立页面指向它的链接,所以它的分数是 3 。
首页有一个很大的分数,因为链接是从分数为 3 的页面指向它的。

在动画中的六个页面中,判断最上面的页面是最重要的页面----这是佩奇排名的基本思想。
基本的计算方法思想的循环问题

如果按照顺序来计算每个页面的分数时,那么就会出现问题:以这种方式计算,它将无限循环,并且在循环中的页面得分在任何地方都会很高。

循环的问题可以通过“随机游走模型”的计算方法来解决。
随机游走模型
以小猪佩奇浏览网页为例。
小猪佩奇开始访问「五分钟学算法」中有趣的页面,那么从这个左下角页面开始。

它们跟随一个链接并移动到另外的一个页面,看了一些之后,发现不敢兴趣了,这样就停止了浏览。
然后,又一天,它在小吴的推荐下,在完全不同的页面进行浏览,跟随一个链接并移动到另外的一个页面,一旦失去兴趣就停止浏览。

像这样,重复从某个页面开始浏览,移动几页后便停止的操作,如果从互联网空间一侧进行观察,就像网页浏览的人:重复移动页面几次后传送到一个完全不同的页面。
量化随机游走模型
假设 1 - α 代表选择当前页面中的一个链接的概率。
α代表该人将传送到其他页面的概率。

现在用随机游走模型 处理上述的循环问题。

如果总页面访问次数达到1000次之后,使用百分比进行表示:那么这个值就表示“在某个时间点查看页面的概率”。

更实用的计算方法
如图所示,现在来尝试计算复杂的链接网络中每个页面的分数。

现在均匀设置分数,使总分加起来为 1 。而后根据网页浏览者的移动,来计算每个页面的概率。
移动 n次时出现在 A 中的概率表示未 PAn,移动 n 次时出现在 B 中的概率表示未 PBn。
举一个例子,在移动 1 次之后求在 A 的概率 PA 1。

在 C 选择移动的概率是 1-α。
其中,移动到 A 的一种场景是,C 中的佩奇选择了移动而不是传送。另外,这里选择了 A 而不是 B 作为目的地。
并且,根据上面的当有多个网页的链接时,链接分数均匀分布这条规则,从 A 或 B 选择 A 的概率是 0.5 。

因此,从 C 移动到 A 的概率是 PC0 ✖️ (1-α) ✖️ 0.5。

A 被选为传送目标的概率是 0.25
A 被选为传送目标的概率是 0.25 ,根据前面的理论:在 A、B、C、D 中小佩奇选择传送的概率为 α。因此,通过传送移动到 A 的概率为 α ✖️ 0.25。
所以,移动一次后在 A 的概率为
PA1 = PC0 ✖️ ( 1 - α ) ✖️ 0.5 + α ✖️ 0.25
其中 PC0 = 0.25 , α = 0.15,代入计算后 PA1 = 0.14375。
这样,通过计算后 B 、 C 、D 页的概率也更新了。

B 、 C 、D 页的概率也更新了
上面在移动 1 次之后这四个页面的概率更新情况,根据上述相同的方法计算 2 次后小佩奇浏览在每个页面的概率。

移动 2 次后
同样的,经过大量的移动,在每个页面上的概率逐渐趋于固定值。当数值固定是,计算也就完成了。

End
佩奇排名就是这样一种通过访问概率代替链接的权重来计算的机制。

推荐阅读
用“AI”给吴秀波测面相,发现……
任正非:人工智能就是计算机和统计学
程序员一毕业就年薪 110 万竟然是靠……
程序员锁死服务器失踪,公司解散 600 万项目彻底黄了!
关于云原生,这是最详细的技术知识
一年省下1000亿? 原来零售玩的是闷声发大财
不难!月薪 50K大牛,悉心整理程序员必备技能!
用Python全自动下载漂亮小姐姐的抖音视频!
用Python做一款俄罗斯方块游戏

相关文章:

用友发布U8 All-in-One引爆中小企业全面信息化
1月16日,北京经历了2010年第一场大雪和创50年的低温记录后,温度似有回升的感觉。什刹海一座别致建筑二楼的"用友中小企业全面信息化策略暨U8 All-in-One发布会"现场洋溢着融融暖意。用友在这里隆重发布了面向中小企业全面信息化的解决方案--U8…

Qt中文手册 之 QTreeWidgetItem
头文件:#include <QTreeWidgetItem> 成员函数 1、QTreeWidgetItem::QTreeWidgetItem(int type = Type) 使用类型type构造项,默认类型窗口类型 2、QTreeWidgetItem::QTreeWidgetItem(const QStringList & strings, int type = Type) 使用字符串列表strings作为项…

6位技术大咖11月倾心巨献,大数据+安全主题的技术分享合集【阿里云MVP 干货集锦】...
为什么80%的码农都做不了架构师?>>> 摘要: 大家好,阿里云 MVP 11月大数据安全主题分享新鲜出炉,快来一睹为快吧!哪些MVP的分享最吸引你,你最想支持哪个MVP? 我们将开启为期一周的最…

linux下jsp环境的搭建
转自http://gehailong.blog.51cto.com/765312/264162作gehailong一 、安装JDK#chmod x jdk-6u13-linux-i586-rpm.bin//给文件加入执行权限#./jdk-6u13-linux-i586-rpm.bin//生成安装文件,运行完此命令后会生成一个jdk-6u13-linux-i586.rpm#rpm -ivh jdk-6u13-linux-i586.rpm//安…

ABP理论学习之通知系统
本篇目录 介绍订阅通知发布通知用户通知管理者实时通知通知存储通知定义介绍 通知(Notification)用于告知用户系统中的特定事件。ABP提供了基于实时通知基础设施的发布订阅模型(pub/sub)。 发送模型 给用户发送通知有两种方式&am…

linux驱动:TI+DM8127+GPIO(一)之应用——报警输入输出
一、【GPIO应用】 报警输出1 ALRM_OUT1A、ALRM_OUT1B <-- ALM_OUT1 <-- CVOUT1_YC4 <-- W22 <--VOUT[1]_G_Y_YC[4]/EMAC[1]_MRXD[7]/VIN[1]A_D[9]/PATA_D[1]/GP3[8] /sys/class/gpio/gpio104/value 其中104 32*38 GPIOn_x的编号为32*nx,例如此处用…

Facebook增强版LASER开源:零样本迁移学习,支持93种语言
来源| Facebook AI 研究院译者 | Linstancy责编 | 琥珀出品 | AI 科技大本营(ID:rgznai100)【导语】为了加速自然语言处理 (NLP) 在更多语言上实现零样本迁移学习 (zero-shot transfer learning),Facebook 研究者扩展并增强了 LASER (Languag…

Python文本预处理:步骤、使用工具及示例
作者 | Data Monster译者 | Linstancy编辑 | 一一出品 | AI科技大本营(ID:rgznai100)本文将讨论文本预处理的基本步骤,旨在将文本信息从人类语言转换为机器可读格式以便用于后续处理。此外,本文还将进一步讨论文本预处理过程所需要…

读《杜拉拉升职记》有感
读杜拉拉升职记有感1.一定要在核心部门任职,防止被边缘化2.劳心者治人,劳力者治于人干了活还受气怎么办?1.把每一个阶段的主要任务和安排的都做成清晰简明的表格,发给我的老板,告诉他如果有反对意见,在某某…

linux驱动:TI+DM8127+GPIO(二)之驱动
二、【GPIO驱动框架》驱动driver】 重要结构体 gpio_chip:管理一组GPIO gpio_desc:描述每个GPIO gpio_bank:封装了gpio_chip加入GPIO控制的属性 1、驱动注册到platform中 Arch/arm/plat-omap/gpio.c中 static int __init omap_gpio_drv…

菜鸟的DUBBO进击之路(八):配置抽离导致${jdbc.url}被当成字符串处理
为什么80%的码农都做不了架构师?>>> 导致这个问题的原因有很多,基于我查到的资料做个记录 第一:xmlns:context"http://www.springframework.org/schema/context" xsi:schemaLocation"http://www.springframework.org/schema/…

用VS2005打开方案出现“此安装不支持该项目类型”
当在用VS2005打开已有项目时常会出现“此安装不支持该项目类型”。 出现此原因是因为已有项目是在打了VS 2005 SP1补丁后编写的,所以在没有打补丁的.net中会出现此种情况 下面就补丁下载:VS80sp1-KB926604-X86-CHS.exeWebApplicationProjectSetup.msi

linux驱动:TI+DM8127+GPIO(三)之omap_hwmod中添加GPIO资源
三、【GPIO驱动框架》向omap_hwmod中添加GPIO资源】 ***将GPIO硬件信息添加到注册到omap_hwmod_list列表中 Arch/arm/plat-omap/include/plat/ti81xx.h中 #define TI814X_GPIO3_BASE 0x481AE000 Arch/arm/plat-omap/gpio.c中 输入输出控制寄存器偏移地址 #define OMAP4…

用Redis存储Tomcat集群的Session(转载)
本文转自http://blog.csdn.net/chszs/article/details/42610365 感谢作者 前段时间,我花了不少时间来寻求一种方法,把新开发的代码推送到到生产系统中部署,生产系统要能够零宕机、对使用用户零影响。 我的设想是使用集群来搞定,通…

微信的Bug差点让我被老板炒鱿鱼!
作者 | 屠敏转载自CSDN(ID:CSDNnews)1 月 24 日上午 10:30 左右,10 亿用户量的国民应用微信疑似出现大 Bug。据网友反馈,自己一直使用的微信号突然显示被删除,登也登不上。对此,不少人的银行卡一…

vPower系列1: vMotion-没有vMotion,虚拟化只是玩具
vPower今天开讲,第一篇vMotion。vMotion是虚拟化可以支撑核心应用的重要前提,没有vMotion,虚拟化只是玩具,只能应用在实验环境和开发环境。为什么这么说呢?为什么会有vMotion?vMotion解决了虚拟平台上的什么…

linux驱动:TI+DM8127+GPIO(四)之设备
四、【GPIO驱动框架》设备device】 arch/arm/mach-omap2/gpio.c中 1、static int __init omap2_gpio_init(void) { returnomap_hwmod_for_each_by_class("gpio", omap2_gpio_dev_init, NULL); } archarm/mach-omap2/omap_hwmod.c 中 2、int omap_hwmod_for_each…

简单的TableViewCell高度自适应(只有Label,仅当参考思路)
在iOS开发中或多或少的都会碰到TableViewCell高度自适应,那么今天这篇文章就简单的介绍一下如何给tableViewCell自适应高度 #ViewController copy interface ViewController ()<UITableViewDelegate, UITableViewDataSource>{UITableView *_tableView; }property (nonato…

Google发布新的问答语料库,专攻篇章级的NLU问题
译者 | Linstancy整理 | Jane出品 | AI科技大本营(ID:rgznai100)开放域的问答(QA)是自然语言理解(NLU)中的一项基本任务,旨在模拟人是如何通过阅读和理解完整的文档,从而寻找信息、发…
AjaxControltoolkit(工具包)安装步骤说明
本来打算做一个系统搜索中Ajax AutoComplete自动提示的效果,想尝试一下以前用AjaxControlToolkit中控件,在官网上下载一个AjaxControlToolkit2.0版本我尽然忘了如何安装.很是汗了一把. 看来人都是有惰性的,哪怕自己认为以前比较熟练自信的东西 如果时间一长不做回顾还是不行的 …

linux驱动:TI+DM8127+GPIO(五)之plarform
五、【GPIO驱动框架》平台platform】 (一)设备找驱动 1、drivers/base/platform.c中 int platform_device_register(structplatform_device *pdev) { device_initialize(&pdev->dev); returnplatform_device_add(pdev); } 2、int platform_…

2:0!谷歌 AI “AlphaStar“ 虐杀职业星际玩家
作者 | 若名出品 | AI科技大本营(ID:rgznai100)刚刚,在更复杂的《星际争霸 II》游戏中,DeepMind AI 以总比分 2:0 分别战胜两位职业人类选手。这或许是自 2017 年 AlphaGo 在围棋上战胜人类后,再次让人类刷新 AI 认知的…

插件化知识梳理(7) 类的动态加载入门
一、前言 在 插件化知识梳理(6) - Small 源码分析之 Hook 原理 这一章的学习完成之后,下一步我们将进入插件化加载的精髓,动态加载类的学习,在此之前,我们需要先准备一些关于类加载的知识。 Android当中,支持动态加载的…

redhat中使用securecrt 中文乱码解决办法
具体解决方法是: 1,修改远程linux机器的配置 vim /etc/sysconfig/i18n 把LANG改成支持UTF-8的字符集 如:LANG”zh_CN.UTF-8″ 或者是 LANG”en_US.UTF-8″ 2,然后再改Secure CRT的设置,选项->会话选项->外观->字符编码-&…

知否?知否?一文看懂深度文本分类之DPCNN原理与代码
【导读】ACL2017年中,腾讯AI-lab提出了Deep Pyramid Convolutional Neural Networks for Text Categorization(DPCNN)。论文中提出了一种基于word-level级别的网络-DPCNN,由于上一篇文章介绍的TextCNN 不能通过卷积获得文本的长距离依赖关系,…
linux驱动:设备-总线-驱动(以TI+DM8127中GPIO为例)
一:说明:这次学习设备-总线-驱动是以TIDM8127的GPIO为例 1、GPIO资源注册到omap_hwmod链表中 2、初始化GPIO 3、将GPIO注册到plarform层 4、将GPIO注册到device层 二、流程图 1、GPIO资源注册到omap_hwmod链表中 2、初始化GPIO 3、将GPIO注册到pla…

生活总是在推着你一步一步往前走
上早班的时候,无意间看到了关于高考这个字眼。对于我的高考已经过去五年了,但回想起来记忆依旧是那么深刻。记得五年前的那个日子,阳光明媚,空气中到处都是一股夏天的气息,我妈和我哥早早的从家里搭车到县城࿰…

急!!!求从字符串中提取形如: div([MC0010000000006],此若干个字符或数字,0) 的正则表达式...
如题, 形如: div([MC0010000000006],此处有若干个字符或数字, 此处只有一个字符) 静坐等待.

C# 如何创建Excel多级分组
在Excel中如果能够将具有多级明细的数据进行分组显示,可以清晰地展示数据表格的整体结构,使整个文档具有一定层次感。根据需要设置显示或者隐藏分类数据下的详细信息,在便于数据查看、管理的同时也使文档更具美观性。那么,在C#中如…

苹果裁员逾200人,拿无人驾驶“开刀”
整理 | 琥珀出品 | AI科技大本营1 月 14日,据美国媒体 CNBC 援引知情人士消息报道称,本周,苹果泰坦项目(Project Titan)的 200 多名员工遭到解雇。据悉,泰坦项目是苹果未公开的自动驾驶汽车项目。一名苹果发…