开源!《AI 算法工程师手册》中文教程正式发布!

作者 | 红色石头
转载自 AI有道(id:redstonewill)
最近红色石头在浏览网页的时候,偶然发现一份非常不错的 AI 资源,就是这本《AI 算法工程师手册》 。本文将给大家推荐这本优秀教材,并作详细的介绍。
这本《AI 算法工程师手册》已正式开源,无需购买纸质书籍,可以直接在线阅读,体验感爆棚。在线阅读地址为:
http://www.huaxiaozhuan.com/
作者简介
首先不得不提一下本书的作者,作者华校专,曾经在阿里巴巴担任资深算法工程师,现任智易科技首席算法研究员。他还是《Python 大战机器学习》书籍的作者。
书籍介绍
这本《AI 算法工程师手册》是作者多年以来学习总结的笔记,经整理之后开源于世。关于为什么将完整书籍开源,作者是这样说的:曾有出版社约稿,但是考虑到出版时间周期较长,而且书本购买成本高不利于技术广泛传播,因此就采取开源的形式。
既然本书是 AI 算法工程师的手册,因此内容非常丰富,基本涵盖了机器学习、深度学习等领域的很多重要理论知识和实战经验,同时也介绍了工程应用中经常使用的 AI 工具和编程库。
书籍整体包含了 5 大块内容,分别是:
数学基础
统计学习
深度学习
自然语言处理
工具
下面我们分别来看一下各模块的内容。
1. 数学基础
提升 AI 内功心法离不开扎实的数学基础。本书数学基础这部分,作者主要介绍了最重要的 4 点:
1. 线性代数基础
2. 概率论基础
3. 数值计算基础
4. 蒙特卡洛方法与 MCMC 采样
例如线性代数部分最基本的基础知识:

2. 统计学习
这部分内容作者花了比较大的篇幅,主要介绍的是机器学习中一些常见的算法,包括线性回归、感知机、支持向量机、决策树、集成学习等。同时还包括模型评估、特征选择、降维等。具体内容如下:
0. 机器学习简介
1. 线性代数基础
2. 支持向量机
3. 朴素贝叶斯
4. 决策树
5. knn
6. 集成学习
7. 梯度提升树
8. 特征工程
9. 模型评估
10. 降维
11. 聚类
12. 半监督学习
13. EM算法
14. 最大熵算法
15. 隐马尔可夫模型
16. 概率图与条件随机场
17. 边际概率推断
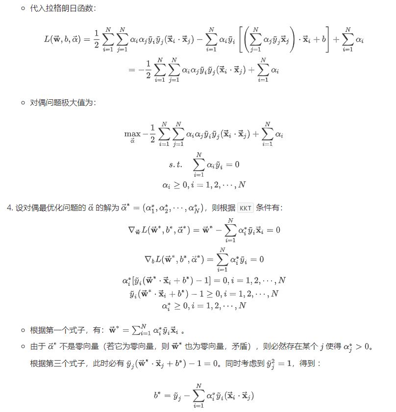
每个算法的理论介绍非常详细、数学推导完整,例如支持向量机中关于对偶问题的推导:



3. 深度学习
这部分主要介绍深度学习神经网络的基本知识和模型,包括前馈神经网络、卷积神经网络、循环神经网络等。具体内容如下:
0. 深度学习简介
2. 反向传播算法
3. 正则化
4. 最优化基础
5. 卷积神经网络
6. 循环神经网络
7. 工程实践指导原则
这部分详细介绍了神经网络模型的基本结构和训练方法,例如列举了经典 CNN 结构:LeNet、AlexNet、VGG-Net、Inception、ResNet、ResNet 变种、SENet、DenseNet。

1998 年 LeCun 推出的 LeNet 网络
4. 自然语言处理
这部分作者主要介绍了自然语言处理领域的 2 个方面:
1. 主题模型
Unigram Model
pLSA Model
LDA Model
型讨论
2. 词向量
向量空间模型 VSM
LSA
Word2Vec
GloVe
5. 工具
这部分主要介绍了 AI 常用工具和函数库,具体内容如下:
1. CRF
2. lightgbm
3. xgboost
4. scikit-learn
5. spark
6. numpy
7. scipy
8. matplotlib
9. pandas
这部分的内容更加侧重于 AI 实战,包含很多具体函数库的使用教程和代码。例如 lightbgm 是一个快速的,分布式的,高性能的基于决策树算法的梯度提升框架。可用于排序,分类,回归以及很多其他的机器学习任务中。本书对 lightbgm 的安装、各参数含义、调参、使用等都作了详细的介绍,宛如一份优秀的中文文档!
这里附上 lightbgm 简单的 pip 安装方法:
pip install lightgbm
pip install --no-binary :all: lightgbm #从源码编译安装
pip install lightgbm --install-option=--mpi #从源码编译安装 MPI 版本
pip install lightgbm --install-option=--gpu #从源码编译安装 GPU 版本
pip install lightgbm --install-option=--gpu --install-option="--opencl-include-dir=/usr/local/cuda/include/" --install-option="--opencl-library=/usr/local/cuda/lib64/libOpenCL.so" #从源码编译安装,指定配置
#可选的配置有:
# boost-root
# boost-dir
# boost-include-dir
# boost-librarydir
# opencl-include-dir
# opencl-library
同样,像 xgboost、scikit-learn 等库,书中也作了详尽的解释。除此之外,还有 spark 的内容哦,可以说是非常全面了。
最后
不得不说,这本《AI 算法工程师手册》是一本比较完备的 AI 书籍,既包含了算法理论,也有实战 AI 算法库的使用。作为一份参考手册还是非常不错的!
更重要的是本书完全开源,直接在线阅读就好了。不过注意该书籍仅供个人学习使用,非作者同意不得应用于商业领域。
(本文为 AI科技大本营转载文章,转载请联系原作者)
◆
CTA核心技术及应用峰会
◆
5月25-27日,由中国IT社区CSDN与数字经济人才发展中心联合主办的第一届CTA核心技术及应用峰会将在杭州国际博览中心隆重召开,峰会将围绕人工智能领域,邀请技术领航者,与开发者共同探讨机器学习和知识图谱的前沿研究及应用。
更多重磅嘉宾请识别海报二维码查看,目前会议早鸟票发售中(原票价1099元),点击阅读原文即刻抢购。添加小助手微信15101014297,备注“CTA”,了解票务以及会务详情。

推荐阅读
从Pixel 3a到Android Q,一份谷歌AI能力的“成绩单” | Google I/O全程回顾
GitHub日收12000星,微软新命令行工具引爆程序员圈!
Python datetime指南:教你如何处理日期和时间(附试题+答案)
从小白到入门算法,我的经验分享给你~
开了个会:破局企业云通信,华为加速 Buff 开发者!
独家! 币安被盗原因找到了! 7074枚比特币竟是这样丢掉的
保送清华成博士,华为 12 年搞通信,他为何如此看待 5G ?| 人物志
补偿100万?Oracle裁900+程序员,新方案已出!
什么叫云原生应用?| 技术头条
@程序员,不加班就滚吧 | 程序员有话说

相关文章:

shell中的函数shell中的数组告警系统需求分析
2019独角兽企业重金招聘Python工程师标准>>> 20.16/20.17 shell中的函数 函数的概念 函数就是把一段代码整理到了一个小单元中,并给这个小单元起一个名字,当用到这段代码时直接调用这个小单元的名字即可。 格式: 函数名称() {command} 注&am…

【Live555】live555源码详解(一):BasicUsageEnvironment、UsageEnvironment
【Live555】live555源码详解系列笔记 类关系图 1、UsageEnvironment 详解 1.1 BasicUsageEnvironment BasicUsageEnvironment 继承自 BasicUsageEnvironment0,主要增加的功能,使用静态函数 createNew 来创建自己;重载“<<”操作符,用来向标准错误输出(stderr)打…

Web前端开发人员和设计师必读文章推荐【系列七】
这篇文章主要收录了十二月份发布在梦想天空的优秀文章,特别推荐给Web开发人员和设计师阅读。梦天空博客关注前端开发技术,展示最新 HTML5 和 CSS3 技术应用,分享实用的 jQuery 插件,推荐优秀的网页设计案例,共享精美的…

【Live555】live555源码详解(二):BasicHashTable、DelayQueue、HandlerSet
【Live555】live555源码详解系列笔记 3、BasicHashTable 哈希表 协作图: 3.1 BasicHashTable BasicHashTable 继承自 HashTable 重载 HashTable 接口 Add :添加键值对 Remove :删除键值 Lookup :由“健”查找“值” numEntries :键值对数量重载 HashTable 成员(…

对标英伟达,依图发布AI芯片“求索”
作者 | 一一出品 | AI科技大本营(ID:rgznai100)依图成立 7 年,这次专为芯片召开了第一次产品发布会。5 月 9 日上午,依图科技在上海发布了其首款自研云端视觉推理 AI 芯片“求索”questcore™,以及基于该芯片构建的软硬…

JUC原子类 1
根据修改的数据类型,可以将JUC包中的原子操作类可以分为4类。1. 基本类型: AtomicInteger, AtomicLong, AtomicBoolean ; 2. 数组类型: AtomicIntegerArray, AtomicLongArray, AtomicReferenceArray ; 3. 引用类型: AtomicReference, AtomicStampedRerence, AtomicM…

使用ROW_NUMBER 和partition by 解决报表中的查询问题
在报表中遇到一个查询问题: 原始数据如下: Id cust_id call_date call_result 1 1 2012-03-15 09:00:00 fail 2 1 2012-03-15 09:05:00 number error 3 1 2012-03-15 09:10:00 fail 4 1 2012-03-15 09:15:00 success 5 2 2012-03-15 09:01:00 fail …

中国AI开发者真实现状:写代码这条路,会走多久?
2016 年起,人工智能成为中国开发者重点关注的技术领域,以深度学习驱动的计算机视觉、自然语言处理、语音相关技术成为渗透最广的三个 AI 技术领域。然而,在这样的背景下,AI 仍是一个非常前沿的学科,对于中国开发者而言…

linux学习-awk工具
awk是基于列的文本处理工具,它的工作方式是按行读取文本并视为一条记录,每条记录以字段分割成若干字段,然后输出个字段的值,事实上,awk是一种编程语言。awk认为文件都是结构化的,也就是说由单词和各种空白字…

【Live555】live555源码详解(四):Medium媒体基础类
【Live555】live555源码详解系列笔记 7、Media Medai所依赖关系图 依赖Medai关系图 Media和UsageEnvironment关联图

linux中普通文件和块设备文件的区别
1,概述 一直都搞不明白普通文件跟块文件的区别,总觉得一个普通的文件是存放在磁盘块上,那它既属于普通文件又属于块设备文件。刚好下午睡了一个大头觉,比较清醒,集中学习了下普通文件和块设备文件的区别和联系。 本文从…

我的vim配置
我的vim配置 1.通用配置 vimrc 2.自己配置 1.新建.c,.h,.sh,.java文件,自动插入文件头 vim ~/.vim_runtime/my_configs.vim 输入一下内容 """""""""""""""""""&qu…

【Live555】live555源码详解(五):MediaSource、MediaSink、MediaSession、MediaSubsession
【Live555】live555源码详解系列笔记 继承协作关系图 下面红色表示本博客将要介绍的四个类所在的位置: MediaSource、MediaSink、MediaSession、MediaSubsession 8、MediaSource MediaSource 继承自 Medium,下面是MediaSource的协作图 关于 MediaSource 类的继承关系 …

BAT携手清华、复旦、上交齐聚杭州, 和500名开发者干点啥?
2016 年起,人工智能成为中国开发者重点关注的技术领域,以深度学习驱动的计算机视觉、自然语言处理、语音相关技术成为渗透最广的三个 AI 技术领域。然而,在这样的背景下,AI 仍是一个非常前沿的学科,对于中国开发者而言…

MOS2010开发基础和集几种开发模型
基础 基本的部署结构图类似如下 创建新的Web Application的原因: One key reason to create a new web application is to isolate content. Every time a new web application is created, SharePoint creates a new content database. All the data in the sites …

还在用Matplotlib? 又一可视化神器Altair登场 | 技术头条
作者 | Fernando Irarrzaval 翻译 | Monanfei责编 | Jane出品 | Python 大本营(id:pythonnews)【导语】如何将我们的数据以更好的形势呈现出来?擅长不同编程语言的程序员会选择各自技术范畴内成熟、好用的工具包,比如 …

【Live555】live555源码详解(六):FramedSource、RTPSource、RTPSink
【Live555】live555源码详解系列笔记 继承协作关系图 下面红色表示本博客将要介绍的三个类所在的位置: FramedSource、RTPSource、RTPSink 11、FramedSource FramedSource 继承自 MediaSource,下面是实现 FramedSource 的依赖关系图 使用 FramedSource 的关系图

maven在idea的配置
首先去官网下载如图: 下载之后解压打开如图: 配置:1、打开conf文件夹下的settings.xml(我用的notepad) 第55行左右加上图上的第150行左右在标签下面写上如图(阿里提供的存架包的仓库) 2、配置id…

Apache下实现禁止目录浏览
当我们访问某个网站时,在后面增加相应的目录,就可以浏览到目录,对于网站来说,是很不安全的。 解决办法:1、编辑httpd.conf文件vi ./conf/httpd.conf找到如下内容:......<Directory "C:/Program Fi…

【Live555】live555源码详解(七):GenericMediaServer、RTSPServer、RTSPClient
【Live555】live555源码详解系列笔记 继承协作关系图 下面红色表示本博客将要介绍的三个类所在的位置: GenericMediaServer、RTSPServer、RTSPClient 14、GenericMediaServer GenericMediaServer 继承自 Medium,依赖关系图如下: 使用 GenericMediaServer 的关系图:

200万?程序员刚拿下华为Offer,这些技巧你必须知道!
最近,有华为员工在匿名社交网站上,曝光自己年收入已突破200万!消息一出,不知酸了多少中国程序员!但是,在羡慕之余,我们不如利用起碎片时间,从点滴做起,背水一战ÿ…

有效快速的学习微信小程序
微信小程序 实现了应用“触手可及”的梦想,用户扫一扫或搜一下即可打开应用。不用安装,即开即用,用完就走。省流量,省安装时间,不占用桌面。对用户使用上来说,确实方便,没有繁琐的注册ÿ…

Delphi开发的IOCP测试Demo以及使用说明。
Delphi开发的IOCP,此为压力测试Demo和使用说明。

【Live555】live555源码详解(八):testRTSPClient
【Live555】live555源码详解系列笔记 继承协作关系图 下面红色表示本博客将要介绍的testRTSPClient实现的三个类所在的位置: ourRTSPClient、StreamClientState、DummySink 1、流程分析 1.1 设置使用环境 创建任务调度器和使用环境 TaskScheduler* scheduler = BasicTask…

ICML 2019:序列到序列自然语言生成任务超越BERT、GPT!微软提出通用预训练模型MASS | 技术头条...
来源 | 微软研究院AI头条(id:MSRAsia)责编 | Jane编者按:从2018年开始,预训练(pre-train) 毫无疑问成为NLP领域最热的研究方向。借助于BERT和GPT等预训练模型,人类在多个自然语言理解…

linux 命令详解 二十七
4. 循环语句: Bash Shell中主要提供了三种循环方式:for、while和until。 for循环声明格式: for variable in word_list do command done 见如下示例脚本: /> cat > test7.sh for score in math engl…

【Live555】live555源码详解系列笔记
【Live555】liveMedia下载、配置、编译、安装、基本概念 【Live555】live555源码详解(一):BasicUsageEnvironment、UsageEnvironment 【Live555】live555源码详解(二):BasicHashTable、DelayQueue、HandlerSet 【Live555】live555源码详解(三):Groupsock 【Live555】l…

android 每个块半径不同的扇形图,自定义view
1.首先看效果图 2.自定义PieChartView,继承自View,下边为PieChartView代码 package com.yingjinbao.im.peach.customview;import android.content.Context;import android.graphics.Canvas;import android.graphics.Color;import android.graphics.Paint…

人工智能的浪潮中,知识图谱何去何从?
漆桂林认为,目前知识图谱整个领域最关注的问题还是如何能够高效、低成本构建知识图谱,而这个问题对于研究人员来说,仍是一个非常大的挑战,比如现在大家都在关注如何在少量甚至无标注场景下进行知识图谱构建。 记者 | Jane 责编 |…

布Sendmail之网,安全则不漏(上)
Sendmail是一种古老的邮件服务器,但是它仍然存在着种种问题,最大的问题就是安全问题。由于Sendmail邮件服务器占据了很大的市场份额,因此,提高Sendmail的安全性就显得格外重要了。本篇拟从证书、Starttls、Sasl技术来探讨Sendmail…