BigBiGAN问世,“GAN父”都说酷的无监督表示学习模型有多优秀?

作者 | Jeff Donahue、Karen Simonyan
译者 | Lucy、一一
出品 | AI开发者大本营(ID:rgznai100)
众所周知,对抗训练生成模型(GAN)在图像生成领域获得了不凡的效果。尽管基于GAN的无监督学习方法取得了初步成果,但很快被自监督学习方法所取代。
DeepMind近日发布了一篇论文《Large Scale Adversarial Representation Learning》(大规模对抗性表示学习),提出了无监督表示学习新模型BigBiGAN。

致力于将图像生成质量的提升转化为表征学习性能的提高,基于BigGAN模型的基础上提出了BigBiGAN,通过添加编码器和修改鉴别器将其扩展到图像学习。作者评估了BigBiGAN模型的表征学习能力和图像生成功能,证明在ImageNet上的无监督表征学习以及无条件图像生成,该模型达到了目前的最佳性能。
论文发布后,诸多AI大牛转发并给出了评价。
“GAN之父”Ian Goodfellow表示这很酷,在他读博士期间,就把样本生成双产物的表示学习感兴趣,而不是样本生成本身。

特斯拉AI负责人Andrej Karpathy则表示,自我监督的学习是一个非常丰富的领域(但需要比ImageNet提供更高的密度和结构),这将避免大规模数据集的当前必要性(或在RL中推出)。

1、介绍
近年来,图像生成模型快速发展。虽然这些模型以前仅限于具有单模或多模的结构域,生成的图像结构简单,分辨率低,但随着模型和硬件的发展,已有生成复杂、多模态,高分辨率图像的能力。

图1 BigBiGAN框架框图
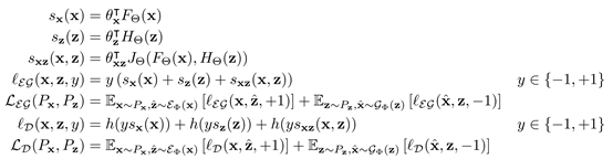
联合鉴别器
用于计算损失值![]()
,从数据分布和编码器
输出中采样,或从生成器
输出和潜在分布损失
包括一元数据项
和一元潜在项
,以及将数据和潜在分布联系起来的联合项
。
通过BiGAN或ALI框架学习的编码器,是ImageNet上用于下游任务的可视化表示学习的有效手段。然而,该方法使用了DCGAN样式生成器,无法在该数据集上生成高质量图像,因此编码器可以建模的语义非常有限。作者基于该方法,使用BigGAN作为生成器,能够捕获ImageNet图像中存在的多模态和出现的大部分结构。总体而言,本文的贡献如下:
(1)在ImageNet上,BigBiGAN(带BigGAN的BiGAN生成器)匹配无监督表征学习的最新技术水平
(2)为BigBiGAN提出了一个稳定版本的联合鉴别器
(3)对模型设计选择进行了全面的实证分析和消融实验
(4)表征学习目标还有助于无条件图像生成,并展示无条件ImageNet生成的最新结果
2、BigBiGAN
方法作为框架的扩展,能够学习可以用作推理模型或特征表示的编码器。给定数据项的分布(例如,图像)和潜在项的分布(通常是像各向同性高斯()的简单连续分布),生成器
模拟条件概率分布
,给定潜在项z后数据项如标准器。编码器
对逆条件分布
进行建模,预测给定数据项x的情况下,潜在项。
除了添加
之外,框架中对的另一种修改是联合鉴别器
,其作为输入数据项潜在项对()(而不仅仅是标准中的数据项),并且学习区分数据分布和编码器对,生成器和潜在分布。具体地说,它的输入对是
和
,
和
的目标是“欺骗”鉴别器,使得被采样的两个联合概率分布
和
难以区分。框架的目标,定义如下:

在这个目标下,在最优
,
和
最小化联合分布
和
之间的Jensen-Shannon散度,因此在全局最优时,两个联合分布
匹配。此外,在
和
是确定性函数的情况下(即,学习条件分布
和
是Dirac δ函数),这两个函数是全局最优的逆:例如
,最佳联合鉴别器有效地对x和z施加
重建成本。
具体地,鉴别器损失值
、编码生成器损失值
、基于标量鉴别器“得分”函数
和相应的每个样本的损失值
定义如下:
其中
是用于规范鉴别器的“铰链”,也用于BigGAN模型中 。鉴别器
包括三个子模块:F,H和J。F仅取x作为输入而H仅取z,并且其参数θx和θz的输出的学习投影分别给出标量一元得分
和
。在我们的实验中,数据项x是图像,而潜在项z是非结构化的平面向量; 因此,F是ConvNet,H是MLP。联合得分
由剩余的
子模块给出,J是F和H的输出函数。
优化
和
参数
以最小化损失值
,并且优化
参数
以最小化损失值
。像往常一样,期望值E是通过蒙特卡洛采用估计的。
3、评估
作者在未标记的上训练,固定其表征学习结果,然后在其输出上训练线性分类器,使用所有训练集标签进行全面监督学习。还测量图像生成性能,其中
()和
()作为标准指标。
3.1 消融
作者先评估了多种模型,见表1。作者使用不同的种子对每个变体进行三次运行并记录每个度量的平均值和标准差。
潜在分布
和随机值
:
,其中在给定
和线性输出
的情况下,预测![]()
一元损失:
评估删除损失函数的一元项
和影响。只有z一元项和没有一元项的IS和FID性能要比只有x一元项和两者都有的性能差,结果表明一元项对生成性能有很大的正面影响。
生成器
的容量:
为了证明生成器
在表征学习中的重要性,作者改变生成器的容量观察对结果的影响。实验结果表明,好的图像生成器模型能提高表征学习能力。
带有不同分辨率的
的高分辨率
:
使用更高的分辨率
,尽管
的分辨率相同,但是生成结果显着改善(尤其是通过FID)。
结构:
使用不同结构的评估性能,结果表明网络宽度增加,性能会得到提升。
解耦
优化:
将
优化器与
的优化器分离,并发现简单地使用10倍的E学习速率可以显着加速训练并改善最终表征学习结果。
3.2与已有方法比较
表征学习

表1:BigBiGAN变体的结果
在生成图像的IS和FID中,以及ImageNet top-1分类准确率,根据从训练集中随机抽样的10K图像的分割计算,称为Train分裂。每行中基本设置的更改用蓝色突出显示。具有误差范围的结果(写为“μ±σ”)是具有不同随机种子的三次运行的平均值和标准偏差。

表2:使用监督逻辑回归分类器对官方ImageNet验证集上的BigBiGAN模型与最近竞争方法的比较
基于10K训练集图像的trainval子集的最高精度,选择BigBiGAN结果并提前停止。ResNet-50结果对应于表1中的行ResNet(“ELR”),RevNet-50×4对应于RevNet×4(“ELR”)

表3:无监督(无条件)生成的BigBiGAN与已有的无监督BigGAN的比较结果
作者将“伪标签”方法指定为SL(单标签)或聚类。为了进行比较,训练BigBiGAN的步数(500K)与基于BigGAN的方法相同,但也可以在最后一行中对1M步骤进行额外训练,并观察其变化。上述所有结果均包括中值m以及三次运行的平均μ和标准偏差σ,表示为“m(μ±σ)”。BigBiGAN的结果由最佳FID与Train的停止决定的。
无监督图像生成

图2:从无监督的BigBiGAN模型中选择的重建
上图2中第一行表示真实数据x~Px;第二行表示由
计算生成重建的图像。与大多数显式重建成本(例如,像素方式)不同,由BigBiGAN隐式最小化的重建成本倾向于强调更多语义,高级细节。
3.3 重建
BiGAN E和G通过计算编码器预测的潜在表示E(x),然后将预测的潜在表示传回生成器,得到重建的G(E(x)),从而重构数据实例x。我们在图2中展示了BigBiGAN重构。这些重构远非有像素级的完美度,部分原因可能是目标并没有明确强制执行重构成本,甚至在训练时也没有计算重构。然而,它们可能为编码器学习建模的特性提供一些直观的认识。例如,当输入图像包含一条狗、一个人或一种食物时,重建通常是相同“类别”的不同实例,具有相似的姿势、位置和纹理。这些重构倾向于保留输入的高级语义,而不是低级细节,这表明BigBiGAN训练鼓励编码器对前者建模,而不是后者。
4、相关研究
基于自我监督图像中的无监督表示学习的许多方法被证明是非常成功的。自我监督通常涉及从以某种方式设计成类似于监督学习的任务中学习,但是其中“标签”可以自动地从数据本身创建而无需人工操作。早期的例子是相对位置预测,其中模型在输入的图像块对上进行训练并预测它们的相对位置。
对比预测编码(CPC)是最近的相关方法,其中,给定图像补丁,模型预测哪些补丁出现在其他图像位置中。其他方法包括着色、运动分割、旋转预测和样本匹配。
对这些方法进行了严格的实证比较。相对于大多数自我监督的方法,BigBiGAN和基于生成模型的其他方法的关键优势是它们的输入可能是全分辨率图像或其他信号,不需要裁剪或修改所需的数据。这意味着结果表示通常可以直接应用于下游任务中的完整数据,而不会发生域移位(domain shift)。
还提出了许多相关的自动编码器和GAN变体。关联压缩网络(ACN)学会通过调节其他先前在代码空间中相似的传输数据的数据来压缩数据集级别,从而产生可以“模糊”语义相似样本的模型,类似于BigBiGAN重建。VQ-VAE 将离散(矢量量化)编码器与自回归解码器配对,以产生具有高压缩因子的忠实重建,并在强化学习设置中展示表示学习结果。在对抗性空间中,对抗性自动编码器提出了一种自动编码器式编码器 - 解码器对,用像素级重建成本训练,用鉴别器代替VAE中使用的先验的KL-发散正则化。
在另一个提出的VAE-GAN混合中,在大多数VAE中使用的像素空间重建误差被替换为距GAN鉴别器的中间层的特征空间距离。AGE和α-GAN等其他混合方法增加了编码器来稳定GAN训练。这些方法与BiGAN框架间的一个区别是,BiGAN不会以明确的重建成本训练编码器,虽然可以证明BiGAN隐含地使重建成本最小化,但定性重建结果表明这种重建成本具有不同的风格,强调了像素级细节上的高级语义。
5.探讨
我们已经证明,BigBiGAN是一种纯粹基于生成模型的无监督学习方法,它在ImageNet上实现了图像表示学习的最好的结果。我们的消融实验进一步证实强大的生成模型可以有利于表征学习,反过来,学习推理模型可以改善大规模的生成模型。在未来,我们希望表示学习可以继续受益于生成模型和推理模型的进一步发展,同时扩展到更大的图像数据库。
(*本文为 AI科技大本营编译文章,转载请联系1092722531)
◆
精彩推荐
◆
“只讲技术,拒绝空谈!”2019 AI开发者大会将于9月6日-7日在北京举行,这一届AI开发者大会有哪些亮点?一线公司的大牛们都在关注什么?AI行业的风向是什么?2019 AI开发者大会,倾听大牛分享,聚焦技术实践,和万千开发者共成长。
目前,大会盲订票限量发售中~扫码购票,领先一步!


推荐阅读
人工智能六十年技术简史
微软洪小文:AI将成为人类未来最好的左脑
干货 | Python后台开发的高并发场景优化解决方案
重磅!Python再次第一,Java和C下降,凭什么?
22019年技术盘点容器篇(三):阿里专家谈容器:既叫好又叫座?| 程序员硬核评测
任正非:华为鸿蒙将比安卓快 60%;小米回应主题侵权;VS Code 1.36发布 | 极客头条
以太坊暗网? 这群北大才子做到了...
谷歌员工中位数年薪达 170 万元,却仍买不起房!
泪目!Linux之父:我就是觉得苹果太没意思!
你点的每个“在看”,我都认真当成了喜欢相关文章:

技术人生:与其鸟宿檐下,不如击翅风雨
人生途中,有些是无法逃避的,比如命运;有些是无法更改的,比如情缘;有些是难以磨灭的,比如记忆;有些是难以搁置的,比如爱恋……与其被动地承受,不如勇敢地面对;…

C++递归用法
转自:http://bbs.ikaka.com/showtopic-664019.aspx 简单谈谈C 递归的思想实现以及和循环的关系 很多初学者往往对递归迷惑不解,也在这上面花了不少的时间。其实教材上的例子很经典,只是它说的有一些唠叨了。初学者会看的头大的。编程是解决…

java导入excle表格,并且对表格进行相应的修改,并对表格数据进行整理,最后导出本地表格等一系列...
1.首先创建一个java项目 完成效果如下图所示 2.导入以下jar包 3.代码如下 其中行和列的操作是根据需求自动划分的 复制代码1 public class auto_date {2 private static List<List<String>> readExcel(File file) throws Exception {3 // 创建输入流,读…

RetinaFace,最强开源人脸检测算法
作者 | CV君 来源 | 我爱计算机视觉(ID:aicvmlaicvmlaicvml)人脸检测为目标检测的特例,是商业化最早的目标检测算法,也是目前几乎各大 CV 方向 AI 公司的必争之地。WIDER FACE 数据集是由香港中文大学发布的大型人脸数…

OpenCV中cvBlobsLib的编译与使用
OpenCV的cvBlobsLib库的作用类似于matlab中的regionprops函数。 cvBlobsLib库的编译: 首先从http://opencv.willowgarage.com/wiki/cvBlobsLib#Blobextractionlibrary下载最新的v8.3版本的源代码,其次机子上要装有OpenCV1.0的环境,从http:/…

AWS开源Firecracker,一种运行多租户容器服务的新虚拟化技术
现在的技术环境下,容器具有快速启动时间和高密度,VM可以对硬件虚拟化,具有更好的安全性,并对工作负载具有更好的隔离性。容器和VM的特性现在还不可兼得。 现在AWS开源了Firecracker,一种利用KVM的新虚拟化技术…

python urllib2 开启调试
2019独角兽企业重金招聘Python工程师标准>>> 发一段在网上看见. USING HTTPLIB.HTTPCONNECTION.SET_DEBUGLEVEL() WITH URLLIB2 Posted on October 1, 2007, 9:52 pm, by jamiegrove, under python. I’ve been trying to get the debug level turned on in urll…

从发展滞后到不断突破,NLP已成为AI又一燃爆点?
作者 | 刘家俊,一览群智CTO责编 | Jane出品 | AI科技大本营(ID :rgznai100)自然语言处理:人工智能连接主义复兴浪潮中的下一个突破口AI 行业应用是一片新的大陆,深度学习作为新大陆的基石,经历了…

matlab最小分类错误全局二值化算法
转自:http://download.csdn.net/detail/hupeng810/1511870 function imagBW kittlerMet(imag) % KITTLERMET binarizes a gray scale image imag into a binary image % Input: % imag: the gray scale image, with black foreground(0), and white % bac…

XShell连接Deepin
为什么80%的码农都做不了架构师?>>> 先让deepin安装openssh sudo apt-get install openssh-serverchkconfig ssh on 转载于:https://my.oschina.net/enzo/blog/110518

第三届“达观杯”文本智能信息抽取挑战赛丰厚奖金,群英集结,等你来战!...
近日,第三届“达观杯”文本智能信息抽取挑战赛正式上线启动(点击阅读原文,跳转报名页面),6月28日至8月31日,面向所有参赛选手开放竞赛结果提交。本届“达观杯”的任务是信息抽取。“达观杯”大赛由国内文本…

Spline interpolation and Savitzki-Golay smoothing
转自:http://octave.1599824.n4.nabble.com/Spline-interpolation-and-Savitzki-Golay-smoothing-td1675136.html ## natural-cubic-spline interpolation ## usage: yspline spline(x,y,xspline) ## example: ## x 0:10; y sin(x); ## xspline 0:0.1:10; y…

SpringBoot实现热部署(修改class不需要重启)
热部署: devtools可以实现页面热部署(即页面修改后会立即生效, 这个可以直接在application.properties文件中配置spring.thymeleaf.cachefalse来实现) 实现类文件热部署(类文件修改后不会立即生效),实现对属性文件的热部署。 注意:因为采用的虚拟机机制&…

Oracle中查看表空间的使用率的脚本
如题: select f.tablespace_name tablespace_name, round((d.sumbytes / 1024 / 1024 / 1024), 2) total_g, round(f.sumbytes / 1024 / 1024 / 1024, 2) free_g, round((d.sumbytes - f.sumbytes) / 1024 / 1024 / 1024, 2) used_g, round((d.sumbytes - f.sumbyte…

vue实现多个元素或多个组件之间动画效果
2019独角兽企业重金招聘Python工程师标准>>> 多个元素的过渡 <style>.v-enter,.v-leave-to{opacity: 0;}.v-enter-acitve,.v-leave-active{opacity: opacity 1s;} </style> <div idapp><transition><div v-ifshow>hello world</di…

干货 | 20个教程,掌握时间序列的特征分析(附代码)
作者 | Selva Prabhakaran 译者 | Tianyu责编 | Jane出品 | AI科技大本营(ID: rgznai100)【导语】时间序列是指以固定时间为间隔的序列值。本篇教程将教大家用 Python 对时间序列进行特征分析。1、什么是时间序列?时间序列是指以固定时间为间…

利用OpenCV求取图像的重心
转自:http://blog.csdn.net/lxiaoxiaot/article/details/6539834 不规则区域的矩,表示把一个归一化的灰度级图像函数理解为一个二维随机变量的概率密度。 这个随机变量的属性可以用统计特征--矩(Moments)来描述。通过假设非零的像…

C++中Ansi、Unicode、UTF8字符串之间的转换和写入
转自: http://dark0729.blogbus.com/logs/51496111.html Ansi字符串我们最熟悉,英文占一个字节,汉字2个字节,以一个\0结尾,常用于txt文本文件 Unicode字符串,每个字符(汉字、英文字母)都占2个字节,以2个连…

MyBatis的扩展点(plugins)
2019独角兽企业重金招聘Python工程师标准>>> 1、mybatis扩展点plugins mybatis的扩展是通过拦截器Interceptor来实现的,本质上就是JDK的动态代理,所以它只能对接口进行拦截,mybatis可以对以下四个接口类型进行拦截,也就…

linux中使用CST时间
GMT(Greenwich Mean Time,格林威治标准时间): 是指位于英国伦敦郊区的格林尼治天文台的标准时间,因为本初子午线被定义在通过那里的经线。 UTC(Universal Time/Temps Cordonn 世界标准时间)CST(Central Standard Time 國家標準時間,一說中原標…

到「黄埔学院」去:打造AI首席架构师,第二期限量招募!
今年 1 月,百度联合“深度学习技术及应用国家工程实验室”成立黄埔学院,旨在为产业培养第一批“首席AI架构师”。黄埔学院一期学员历时半年的学习和交流,6 月 16 日,黄埔学院一期学员迎来了毕业典礼,并在 7 月百度 AI开…

linux守护进程的创建
下面的完成了这样一个功能,创建一个守护进程,每个一秒在/tmp目录下的文件peng.txt中记录当前系统时间。 一、守护进程 守护进程是linux中的后台服务进程,在系统启动时开始运行,在系统关闭时终止。Linux系统中的大多数服务进程都是…

tesseract3.01的训练和使用
相关源码、资源下载:http://code.google.com/p/tesseract-ocr/downloads/list 训练步骤: 1、 Generate Training Images:生成tif图像文件(简单的几个汉字); 如:ABC.Roman.exp0.tif([lang].[fontname].exp[num].tif)…

旷视推出鼻纹识别,用AI寻找丢失宠物
来源 | 转载自旷视城市大脑(ID:MEGVII_CityBrain)导读:随着人工智能技术(AI)的大热,基于深度学习方法的人脸识别技术已成熟落地,在解锁、支付、认证、摄像等生活方方面面,各个大厂推…
Qt浅谈之一:内存泄露(总结)
一、简介 Qt内存管理机制:Qt 在内部能够维护对象的层次结构。对于可视元素,这种层次结构就是子组件与父组件的关系;对于非可视元素,则是一个对象与另一个对象的从属关系。在 Qt 中,在 Qt 中,删除父对…

LINUX新手入门-1.装系统
LINUX新手入门-1.装系统首先我们用虚拟机模拟 装linux系统,然后下一步下一步,然后完成后,编辑一些设置,把镜像放上面就可以了选第一项,安装系统,查看镜像是否能运行,直接跳过,选择语…

Log4cplus1.04的使用
首先,从http://sourceforge.net/projects/log4cplus/files/log4cplus-stable/下载最新的版本,解压缩,用vs2008打开msvc8文件夹下的log4cplus.sln,并按照提示转换。在Solution Configurations下拉列表框中,会有Debug、D…

FRVT赛程全纪录:格灵深瞳全球排名前五
作者 | 张德兵,格灵深瞳首席科学家&算法部负责人来源 | 转载自知乎张德兵最近两个月,格灵深瞳首席科学家&算法部负责人张德兵与算法团队参加了全球人脸识别算法测试(FRVT、Face Recognition Vendor Test)。虽然是第一次参加此比赛,格…

反转比特位(文章最后有干货)【转】
转自:https://blog.csdn.net/wuxianglonghaohao/article/details/21602305 http://www.newhottopic.com/2014/03/20/reverse-bits/ 把一个无符号整数的比特位反转顺序。有很多种方法来实现这个。我们这里给出一个算法:通过异或运算来交换,然后…

过关斩将打进Kaggle竞赛Top 0.3%,我是这样做的
作者 | Lavanya Shukla译者 | Monanfei责编 | 夕颜出品 | AI科技大本营(id:rgznai100)导读:刚开始接触数据竞赛时,我们可能会被一些高大上的技术吓到。各界大佬云集,各种技术令人眼花缭乱,新手们…