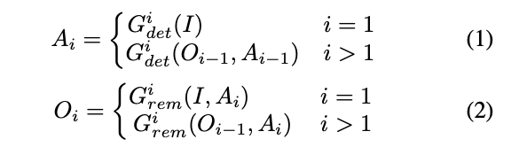
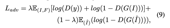
武汉大学提出ARGAN:注意力循环生成对抗模型用于检测、去除图像阴影 | ICCV 2019...

作者 | 王红成
出品|AI科技大本营(ID:rgznai100)




























表示计算M与
的均方差。





。













(*本文为AI科技大本营投稿文章,转载请微信联系1092722531)
◆
精彩推荐
◆
相关文章:

海思3559A上编译libyuv源码操作步骤
1. 下载libyuv源代码,执行: git clone https://chromium.googlesource.com/libyuv/libyuv 2. 通过CMakeLists.txt编译生成库,build.sh脚本内容如下: cmake \-DCMAKE_BUILD_TYPERELEASE \-DCMAKE_C_COMPILER/opt/hisi-linux/x86…

Cocoapods的安装以及使用(2)
Cocoapods 在网上看博客,看了好多次,都没有学会cocoapods,今天上午浪费了一上午的时间,终于算是学会了。其实也是很简单的。 iOS 新版 CocoaPods 安装流程 1.换掉现有Ruby默认源(由于好多人都没有翻墙,所…
MyEclipse10中导入的jquery文件报错(出现红叉叉,提示语法错误)
为了做一个页面特效,导入了一个jquery文件,怎想,myeclipse竟然报错说是语法错误,但是这个js文件我是从官网上下载的,不应该出错才对,百度谷歌之后终于找到了解决办法: 选中报错的js文件…

海思3559A上编译libjpeg-turbo源码操作步骤
1. 从https://github.com/libjpeg-turbo/libjpeg-turbo/releases/tag/2.0.2 下载libjpeg-turbo 2.0.2版本; 2. 脚本build.sh内容如下: cmake \-DCMAKE_BUILD_TYPERELEASE \-DCMAKE_C_COMPILER/opt/hisi-linux/x86-arm/aarch64-himix100-linux/bin/aarc…

免费!这里有一份开发者进阶“宝典”求带走
作为开发者,无论是前端还是后端,做机器学习还是云计算、架构,保持对技术的敏感性都是非常重要的事。新技术一般发源于人力、财力等各方面资源都很雄厚的大厂,经过时间的沉淀逐渐成为技术主流。因此,从 BAT、Google、Fa…

使用终端建立自己需要工程
cocoapods应该是时下类库比较全面的三方管理工具,使用也特别方便,你只需将别人的类库在你的 podfile中 pod "SomeoneNameLibrary" 就可以在你的工程中使用这个库,作为一个开发者,你是否也想让别人在他的项目中 pod &quo…

1.0 封装后的布局成本
2019独角兽企业重金招聘Python工程师标准>>> 1.0.1 C语言中(.c) 1. 数据和函数是分开声明的,语言本身没有支持“数据和函数”之间的关联性。 2. 这种程序方法为程序性的,由一组“分布在各个以功能为导向的函数…

通过gdb core dump方法查看程序异常时的堆栈信息
在Linux下可通过core文件来获取当程序异常退出(如异常信号SIGSEGV, SIGABRT等)时的堆栈信息。core dump叫做核心转储,当程序运行过程中发生异常的那一刻的一个内存快照,操作系统在程序发生异常而异常在进程内部又没有被捕获的情况下,会把进程…

日均350000亿接入量,腾讯TubeMQ性能超过Kafka
整理 | 夕颜出品 | AI科技大本营(ID:rgznai100)【导读】近日,腾讯开源动作不断,相继开源了分布式消息中间件TubeMQ,基于最主流的 OpenJDK8开发的Tencent Kona JDK,分布式HTAP数据库 TBase,企业级…

iOS应用版本更新(自动提醒用户)
在#import "AppDelegate.h" 文件中的application:(UIApplication )application didFinishLaunchingWithOptions:(NSDictionary )launchOptions 方法中调用检测结果 获得发布版本的Version 比较当前版本与新上线版本做比较 UIAlertView代理方法

Bash Shell脚本编程-变量知识
Shell:GUI CLI提供交互式接口:提高效率命令行展开:~ ,{}命令别名:alias命令历史:historyGlobbing:*,?,[],[^]命令补全:$PATH指定的目录下路径补全…

FFmpeg中可执行文件ffplay用法汇总
从https://ffbinaries.com/downloads 下载最新的4.1版本的windows 64位FFplay。目前linux下的只有3.2版本的。FFplay是一个由FFmpeg和SDL库组成的简单媒体播放器,它主要用作各种FFmpeg API的测试。 通过执行以下命令将FFplay信息重定位到ffplay_help.txt文件中便于…
用Go重构C语言系统,这个抗住春晚红包的百度转发引擎承接了万亿流量
整理 | 夕颜出品 | AI科技大本营(ID:rgznai100)11 月 20 日,百度的万亿流量转发引擎 BFE 登上了 GitHub Trending Top 3,今日 Star 已突破 270。事实上,这个曾经抗住 2019 年春晚抢红包的转发引擎早已于 2019 年夏在 G…

Swift3.0带来的变化汇总系列一——字符串与基本运算符中的变化
var string "Hello-Swift" //获取某个下标后一个下标对应的字符 char"e" //swift2.2 //var char string[startIndex.successor()] //swift3.0 var char string[string.index(after: startIndex)] //获取某个下标前一个下标对应的字符 char2 "t&qu…

vc+如何添加右键弹出菜单
2019独角兽企业重金招聘Python工程师标准>>> 一、创建新工程 二、编辑菜单资源 1、添加菜单 按“CtrlR”,双击“Menu”图标2、于菜单编辑器内编辑菜单四、添加代码(红色部分) void CCMenuView::OnUpdateShow(CCmdUI* pCmdU…
EMNLP 2019 | 大规模利用单语数据提升神经机器翻译
BDTC大会官网:https://t.csdnimg.cn/q4TY作者 | 吴郦军、夏应策来源 | 微软研究院AI头条(ID:MSRAsia)编者按:目前,目标语言端的无标注单语数据已被广泛应用于在机器翻译任务中。然而,目标语言端的无标注数据…

swift 3.0 json解析、字典转模型三种方案
swift3.0发布有一段时间了,发现很多朋友在swift3.0json解析上上遇到很多问题,我这边为大家提三种常见的json方案。 1.第一种是自带的字典转模型,自带的需要实现系统的setValue方法,然后自己还要实现dictToModel方法即可解析&…

海思3559A上编译GDB源码操作步骤及简单使用
1. 从http://ftp.gnu.org/gnu/gdb/ 下载最新稳定版8.3,即gdb-8.3.tar.gz,解压缩; 2. 在gdb-8.3目录下,创建一个build.sh脚本文件,内容如下: ./configure \--prefix"$PWD/install" \--targetaar…

Hibernate之继承映射
Hibernate的继承映射可以理解为两个持久化类之间的继承关系 例如老师和人之间的关系 持久化类 Person类 public class Person { private Integer id; privvate String name; private String sex; public Person (){} // 无参构造器 p…
AutoML未来可期,工程师的明天何去何从?
人工智能和机器学习建模专业技术人才紧缺,即使是高水平的人工智能专家,在大数据智能分析机器学习建模时,主要依靠人工经验,建模过程费时费力,缺少有效方法。为了解决这一突出问题,国内外出现了一种用机器学…

海思3559A上编译Valgrind源码操作步骤
注:按照以下步骤可以在海思板子上正常编译valgrind源码并生成valgrind可执行文件,但可能还不能在海思板子上正常使用。 1. 从http://valgrind.org/downloads/?srcwww.discoversdk.com 下载Valgrind 3.15.0即valgrind-3.15.0.tar.bz2; 2. 在valgrind-3…

Swift之SDWebImage第三方框架
在学习Swift过程中,最害怕的使用了OC的第三方框架 好不容易配置成功了,却出现了意外的Bug [UIImageView setImageWithURL:]: unrecognized selector sent to instance解决办法 第一次配置的时候,因为百度了教程,所以一次性成功…

文件分区格式化及挂载
创建一个5G的分区,文件系统为ext2,卷标为DATA,块大小为1024,预留管理空间为磁盘分区的8%;挂载至/backup目录,要求使用卷标进行挂载,且在挂载时启动此文件系统上的acl功能;在虚拟机创…

iOS开发swift版异步加载网络图片(带缓存和缺省图片)
iOS开发之swift版异步加载网络图片 与SDWebImage异步加载网络图片的功能相似,只是代码比较简单,功能没有SD的完善与强大,支持缺省添加图片,支持本地缓存。 异步加载图片的核心代码如下: func setZYHWebImage(url:NSStr…
2097352GB地图数据,AI技术酷炫渲染,《微软飞行模拟器》游戏即将上线
整理 | 若名出品 | AI科技大本营(ID:rgznai100)“只要是真实存在的地方,你都能抵达。”作为即将成为第一款将整个地球化作虚拟世界来供玩家玩的游戏,微软的《微软飞行模拟器》(Microsoft Flight Simulator)…

开源库nothings/stb的介绍及使用(图像方面)
GitHub上有个开源的stb库,Star数已过万,地址为https://github.com/nothings/stb,为何叫stb,是用的作者名字的缩写Sean T. Barrett。此库仅包含头文件,除stretchy_buffer.h外,其它所有文件以前缀stb开头&…

git stuff
git stuff trick git bash 无法标记复制解决办法 git bash窗口左上角图标点击,选择属性->选项->快速编辑模式 确定就ok了 Usual Commands 创建分支git branch branch-namegit push origin branch-name 删除分支git branch -r -d origin/branch-name 删除远程分支git push…

swift3.0之闭包
Swift 相比原先的 Objective-C 最重要的优点之一,就是对函数式编程提供了更好的支持。 Swift 提供了更多的语法和一些新特性来增强函数式编程的能力,本文就在这方面进行一些讨论。 Swift 概览 对编程语言有了一些经验的程序员,尤其是那些对多…

Linux下gdb attach的使用(调试已在运行的进程)
在Linux上,执行有多线程的程序时,当程序执行退出操作时有时会遇到卡死现象,如果程序模块多,代码量大,很难快速定位,此时可试试gdb attach方法。 测试代码main.cpp如下,这里为了使程序退出时产生…
一行Python代码能实现这么多丧心病狂的功能?(代码可复制)
最近看知乎上有一篇名为《一行 Python 能实现什么丧心病狂的功能?》(https://www.zhihu.com/question/37046157)的帖子,点进去发现一行Python代码可以做这么多丧心病狂的功能!整理了一下知乎上这篇文章的内容ÿ…