反向R?削弱显著特征为细粒度分类带来提升 | AAAI 2020
作者 | VincentLee
来源 | 晓飞的算法工程笔记
导读:论文提出了类似于dropout作用的diversification block,通过抑制特征图的高响应区域来反向提高模型的特征提取能力,在损失函数方面,提出专注于top-k类别的gradient-boosting loss来优化训练过程,模型在ResNet-50上提升3.2%,算法思路巧妙,结构易移植且效果也不错,值得学习。
简介
在FGVC(fine-grained visual categorization)上,一般的深度学习模型都是通过学习输入图片到输出标签的映射,这样会导致模型倾向于专注少部分显著区域来同时区分模糊的种群内(inter-class)相似性和种群间(intra-class)的变化。
如图1所示,一般的深度学习模型的attention经常密集地集中在小部分区域,因此只会提出有限的特征。因此,论文建议分散attention来构建多样的分布在特征图上的特征。因为在特征层面进行attention分散,在预测时则需要反过来,例如只关注最相似的类别来提高模型的辨别能力。通过关注相似的类别以及分散模型的attention,论文实际是在让模型避免对训练集的overfiting,增加泛化能力。论文的主要贡献如下:
提出gradient-boosting loss,通过适当地调整梯度更新的幅度来解决高度相关类别的模糊部分
提出diversification block,掩盖显著的特征,从而迫使网络去寻找外观相似的类别的不易察觉的不同点
论文提出的方法能够加速模型的收敛以及提高识别的效果
方法
论文提出的方法能简单地接到所有分类网络中,结构如图2所示。使用论文的方法,需要将主干网络的所有global pooling layer和最后的fully conntected layer替换成1x1 convolution,ouput channel等于类别数,模型主要包含两个部分:
diversification module,用于迫使网络去获取更多不易察觉的特征,而非专注于明显特征
gradient boosting loss,使模型在训练时专注于容易混淆的类别
Diversification Block
考虑如图2中个类别的多标签分类任务,为训练图片,是对应的GT,diversification block的输入是类别特定(category-specific)的特征图 ,由修改后的主干网络输出。标记,其中是对应类别的独立特征图。diversification block的核心思想是抑制中的明显区域,从而迫使网络去提取其它区域的特征,主要面临两个问题:1) 抑制哪些特征?2) 怎么抑制?
Mask Generation
下面解释如何产生用于指明抑制区域的mask,定义,是二值抑制mask对应特征图,1表示抑制,0表示不抑制。
Peak suppression
首先对特征图的峰值进行随机抑制,因为这是对分类器最显著的部分,是的峰值mask,'*'是element-wise的相乘,而是服从伯努利分布的随机值,即有的概率为1。
Patch suppression
将每个分成多个固定大小的patch,定义l行m列的patch为,为patch的集合
对应的抑制mask,跟峰值的mask一样,使用伯努利分布对块进行赋值,随机值为1的块将整块进行抑制,
由于只考虑非峰值点,因此将峰值点的值设为0
最后将两种mask相加得到最后的抑制mask
Activation Suppression Factor
为抑制后的特征图,为抑制因子,后面的实验设置为0.1
在进行特征抑制后,对特征进行global average pooling来获取最后的置信度
Gradient-boosting Cross Entropy Loss
diversification module用于发现更多不易察觉的细微特征,而gradient-boosting loss则是避免容易混淆的类别的误分
Loss Function
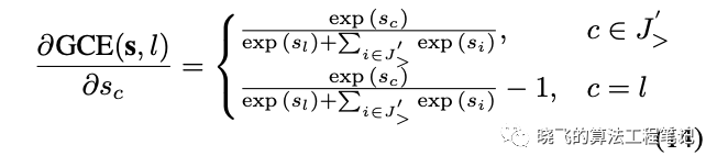
论文认为,目前使用最广的交叉熵损失函数平均地考虑了所有的负类别,而在细粒度分类中,模型更应该关注相似的负类别,因此提出gradient-boosting cross entropy(GCE),只专注于top-k个负类别
首先定义为所有的负类别,,为所有负类别的得分,为负类别的top-k类别集合,将分别top-k集合和非top-k集合
对交叉熵进行改造,只考虑top-k类别的计算,k一般设置为15
Gradient Boosting
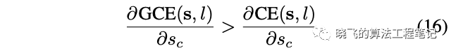
公式13和公式14分别是交叉熵和GCE的梯度回传公式
根据公式10和公式11的定义,可以发现公式15的包含关系
因此可以推出GCE的梯度是要比交叉熵的梯度要大的,使用GCE能够让模型专注于区分混淆类别。
训练和推理
diversification block仅在训练阶段使用,在测试阶段不再使用,改为将完整的特征图输入到global average pooling中。
实验
实验在5个最常用的数据机上进行
Quantitative Results
其中两个数据集的结果如表2、表3所示,可以看到,论文提出的方法在效果上的提升还是挺不错的,而且参数量比较小,在另外几个数据集上,论文提出的方法也是比其它方法要出色
Ablation Study
Diversification block (DB)
使用diversification block能让ResNet-50的性能提升0.8%
Gradient-boosting loss
如表4所示,使用gradient-boosting loss能让ResNet-50+DB从86.3%提升到87.7%,提升要比其它损失函数方法要好。
Suppressing Factor
从实验看出,抑制因子对实验结果影响挺大的,选择0.1的时候表现最好。
Choices of k
top-k的数量选择对结果影响也是比较大的,选择top-15的时候效果最好。
Convergence Analysis
从图5可以看出,论文提出的方法收敛速度更快,尽管可以看到原始方法在训练集上的准确率比论文提出的方法要好,但是在测试集的表现不好,这说明原始方法对训练集有点过拟合了。
Qualitative Results
从图4可以看出,论文提出的方法提取了更多的特征区域。
ImageNet Results
为了进一步验证论文提出的模型的效果,在ImageNet上进行了实验。由于论文的方法专注于难样本,因此在50轮后的训练才进行对比,可以看到论文的方法的效果在ImageNet上还是不错的。
结论
论文提出了diversification block以及gradient-boosting loss,diversification block通过随机抑制响应高的区域引导模型学习更多的不易察觉的特征,有点类似dropout的思想,而gradient-boosting loss则让模型专注于top-k个类别的学习,加大对应类别的梯度回传,使得训练收敛更快且提升性能。总体而言,论文的思路清晰,而且效果还是有的,可以实验下,然后当作基本方法加入到平时网络的架构中,特别是后面的gradient-boosting loss。
论文地址:https://arxiv.org/abs/1912.06842
(*本文为AI科技大本营转载文章,转载请联系原作者)
◆
精彩推荐
◆
1、评选进行中,参与投票即有机会参与抽奖,60+公开课免费学习
2、【Python Day——北京站】现已正式启动,「新春早鸟票」火热开抢!2020年,我们还将在全国多个城市举办巡回活动,敬请期待!活动咨询,可扫描下方二维码加入官方交流群~
CSDN「Python Day」咨询群 ????
来~一起聊聊Python
如果群满100人,无法自动进入,可添加会议小助手微信:婷婷,151 0101 4297(电话同微信)
推荐阅读
云计算的 2020:云原生崛起,重新定义软件
Kubernetes 将何去何从?
数十名工程师作战5天,阿里达摩院连夜研发智能疫情机器人
阿里云免费开放一切AI算力,加速新型冠状病毒新药和疫苗研发
疫情之下「在家办公模式」开启,你该选择哪些远程协同工具?
Python、Go、JavaScript、Rust 将长盛 5 年
比特币区块链将分道扬镳、Libra 苦难继续,2020 区块链进入关键时期
你点的每个“在看”,我都认真当成了AI
相关文章:

C#初学——doWhile
继续上面的学习,这次的是流程控制,用dowhile,代码如下,还是用语言选择来作为事例的。using System; using System.Collections.Generic; using System.Text; namespace ConsoleApplication9 { class Program { static void Main(s…

码农技术炒股之路——实时交易信息、主力动向信息分库备份
一般来说,一个股票信息应该保存在一张表中。但是由于我机器资源限制,且我希望尽快频率的抓取数据。所以每天我将所有股票的实时交易信息放在daily_temp库中的一个以日期命名的表中。主力动向信息也是如此。但是盘后分析股票时,我们会以单只股…

数据预处理(完整步骤)
原文:http://dataunion.org/5009.html 一:为什么要预处理数据?(1)现实世界的数据是肮脏的(不完整,含噪声,不一致)(2)没有高质量的数据,…

码农技术炒股之路——抓取日线数据、计算均线和除权数据
日线数据是股票每日收盘后的信息。这块数据不用实时抓取,所以并不占用宝贵的交易时间的资源。于是我们抓取完数据后直接往切片后的数据库中保存。(转载请指明出于breaksoftware的csdn博客) 抓取日线数据 我们先要获取今天有交易信息的股票代…

茫茫碌碌的日子
一连很好多天,都在为公司数据库基础构架升级的事情忙活着。升级的事情还是比较棘手的。需要升级硬件服务器,相关的存储,操作系统,数据库产品,涉及面非常多。当然烦心的事情就很多。作为线上生产系统,升级和…
Python PK C++,究竟谁更胜一筹?
作者 | Farhad Malik译者 | 弯月,编辑 | 屠敏来源 | CSDN(ID:CSDNnews)在编程生涯的早期阶段,我参与过一款C数学优化应用程序的开发,这个程序对性能的要求很高。至今我依然记得那段艰难的经历。在那个项目中…

oracle--查看表空间大小以及修改表空间大小
为什么80%的码农都做不了架构师?>>> 一.修改表空间大小 解决以上问题的办法:通过增大表空间即可解决,如下: Sql代码 使用dba用户登陆 sqlplus / as sysdba; 执行如下命令: SQL >…
同步、异步、堵塞、非堵塞和函数调用及I/O之间的组合概念
在我们工作和学习中,经常会接触到“同步”、“异步”、“堵塞”和“非堵塞”这些概念,但是并不是每个人都能将它们的关系和区别说清楚。本文将对这些基本概念进行讨论,以期让大家有更清楚的认识。(转载请指明出于breaksoftware的c…
“抗击”新型肺炎!阿里达摩院研发AI算法,半小时完成疑似病例基因分析
利用技术辅助抗击疫情,阿里巴巴、百度等科技巨头各显身手。此前,AI科技大本营采访报道了阿里达摩院《数十名工程师作战5天,阿里达摩院连夜研发智能疫情机器人》一文,后者为了解决客服人力不足的局面,快速响应政府需求开…

反编译工具jad简单用法
反编译工具jad简单用法 下载地址:[url]http://58.251.57.206/down1?cidB99584EFA6154A13E5C0B273C3876BD4CC8CE672&t2&fmt&usrinput[/url]反编译工具jad &dt2002000一. 不用安装,只要解压就行(有这样两个文件jad.exe&#x…
ubuntu 系统设置bugzilla制
随着时间的推移。在大脑中形成的记忆总会慢慢的淡去。人的记忆力就是这样。所以最好的办法就是形成博客去记录下来,一方面给自己以后回想用。一方面也算是自己的一个积累。所以一旦选择了一个行业,最好不要轻 易转行,由于非常多知识须要不断的…
静态分析C语言生成函数调用关系的利器——cflow
除了《静态分析C语言生成函数调用关系的利器——calltree》一文中介绍的calltree,我们还可以借助cflow辅助我们阅读理解代码。(转载请指明出于breaksoftware的csdn博客) cflow的说明和安装cflow是一款静态分析C语言代码的工具,通过…
我在MongoDB年终大会上获二等奖文章:由数据迁移至MongoDB导致的数据不一致问题及解决方案...
作者 | 上海小胖来源 | Python专栏(ID:xpchuiit)故事背景企业现状2019年年初,我接到了一个神秘电话,电话那头竟然准确的说出了我的昵称:上海小胖。我想这事情不简单,就回了句:您好,我是小胖&…

注意String.Split的几个重载形式
String.Split应该是经常用到的一个函数了,经常的有下面两种形式 public string[] Split(char[] separator, StringSplitOptions options); public string[] Split(string[] separator, StringSplitOptions options); 1. 多数情况下我们会使用第一种,代码里可能这…

如何让猎头找到你
如何让猎头找到你

libev源码解析——总览
libev是个非常优秀的基于事件的循环库,很多开源软件,比如nodejs就是使用其实现基础功能。本系列将对该库进行源码分析。(转载请指明出于breaksoftware的csdn博客) 不知道是被墙了还是网站不再维护,它的官网(…
GPT-2仅是“反刍”知识,真正理解语言还要改弦更张
作者 | Gary Marcus译者 | 泓技编辑 | 夕颜出品 | AI科技大本营(ID:rgznai100)【导读】OpenAI的GPT-2正被广泛地讨论,无论是《纽约客》还是《经济学人》,我们都能看到有关它的话题。关于自然和人工智能,它想…

sap business one 笑谈
Sap Business .e 出生在以色列,生下来的时候父母给起了个小名叫SBO,据说他的亲生父母是SAP家庭里的一个重要成员,后来SAP家族里的长老认为SBO长得不错,挺好看的。毕竟SAP家族里生下来的儿子都是胖胖的,想要个瘦点长相好…

来51学院的第一天
【来51学院的第一天】转载于:https://blog.51cto.com/10801189/1703279
libev源码解析——监视器(watcher)结构和组织形式
在《libev源码解析——总览》中,我们介绍了libev的一些重要变量在不同编译参数下的定义位置。由于这些变量在多线程下没有同步问题,所以我们将问题简化,所提到的变量都是线程内部独有的,不用考虑任何多线程问题。(转载…

《评人工智能如何走向新阶段》后记(再续16)
由AI科技大本营下载自视觉中国181.5种常见的机器学习方法。 (1)线性回归linear regression: 一种流行的回归算法,从样本特征的线性组合,linear combination中学习模型。 (2)负数几率回归,logis…

怎么样才能快速的把淘宝店铺推广出去
我来到淘宝近一个月了,目前顺利地得到了两颗心心.感触颇多.其中店铺的推广显得尤其重要,应很多淘友的提问,我把一些店铺推广技巧介绍如下,你如果觉得有益,就回一下贴,以示支持.在这里先谢谢了!先看第一板斧:一、修练内功ÿ…

linux的ftp服务器
2019独角兽企业重金招聘Python工程师标准>>> ftp服务器在网上较为常见,Linux ftp命令的功能是用命令的方式来控制在本地机和远程机之间传送文件,这里详细介绍Linux ftp命令的一些经常使用的命令,相信掌握了这些使用Linux 进行ftp操…

使用Forms Authentication实现用户注册、登录 (二)用户注册与登录
从这一部分开始,我们将通过一个实际的完整示例来看一下如何实现用户注册与登录。在介绍注册与登录之前,我们首先介绍一下如何判断用户是否已登录,并未后面的示例编写一些基础代码。 判断用户是否已经登录首先,在Web站点项目中添加…
libev源码解析——调度策略
在《libev源码解析——监视器(watcher)结构和组织形式》中介绍过,监视器分为[2,-2]区间5个等级的优先级。等级为2的监视器最高优,然后依次递减。不区分监视器类型和关联的文件描述符的值,权限高的要优先于权限低的执行…
特斯拉AI团队招兵买马:“英雄不问出处”
2月3日,特斯拉创始人兼CEO埃隆•马斯克发布推特,贴出了Autopilot AI团队招聘人才的信息。马斯克在推特中表示,特斯拉AI团队将直接向马斯克回报,他几乎每天都会与团队保持沟通和交流,并透露团队base在德州奥斯汀。据特斯…

java中重载与重写的区别
最近了解一下重载和重写 一、重载(Overloading) (1) 方法重载是让类以统一的方式处理不同类型数据的一种手段。多个同名函数同时存在,具有不同的参数个数/类型。 重载Overloading是一个类中多态性的一种表现。 (2) Ja…
libev源码解析——I/O模型
在《libev源码解析——总览》一文中,我们介绍过,libev是一个基于事件的循环库。本文将介绍其和事件及循环之间的关系。(转载请指明出于breaksoftware的csdn博客) 目前ibev支持如下IO事件模型: select模型。对应文件是…
“数学不好,干啥都不行!”骨灰级程序员:其实你们都是瞎努力
之前有很多程序员读者向我们抱怨:1)做算法优化时,只能现搬书里的算法,遇到不一样的问题,就不会了。2)面试一旦涉及到算法和数据结构,如果数学不行,面试基本就凉凉了。3)一…

VISTA中注册表项LEGACY_****的删除
在VISTA中如果你错误安装了某个驱动软件,而如果这个驱动安装软件考虑不周,无法卸载,那么你就麻烦了!比如我的U盘以前一直使用优易U盘加密软件1.2来做一个隐蔽的U盘。某天我在VISTA上运行了这个U盘加密软件,这个软件运行…