关于Transformer,那些的你不知道的事
作者 | 小莫
来源 | 阿泽的学习笔记(ID: aze_learning)
引言
本博客主要是本人在学习 Transformer 时的「所遇、所思、所解」,通过以 「十六连弹」 的方式帮助大家更好的理解该问题。
十六连弹
为什么要有 Transformer?
Transformer 作用是什么?
Transformer 整体结构怎么样?
Transformer-encoder 结构怎么样?
Transformer-decoder 结构怎么样?
传统 attention 是什么?
self-attention 长怎么样?
self-attention 如何解决长距离依赖问题?
self-attention 如何并行化?
multi-head attention 怎么解?
为什么要 加入 position embedding ?
为什么要 加入 残差模块?
Layer normalization。Normalization 是什么?
什么是 Mask?
Transformer 存在问题?
Transformer 怎么 Coding?
问题解答
3.1 为什么要有 Transformer?
为什么要有 Transformer? 首先需要知道在 Transformer 之前都有哪些技术,这些技术所存在的问题:
RNN:能够捕获长距离依赖信息,但是无法并行;
CNN: 能够并行,无法捕获长距离依赖信息(需要通过层叠 or 扩张卷积核 来 增大感受野);
传统 Attention
方法:基于源端和目标端的隐向量计算Attention,
结果:源端每个词与目标端每个词间的依赖关系 【源端->目标端】
问题:忽略了 远端或目标端 词与词间 的依赖关系
3.2 Transformer 作用是什么?
基于Transformer的架构主要用于建模语言理解任务,它避免了在神经网络中使用递归,而是完全依赖于self-attention机制来绘制输入和输出之间的全局依赖关系。
3.3 Transformer 整体结构怎么样?
整体结构
Transformer 整体结构:
encoder-decoder 结构
具体介绍:
左边是一个 Encoder;
右边是一个 Decoder;
整体结构放大一点
从上一张 Transformer 结构图,可以知道 Transformer 是一个 encoder-decoder 结构,但是 encoder 和 decoder 又包含什么内容呢?
Encoder 结构:内部包含6层小encoder 每一层里面有2个子层;
Decoder 结构:内部也是包含6层小decoder ,每一层里面有3个子层
整体结构再放大一点
其中上图中每一层的内部结构如下图所求。
上图左边的每一层encoder都是下图左边的结构;
上图右边的每一层的decoder都是下图右边的结构;
具体内容,后面会逐一介绍。
3.4 Transformer-encoder 结构怎么样?
特点:
与 RNN,CNN 类似,可以当成一个特征提取器;
组成结构介绍
embedding 层:将 input 转化为 embedding 向量 ;
Position encodding: input的位置与 input 的 embedding 相加 得到 向量 ;
self-attention : 将融合input的位置信息 与 input 的 embedding 信息的 输入 Self-Attention 层得到 ;
残差网络: 与 相加后经过 layernorm 层;
前馈网络:经过一层前馈网络以及 Add&Normalize,(线性转换+relu+线性转换 如下式)
举例说明(假设序列长度固定,如100,如输入的序列是“我爱中国”):
首先需要 「encoding」:将词映射成一个数字,encoding 后,由于序列不足固定长度,因此需要padding。然后输入 embedding 层,假设 embedding 的维度是128,则输入的序列维度就是100*128;
接着是 「Position encodding」,论文中是直接将每个位置通过cos-sin函数进行映射。这部分不需要在网络中进行训练,因为它是固定。但现在很多论文是将这块也embedding,如bert的模型,至于是encoding还是embedding可取决于语料的大小,语料足够大就用embedding。将位置信息也映射到128维与上一步的embedding相加,输出100*128
经过「self-attention层」:假设v的向量最后一维是64维(假设没有多头),该部分输出100*64;
经过残差网络:即序列的embedding向量与上一步self-attention的向量加总;
经过 「layer-norm」:原因有两点:首先由于在self-attention里面更好操作而已;其次真实序列的长度一直在变化;
经过 「前馈网络」:其目的是增加非线性的表达能力,毕竟之前的结构基本都是简单的矩阵乘法。若前馈网络的隐向量是512维,则结构最后输出100*512;
3.5 Transformer-decoder 结构怎么样?
特点:与 encoder 类似
组成结构介绍
masked 层:其目的确保了位置 i 的预测仅依赖于小于 i 的位置处的已知输出;
Linear layer:其目的是将由解码器堆栈产生的向量投影到一个更大的向量中,称为对数向量。这个向量对应着模型的输出词汇表;向量中的每个值,对应着词汇表中每个单词的得分;
softmax层:这些分数转换为概率(所有正数,都加起来为1.0)。选择具有最高概率的单元,并且将与其相关联的单词作为该时间步的输出
3.6 传统 attention 是什么?
注意力机制是什么呢?
就是将精力集中于某一个点上
举个例子:你在超市买东西,突然一个美女从你身边走过,这个时候你会做什么呢?没错,就是将视线【也就是注意力】集中于这个美女身上,而周围环境怎么样,你都不关注。
思路
输入 给定 Target 中某个 query;
计算权值 Score:计算 query 和 各个 Key 的相似度或相关性,得到每个 Key 对应 value 的权值系数;
对权值 Score 和 value 进行加权求和
核心:
Attention 机制 是对 source 中各个元素 的 value 进行加权求和,而 query 和 key 用于计算 对应 value 的权值系数
其中 代表 Source 的长度
概念:
attention 的核心 就是从 大量信息中 筛选出少量的 重要信息;
具体操作:每个 value 的 权值系数,代表 其 重要度;
具体流程介绍
公式介绍:计算结果 即为 对应的权重系数,然后进行加权求和即可得到Attention数值
原因:首先,score 值分布过散,将原始计算分值整理成所有元素权重之和为1 的概率分布;其次,可以通过SoftMax的内在机制更加突出重要元素的权重;
公式介绍
采用不同的函数或计算方式,对 query 和 key 进行计算,求出相似度或相关性
采用的计算方法:
向量点积:
Cosine 相似度计算:
MLP 网络:
step 1:计算权值系数
step 2: softmax 归一化
step 3: 加权求和
存在问题
忽略了源端或目标端词与词间的依赖关系【以上面栗子为例,就是把注意力集中于美女身上,而没看自己周围环境,结果可能就扑街了!】
3.7 self-attention 长怎么样?
动机
CNN 所存在的长距离依赖问题;
RNN 所存在的无法并行化问题【虽然能够在一定长度上缓解 长距离依赖问题】;
传统 Attention
方法:基于源端和目标端的隐向量计算Attention,
结果:源端每个词与目标端每个词间的依赖关系 【源端->目标端】
问题:忽略了 远端或目标端 词与词间 的依赖关系
核心思想:self-attention的结构在计算每个token时,总是会考虑整个序列其他token的表达;
举例:“我爱中国”这个序列,在计算"我"这个词的时候,不但会考虑词本身的embedding,也同时会考虑其他词对这个词的影响
目的:学习句子内部的词依赖关系,捕获句子的内部结构。
步骤
权值 score 和各个上下文字的 V 向量 的加权求和
目的:把上下文各个字的 V 融入目标字的原始 V 中
经过 Softmax 归一化;
乘以 ;
目的:起到调节作用,使得内积不至于太大。实际上是Q,K,V的最后一个维度,当 越大, 就越大,可能会将 Softmax 函数推入梯度极小的区域;
查询向量 query 点乘 key;
目的:计算其他词对这个词的重要性,也就是权值;
Q:查询向量,目标字作为 Query;
K:键向量,其上下文的各个字作为 Key;
V:值向量,上下文各个字的 Value;
embedding层:其目的是将词转化成embedding向量;
Q,K,V 向量计算:根据 embedding 和权重矩阵,得到Q,K,V;
权重 score 计算:
scale 操作:
Softmax 归一化:
Attention 的输出计算:
举例
答案就是文章中的Q,K,V,这三个向量都可以表示"我"这个词,但每个向量的作用并不一样,Q 代表 query,当计算"我"这个词时,它就能代表"我"去和其他词的 K 进行点乘计算其他词对这个词的重要性,所以此时其他词(包括自己)使用 K 也就是 key 代表自己,当计算完点乘后,我们只是得到了每个词对“我”这个词的权重,需要再乘以一个其他词(包括自己)的向量,也就是V(value),才完成"我"这个词的计算,同时也是完成了用其他词来表征"我"的一个过程
优点
捕获源端和目标端词与词间的依赖关系
捕获源端或目标端自身词与词间的依赖关系
3.8 self-attention 如何解决长距离依赖问题?
引言:
长距离依赖问题 是什么呢?
为什么 CNN 和 RNN 无法解决长距离依赖问题?
之前提出过哪些解决方法?
self-attention 是如何 解决 长距离依赖问题的呢?
在上一个问题中,我们提到 CNN 和 RNN 在处理长序列时,都存在 长距离依赖问题,那么你是否会有这样 几个问题:
下面,我们将会围绕着几个问题,进行一一解答。
长距离依赖问题 是什么呢?
介绍:对于序列问题,第 时刻 的 输出 依赖于 之前的输入,也就是 说 依赖于 ,当间隔 逐渐增大时, 的信息将难以被 所学习到,也就是说,很难建立 这种 长距离依赖关系,这个也就是 长距离依赖问题(Long-Term Dependencies Problem)。
为什么 CNN 和 RNN 无法解决长距离依赖问题?
RNN 主要 通过 循环 的方式学习(记忆) 之前的信息;
问题:但是随着时间 的推移,你会出现「梯度消失或梯度爆炸」问题,这种问题使你只能建立短距离依赖信息。
举例:RNN 的学习模式好比于 人类 的记忆力,人类可能会对 短距离内发生的 事情特别清楚,但是随着时间的推移,人类开始 会对 好久之前所发生的事情变得印象模糊,比如,你对小时候发生的事情,印象模糊一样。
解决方法:针对该问题,后期也提出了很多 RNN 变体,比如 LSTM、 GRU,这些变体 通过引入 门控的机制 来 有选择性 的记忆 一些 重要的信息,但是这种方法 也只能在 一定程度上缓解 长距离依赖问题,但是并不能 从根本上解决问题。
CNN 主要采用 卷积核 的 方式捕获 句子内的局部信息,你可以把他理解为 「基于 n-gram 的局部编码方式」捕获局部信息
问题:因为是 n-gram 的局部编码方式,那么当 距离 大于 时,那么 将难以学习 信息;
举例:其实 n-gram 类似于 人的 视觉范围,人的视觉范围 在每一时刻 只能 捕获 一定 范围内 的信息,比如,你在看前面的时候,你是不可能注意到背后发生了什么,除非你转过身往后看。
CNN:捕获信息的方式:
RNN:捕获信息的方式:
之前提出过哪些解决方法?
增加网络的层数:通过一个深层网络来获取远距离的信息交互
使用全连接网络:通过全连接的方法对长距离建模;但这样会产生两个问题:1.无法处理变长的输入序列;2.不同的输入长度,其连接权重的大小也是不同的;
引言:那么之前主要采用什么方法解决问题呢?
解决方法:
self-attention 是如何 解决 长距离依赖问题的呢?
解决方式:利用注意力机制来“动态”地生成不同连接的权重,从而处理变长的信息序列
具体介绍:对于 当前query,你需要 与 句子中 所有 key 进行点乘后再 Softmax ,以获得 句子中 所有 key 对于 当前query 的 score(可以理解为 贡献度),然后与 所有词 的 value 向量进行加权融合之后,就能使 当前 学习到句子中 其他词的信息;
3.9 self-attention 如何并行化?
引言:
在上一个问题中,我们主要讨论了 CNN 和 RNN 在处理长序列时,都存在 长距离依赖问题,以及 Transformer 是 如何解决 长距离依赖问题,但是对于 RNN ,还存在另外一个问题:无法并行化问题
那么,Transformer 是如何进行并行化的呢?
Transformer 如何进行并行化?
核心:self-attention
为什么 RNN 不能并行化:原因在于RNN 在 计算 的时候,需要考虑到 的 信息,使得 RNN 只能 从 计算到 ;
思路:在 self-attention 能够 并行的 计算 句子中不同 的 query,因为每个 query 之间并不存在 先后依赖关系,也使得 transformer 能够并行化;
3.10 multi-head attention 怎么解?
思路:
相当于 个 不同的 self-attention 的集成
就是把self-attention做 n 次,取决于 head 的个数;论文里面是做了8次。
步骤:
step 1 : 初始化 N 组 矩阵(论文为 8组);
step 2 : 每组 分别 进行 self-attention;
step 3:
每次self-attention都会得到一个 Z 矩阵,把每个 Z 矩阵拼接起来,
再乘以一个Wo矩阵,
得到一个最终的矩阵,即 multi-head Attention 的结果;
问题:多个 self-attention 会得到 多个 矩阵,但是前馈神经网络没法输入8个矩阵;
目标:把8个矩阵降为1个
步骤:
最后,让我们来看一下完整的流程:
换一种表现方式:
3.11 为什么要 加入 position embedding?
问题:
介绍:缺乏 一种 表示 输入序列中 单词顺序 的方法
说明:因为模型不包括Recurrence/Convolution,因此是无法捕捉到序列顺序信息的,例如将K、V按行进行打乱,那么Attention之后的结果是一样的。但是序列信息非常重要,代表着全局的结构,因此必须将序列的分词相对或者绝对position信息利用起来
目的:加入词序信息,使 Attention 能够分辨出不同位置的词
思路:
在 encoder 层和 decoder 层的输入添加了一个额外的向量Positional Encoding,维度和embedding的维度一样,让模型学习到这个值
位置向量的作用:
决定当前词的位置;
计算在一个句子中不同的词之间的距离
步骤:
将每个位置编号,
然后每个编号对应一个向量,
通过将位置向量和词向量相加,就给每个词都引入了一定的位置信息。
论文的位置编码是使用三角函数去计算的。好处:
值域只有[-1,1]
容易计算相对位置。
注: 表示当前词在句子中的位置; 表示向量中每个值 的 index;在偶数位置:使用 正弦编码 ;在奇数位置:使用 余弦编码 。
3.12 为什么要加入残差模块?
动机:因为 transformer 堆叠了 很多层,容易 梯度消失或者梯度爆炸
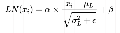
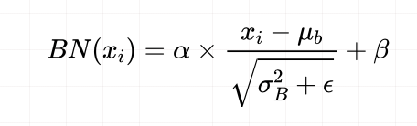
3.13 Layer normalization。Normalization 是什么?
动机:因为 transformer 堆叠了 很多层,容易 梯度消失或者梯度爆炸;
原因:数据经过该网络层的作用后,不再是归一化,偏差会越来越大,所以需要将 数据 重新 做归一化处理;
目的:在数据送入激活函数之前进行normalization(归一化)之前,需要将输入的信息利用 normalization 转化成均值为0方差为1的数据,避免因输入数据落在激活函数的饱和区而出现 梯度消失或者梯度爆炸 问题
介绍:
归一化的一种方式
对每一个样本介绍均值和方差【这个与 BN 有所不同,因为他是在 批方向上 计算均值和方差】
公式
LN 计算公式
BN 计算公式
3.14 什么是 Mask?
介绍:掩盖某些值的信息,让模型信息不到该信息;
类别:padding mask and sequence mask
作用域:只作用于 decoder 的 self-attention 中
动机:不可预测性;
目标:sequence mask 是为了使得 decoder 不能看见未来的信息。也就是对于一个序列,在 time_step 为 t 的时刻,我们的解码输出应该只能依赖于 t 时刻之前的输出,而不能依赖 t 之后的输出。因此我们需要想一个办法,把 t 之后的信息给隐藏起来。
做法:产生一个上三角矩阵,上三角的值全为0。把这个矩阵作用在每一个序列上,就可以达到我们的目的
作用域:每一个 scaled dot-product attention 中
动机:输入句子的长度不一问题
方法:短句子:后面 采用 0 填充;长句子:只截取 左边 部分内容,其他的丢弃
原因:对于填充的位置,其所包含的信息量对于模型学习作用不大,所以 self-attention 应该 抛弃对这些位置 进行学习;
做法:在这些位置上加上 一个 非常大 的负数(负无穷),使 该位置的值经过 Softmax 后,值近似 0,利用 padding mask 标记哪些值需要做处理;
padding mask
sequence mask
注:在 decoder 的 scaled dot-product attention 中,里面的 attn_mask = padding mask + sequence mask;在 encoder 的 scaled dot-product attention 中,里面的 attn_mask = padding mask。
3.15 Transformer 存在问题?
引言
居然 Transformer 怎么厉害,那么 是否也存在不足呢?
答案: 有的
问题一:不能很好的处理超长输入问题?
处理方式一:截断句子方式(Transformer 处理方式);
处理方式二:将句子划分为 多个 seg (Vanilla Transformer 处理方式);
思路:将文本划分为多个segments;练的时候,对每个segment单独处理;
问题:因为 segments 之间独立训练,所以不同的token之间,最长的依赖关系,就取决于segment的长度 (如图(a));出于效率的考虑,在划分segments的时候,不考虑句子的自然边界,而是根据固定的长度来划分序列,导致分割出来的segments在语义上是不完整的 (如图(a));在预测的时候,会对固定长度的 segment 做计算,一般取最后一个位置的隐向量作为输出。为了充分利用上下文关系,在每做完一次预测之后,就对整个序列向右移动一个位置,再做一次计算,这导致计算效率非常低 (如图(b));
处理方式三:Segment-Level Recurrenc ( Transformer-XL 处理方式);
思路:在对当前segment进行处理的时候,「缓存」并利用上一个segment中所有layer的隐向量序列;上一个segment的所有隐向量序列只参与前向计算,不再进行反向传播;
介绍:Transformer 固定了句子长度;
举例:例如 在 Bert 里面,输入句子的默认长度 为 512;
对于长度长短问题,做了以下处理:短于 512:填充句子方式;长于 512:
问题二:方向信息以及相对位置 的 缺失 问题?
举例:如下图,“Inc”单词之前的词很有可能就是机构组织(ORG),“in”单词之后的词,很有可能是时间地点(TIME);并且一个实体应该是连续的单词组成,标红的“Louis Vuitton”不会和标蓝的“Inc”组成一个实体。但是原始的Transformer无法捕获这些信息。
动机:方向信息和位置信息的缺失,导致 Transformer 在 NLP 中表现性能较差,例如在 命名实体识别任务中;
解决方法:可以查看 TENER: Adapting Transformer Encoder for Name Entity Recognition 【论文后期会做总结】
问题三:缺少Recurrent Inductive Bias
动机:学习算法中Inductive Bias可以用来预测从未遇到的输入的输出(参考[10])。对于很多序列建模任务(如需要对输入的层次结构进行建模时,或者在训练和推理期间输入长度的分布不同时),Recurrent Inductive Bias至关重要【可以看论文The Importance of Being Recurrent for Modeling Hierarchical Structure】
问题四:Transformer是非图灵完备的:非图灵完备通俗的理解,就是无法解决所有的问题
动机:在Transformer中,单层中sequential operation (context two symbols需要的操作数)是 time,独立于输入序列的长度。那么总的sequenctial operation仅由层数决定。这意味着transformer不能在计算上通用,即无法处理某些输入。如:输入是一个需要「对每个输入元素进行顺序处理」的函数,在这种情况下,对于任意给定的深度的transformer,都可以构造一个长度为 ;
问题五:transformer缺少conditional computation
动机:transformer在encoder的过程中,所有输入元素都有相同的计算量,比如对于“I arrived at the bank after crossing the river", 和"river"相比,需要更多的背景知识来推断单词"bank"的含义,然而transformer在编码这个句子的时候,无条件对于每个单词应用相同的计算量,这样的过程显然是低效的。
问题六:transformer 时间复杂度 和 空间复杂度 过大问题
动机:Transformer 中用到的自注意力与长度n呈现出的时间和空间复杂度
解决方法:Linformer
3.16 Transformer 怎么 Coding?
最后的最后,送上 whalePaper 成员 逸神 的 【Transformer 理论源码细节详解】;
理论+实践,干活永不累!
参考资料
Transformer理论源码细节详解
论文笔记:Attention is all you need(Transformer)
深度学习-论文阅读-Transformer-20191117
Transform详解(超详细) Attention is all you need论文
目前主流的attention方法都有哪些?
transformer三部曲
Character-Level Language Modeling with Deeper Self-Attention
Transformer-XL: Unleashing the Potential of Attention Models
The Importance of Being Recurrent for Modeling Hierarchical Structure
Linformer
推荐阅读我在攻克机器学习硕士学位的那些年
谷歌顶级量子科学家详述他为何从谷歌辞职
TensorFlow、PyTorch夹缝之下:后浪的进击和野望
紧急通知:招募 2000 名 IT 人学英语,免费培训!
AI不止能美颜,美妆迁移这样做 | 赠书
相关文章:

用ASP.NET上传大文件
作者:思归 微软MVP http://blog.joycode.com/saucer/我们在上传大文件时都遇到过这样或那样的问题。设置很大的maxRequestLength值并不能完全解决问题,因为ASP.NET会block直到把整个文件载入内存后,再加以处理。实际上,如果…

中国最齐全的主要电子商务网站(B2C)
中国最齐全的主要电子商务网站(B2C)------[连载之电子商务网站架构]访问量超过100万的电子商务网站技术架构版本:V1出处:http://jimmyli.blog.51cto.com/ 我站在巨人肩膀上Jimmy Li作者:Jimmy Li关键词:中国 电子商务 网站 B2C连接…

怎么安装MYSQL5.0的JDBC驱动
1、下载mysql for jdbc driver. http://dev.mysql.com/downloads/connector/j/3.1.htmlMySQL Connector/J is distributed as a .zip or .tar.gz archive containing the sources and class files as well as a class-file only "binary" .jar archive named "…

ASP.NET中的事务处理和异常处理
刘彦青编译 来自:yesky 使用SQL-Transaction类和.NET提供的异常处理机制,我们就能够以一种可靠的方式处理数据库运行中的问题和发现系统异常。这篇小文章将解释事务处理和异常处理的概念和用法。 什么是事务? 事务处理是由以一个单一的…
2020年AI产业报告:100个岗位抢1个人,计算机视觉成最大缺口
“你永远都不知道明天和‘公司的意外’哪个先来。”疫情期间,这是我们最战战兢兢的心情。但是显然,有些人体会不了。这份行业数据,让笔者“柠檬”了。1疫情下,有的公司宣布破产有的公司增长413%疫情期间,人工智能的价值…

.NET Winform也能画出类似QQ、飞信这样的窗口风格和控件效果
MPN企业宝智能升级程序界面采用.NET的Winform技术,并没有延续企业宝主程序的绘制界面技术——WPF。直接采用Winform实现类似QQ和飞信的窗口风格比较困难,WPF好在还有一个Blend设计工具,而Winform只能靠自己一个一个像素去对齐、去仔细看&…

【转】HashMap、TreeMap、Hashtable、HashSet和ConcurrentHashMap区别
转自:http://blog.csdn.net/paincupid/article/details/47746341 一、HashMap和TreeMap区别 1.HashMap是基于散列表实现的,时间复杂度平均能达到O(1)。 TreeMap基于红黑树(一种自平衡二叉查找树)实现的,时间复杂度平均…

ASP.NET实现数据图表
作者:马金虎 来自:yesky 在ASP中插入图表,常用的方法是使用MSChart控件。那么在ASP.NET是否也是这样呢?答案是不可以的。 我们知道ASP.NET是一种编译语言,当客户端第一次调用ASP.NET页面的时候,其实是经过了一种…

Struts2基础(1)_MVC
2019独角兽企业重金招聘Python工程师标准>>> Struts2是有传统的Struts1和WebWork两个经典MVC框架发展起来,无论从Struts2的设计角度或则实际项目中的易用性来开,它都是一个非常优秀的MVC框架。 MVC的理解:MVC思想将应用中各组件按…
我发现了个Python黑魔法,执行任意代码都会自动念上一段「平安经」
来源 | Python编程时光最近的"平安经"可谓是引起了不小的风波啊。作为一个正儿八经的程序员,最害怕的就是自己的代码上线出现各种各样的 BUG。为此,明哥今天分享一个 Python 的黑魔法,教你如何在你执行任意 Python 代码前ÿ…

Java第一天学习笔记整理
一、关键字 java的关键字对java的编译器有特殊的意义,他们用来表示一种数据类型,或者表示程序的结构等,关键字不能用作变量名、方法名、类名、包名。 常见的关键字: 用于定义数据类型的关键字 class interface byte short int lon…

ASP.NET中树形图的实现
来自:DotNET中文技术网 树形图用于显示按照树形结构进行组织的数据,其用途比较广泛,如计算机中的文件系统(Windows中的资源管理器)、企业或公司的组成结构等。我们知道在Windows下VB、PB、Delphi等工具提供了一个功能很强的树型控件TreeView…

同步你的手机联系人
从web1.0到2.0,我们进入了一个新的互联网时代移动时代.相信你的手机中,有许多联系人信息,你肯定不想把他们弄丢吧,像我之前隔一段时间就备份下,存到电脑中.现在再也不怕联系人信息丢了,只需要一个账户,同步一下,所有联系人信息都回来了.我是在Android智能手机上操作的,IOS就不清…
AI 技术发展飞快,高校 AI 教师的知识储备能满足学生旺盛的求知欲吗?
2019 年,AI 技术以惊人的速度发展;2020 年,AI 技术成熟的时机已经到来,随之而来的,是越来越旺盛的 AI 人才需求。近日,国家正式发布了一份《2020 年人工智能产业人才发展报告》显示,2020 年人工…

Windows Server 2008 R2安装子域控制器
一、实验网络拓扑图: 二、实验说明: 子域控制器安装前需要先把主域控制器安装好,然后子域控制器的DNS先指向主域控制器的IP地址 192.168.10.30,主域控制器委派DNS给子域控制器后再把子域控制器DNS指向自己的IP地址 192.168.10.31即…

使用嵌套的Repeater控件显示分级数据
作者:wincheer 来自:Asp.Net中文专业网 简介 本文描述如何使用嵌套的Repeater 控件来显示分级数据 。当然了,你也可以将这一技术应用到其他的列表绑定控件上去,比如DataGrid包含DataGrid,DataList包含DataList等等…
我还没考试,算法就说我的物理一定挂科
来源 | HyperAI超神经责编 | Carol封图 | CSDN 下载自视觉中国大学物理是理工科学生的基础必修课程,但也因为有一定的难度,令很多学生望而生畏。研究人员提出了用 AI 算法预测,哪些学生物理课有挂科风险,好让老师更好地进行教学指…

Dorado7功能及技术特点
简介 Dorado PresentationMiddleware(即Dorado展现中间件,以下简称Dorado)致力于辅助Web应用中表现层的开发过程。Dorado主要可以为您带来如下两方面的使用价值: 更加美观、更加人性化的Web操作界面。更加高效的表现层开发…

ELK日志分析平台搭建全过程
一、使用背景 当生产环境有很多服务器、很多业务模块的日志需要每时每刻查看时 二、环境 系统:centos 6.5 JDK:1.8 Elasticsearch-5.0.0 Logstash-5.0.0 kibana-5.0.0 三、安装 1、安装JDK 下载JDK:http://www.oracle.com/technetwork/java/j…

Android中Handler
本文通过例子来验证和说明使用Handler对象开启的线程是否和主线程为在同一线程中。 程序结构图如下: [1] HandlerActivity.java中的源码如下: [html] view plaincopyprint?package com.andyidea.handlerdemo2; import android.app.Activity; import…
刚出炉!程序员人才补贴:单项目最高补贴1000万元
最近,程序员届有一个重大好消息,可能很多人还不知道,那就是:国内某些城市已经开始程序员人才补贴了!对于人工智能公司的项目开发、人才引进、科技研发,最高按照国拨经费的30%给予配套支持,单个项…

ASP.NET中在线用户统计
天极论坛 统计在线用户的作用不言而喻,就是为了网站管理者可以知道当前用户的多少,然后根据用户数量来观察服务器或者程序的性能,从而可以直观的了解到网站的吸引力或者网站程序的效率。现在,我们就介绍一个简单明了的方法来统计…

数(Number)
--读《自然数原本:数数论》(薛海明,山西科学技术出版社)和《数论概论》([美]Joseph H.Silverman,机械工业出版社)笔记 人们对于数的认识从数数(counting)开始,…

linux 中root用户与普通用户的切换
su是在用户间切换,可以是从普通用户切换到root用户,也可以是从root用户切换到普通用户。 如果当前是root用户,那么切换成普通用户test用以下命令:su test或su - test 如果要切换回root用户或普通用户切换至root用户,用…
2个月做出一款AI项目?这些学生在DeeCamp上决出两个总冠军
出品 | AI科技大本营(ID:rgznai100)2个月,一群来自世界各地高校的学生做出了技术与商业化兼具的AI落地项目。8月5日,DeeCamp 2020人工智能训练营迎来总冠军答辩暨结营典礼。最终,自动驾驶赛道和创新赛道的两支团队夺得…

C语言宏定义技巧
C语言宏定义技巧(常用宏定义) 写好C语言,漂亮的宏定义很重要,使用宏定义可以防止出错,提高可移植性,可读性,方便性等等。下面列举一些成熟软件中常用得宏定义。 1、防止一个头文件被重复包含 …

了解C++默默编写并调用哪些函数
在C中,如果你写下 1 classEmpty{…}; 就相当于写下1 classEmpty{ 2 public: 3 Empty();//default构造函数 4 Empty(constEmpty& rhs){……};//copy构造函数 5 ~Empty(){…}//析构函数 6 Empty&operator(constEmpty& rhs){…};//copy赋值运算符 7 }; 惟有…
仅50张图片训练数据的AI分类技术PK,阿里拿下ECCV 2020竞赛冠军
出品 | AI科技大本营(ID:rgznai100)近日,两年一度的世界计算机视觉领域顶会ECCV 2020的各项挑战赛结果出炉,在图像分类赛中,阿里安全的高效AI分类技术超越三星、深兰科技、同济大学等国内外多支队伍的同类技术获得冠军…

Eclipse生成jar文件
2019独角兽企业重金招聘Python工程师标准>>> 具体做法如下: 方法一:(工程没有引用外部jar包时,直接导出) 选中工程---->右键,Export...--->Java--->JAR file--->next-->选择jar file的路径及名称-->…

动态的管理ASP.NET DataGrid数据列
动网先锋 在ASP.NET的DataGrid数据显示控件编程中,我们有几种方式可以增加DataGrid columns。其中最常见的方法是在web forms设计器中增加,通过在控件工具箱中拖访DataGrid控件到web设计页面,然后在属性生成器中增加Columns列;还有一种方式就…