一文详解 RNN 及股票预测实战(Python)!

作者 | 泳鱼
来源 | 算法进阶
循环神经网络(RNN)是基于序列数据(如语言、语音、时间序列)的递归性质而设计的,是一种反馈类型的神经网络,其结构包含环和自重复,因此被称为“循环”。它专门用于处理序列数据,如逐字生成文本或预测时间序列数据(例如股票价格)。

一、 RNN 网络类型
RNN以输入数m对应输出数n的不同,可以划分为5种基础结构类型:

(1)one to one:其实和全连接神经网络并没有什么区别,这一类别算不上 RNN。
(2)one to many:输入不是序列,输出是序列。可用于按主题生成文章或音乐等。
(3)many to one:输入是序列,输出不是序列(为单个值)。常用于文本分类、回归预测。
(4)many to many:输入和输出都是不定长的序列。这也就是Encoder-Decoder结构,常用于机器翻译。
(5)many to many(m==n):输入和输出都是等长的序列数据。这是 RNN 中最经典的结构类型,常用于NLP的命名实体识别、序列预测。
二、RNN原理
关于RNN模型,我们还是从数据、模型、学习目标、优化算法这几个要素展开解析,使用过程需要重点关注的是其输入和输出的差异(本节以经典的m==n的RNN结构为例)。
2.1 数据层面
不像传统的机器学习模型假设输入是独立的,RNN的输入数据元素有顺序及相互依赖的,并按时间步逐一的串行输入模型的。上一步的输入对下一步的预测是有影响的(如文字预测的任务,以“猫吃鱼”这段序列文字,上一步的输入“猫”--x(0)会影响下一步的预测“吃”--x(1)的概率,也会继续影响下下步的预测“鱼”--x(2)的概率),我们通过RNN结构就可以将历史的(上下文)的信息反馈到下一步。
2.2 模型层面及前向传播

如上图,RNN模型(如左侧模型,实际上也只有这一个物理模型),按各个时间步展开后(如右侧模型),可以看作是按时间步(t)串联并共享(、、 )参数的多个全连接神经网络。展开后的立体图如下:

RNN除了接受每一步的输入x(t),同时还会连接输入上一步的反馈信息——隐藏状态h(t-1),也就是当前时刻的隐藏状态 ℎ(t) 由当前时刻的输入 x(t)和上一时刻的隐藏状态h(t-1)共同决定。另外的,RNN神经元在每个时间步上是共享权重参数矩阵的(不同于CNN是空间上的参数共享),时间维度上的参数共享可以充分利用数据之间的时域关联性,如果我们在每个时间点都有一个单独的参数,不但不能泛化到训练时没有见过序列长度,也不能在时间上共享不同序列长度和不同位置的统计强度。
如下各时间步的前向传播计算流程图,接下来我们会对计算流程逐步分解:

上图展开了两个时间步t-1及t的计算过程;
t取值为0~m(序列的长度);
x(t)是t时间步的 输入向量;
U是 输入层到隐藏层的权重矩阵;
h(t)是t时间步 隐藏层的输出状态向量,能表征历史输入(上下文)的反馈信息;
V是 隐藏层到输出层的权重矩阵;b是 偏置项;
o(t)是t时间步 输出层的输出向量;
2.2.1 t 时间步的输入过程
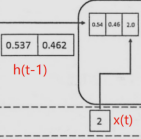
假设各时间步的状态h的维度为2,h初始值为[0,0],输入x和输出o维度为1。
将上一时刻的状态h(t-1),与当前时刻的输入x(t)拼接成一维向量作为全连接的隐藏层的输入,对应隐藏层的的输入维度为3 (如下图的输入部分)。

2.2.2 t时间步输出h(t) 并反馈到下一步的过程
对应到计算流程图上,t-1时刻输出的状态h(t-1)为[0.537, 0.462],t时刻的输入为[2.0],拼接之后为[0.537, 0.462, 2.0]输入全连接的隐藏层,隐藏层的权重矩阵为[[0.1, 0.2], [0.3, 0.4], [0.5, 0.6]],偏置项b1为[0.1, -0.1],经过隐藏层的矩阵运算为:h(t-1)拼接x(t) * 权重参数W 拼接 权重矩阵U + 偏置项(b1)再由tanh转换后输出为状态h(t)。接着h(t)与x(t+1)继续输入到下一步(t+1)的隐藏层。
# 隐藏层的矩阵运算的对应代码
np.tanh(np.dot(np.array([[0.537, 0.462, 2.0]]),np.array([[0.1, 0.2], [0.3, 0.4], [0.5, 0.6]])) + np.array([0.1, -0.1]))
# 输出h(t)为:array([[0.85972772, 0.88365397]])2.2.3 t时间步h(t) 到输出o(t)的过程
隐藏层输出状态h(t)为[0.86, 0.884],输出层权重矩阵为[[1.0], [2.0]],偏置项b1为[0.1], h(t)经由输出层的矩阵运算为:h(t) * V +偏置项(b2)后,输出o(t)
# 输出层的矩阵运算的对应代码
np.dot(np.array([[0.85972772, 0.88365397]]),np.array([[1.0], [2.0]])) + np.array([0.1])
# o(t) 输出: array([[2.72703566]])上述过程从初始输入(t=0)遍历到序列结束(t=m),就是一个完整的前向传播过程,我们可以看出权重矩阵、、和偏置项在不同时刻都是同一组,这也说明RNN在不同时刻中是共享参数的。
可以将这RNN计算过程简要概述为两个公式:
状态h(t) = f( U * x(t) + W * h(t-1) + b1), f为激活函数,上图隐藏层用的是tanh。隐藏层激活函数常用tanh、relu
输出o(t) = g( V * h(t) + b2),g为激活函数,上图输出层做回归预测,没有用非线性激活函数。当用于分类任务,输出层一般用softmax激活函数
2.3 学习目标
RNN模型将输入 x(t)序列映射到输出值 o(t)后, 同全连接神经网络一样,可以衡量每个 o(t) 与相应的训练目标 y 的误差(如交叉熵、均方误差)作为损失函数,以最小化损失函数L(U,W,V)作为学习目标(也可以称为优化策略)。

2.4 优化算法
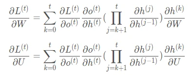
RNN的优化过程与全连接神经网络没有本质区别,通过误差反向传播,多次迭代梯度下降优化参数,得到合适的RNN模型参数 (此处忽略偏置项) 。区别在于RNN是基于时间反向传播,所以RNN的反向传播有时也叫做BPTT(back-propagation through time),BPTT会对不同时间步的梯度求和,由于所有的参数在序列的各个位置是共享的,反向传播时我们更新的是相同的参数组。如下BPTT示意图及U,W,V求导(梯度)的过程。

优化参数 相对简单,求参数 的偏导数,并对不同时间步的梯度求和:

和 的偏导的求解由于需要涉及到历史数据,其偏导求起来相对复杂,假设只有三个时刻(t==3),那么在第三个时刻 对 的偏导数为:

相应的, 在第三个时刻对U的偏导数为:

我们根据上面两个式子可以写出L在 时刻对 和 偏导数的通式:

RNN优化的难点
当我们把激活函数(sigmoid、tanh)代入,分析上述通式的中间累乘的那部分:

sigmoid函数的导数范围是(0,0.25],tanh函数的导数范围是(0,1]。累乘的过程中,如果取sigmoid函数作为激活函数的话,随着时间步越长,较小导数累乘就会导致该时间步梯度越来越小直到接近于0(历史时间步的信息距离当前时间步越长,反馈的梯度信号就会越弱),这也就是“梯度消失”。同理,也可能会导致“梯度爆炸”。

2.5 RNN的局限性
上述展示的都是单向的 RNN,单向 RNN 有个缺点是在 t 时刻,无法使用 t+1 及之后时刻的序列信息,所以就有了双向循环神经网络(bidirectional RNN)。
理论上RNN能够利用任意长序列的信息,但是实际中它能记忆的长度是有限的,经过一定的时间后将导致梯度爆炸或者梯度消失(如上节),即长期依赖(long-term dependencies)问题。一般的,使用传统RNN常需要对序列限定个最大长度、设定梯度截断以及引导信息流的正则化,或者使用门控RNN 如GRU、LSTM 以改善长期依赖问题。
三、 RNN预测股票
本项目通过创建单层隐藏层的RNN模型,输入前60个交易日(时间步)股票开盘价的时间序列数据,预测下一个(60+1)交易日的股票开盘价。

导入股票数据,选取股票开盘价的时间序列数据
import numpy as np
import matplotlib.pyplot as plt
import pandas as pd#(本公众号阅读原文访问数据集及源码)
dataset_train = pd.read_csv('./data/NSE-TATAGLOBAL.csv')
dataset_train = dataset_train.sort_values(by='Date').reset_index(drop=True)
training_set = dataset_train.iloc[:, 1:2].values
print(dataset_train.shape)
dataset_train.head()对训练数据进行归一化,加速网络训练收敛。

# 训练数据max-min归一化
from sklearn.preprocessing import MinMaxScaler
sc = MinMaxScaler(feature_range = (0, 1))
training_set_scaled = sc.fit_transform(training_set)将数据整理为样本及标签:60 timesteps and 1 output
# 每条样本含60个时间步,对应下一时间步的标签值
X_train = []
y_train = []
for i in range(60, 2035):X_train.append(training_set_scaled[i-60:i, 0])y_train.append(training_set_scaled[i, 0])
X_train, y_train = np.array(X_train), np.array(y_train)print(X_train.shape)
print(y_train.shape)# Reshaping
X_train = np.reshape(X_train, (X_train.shape[0], X_train.shape[1], 1))
print(X_train.shape)利用kera创建单隐藏层的RNN模型,并设定模型优化算法adam, 目标函数均方根MSE

# 利用Keras创建RNN模型from keras.models import Sequential
from keras.layers import Dense
from keras.layers import SimpleRNN,LSTM
from keras.layers import Dropout# 初始化顺序模型
regressor = Sequential()# 定义输入层及带5个神经元的隐藏层
regressor.add(SimpleRNN(units = 5, input_shape = (X_train.shape[1], 1)))# 定义线性的输出层
regressor.add(Dense(units = 1))# 模型编译:定义优化算法adam, 目标函数均方根MSE
regressor.compile(optimizer = 'adam', loss = 'mean_squared_error')# 模型训练
history = regressor.fit(X_train, y_train, epochs = 100, batch_size = 100, validation_split=0.1)regressor.summary()展示模型拟合的情况:训练集、验证集均有较低的loss

plt.plot(history.history['loss'],c='blue') # 蓝色线训练集损失
plt.plot(history.history['val_loss'],c='red') # 红色线验证集损失
plt.show()评估模型:以新的时间段的股票交易系列数据作为测试集,评估模型测试集的表现。
# 测试数据
dataset_test = pd.read_csv('./data/tatatest.csv')
dataset_test = dataset_test.sort_values(by='Date').reset_index(drop=True)real_stock_price = dataset_test.iloc[:, 1:2].valuesdataset_total = pd.concat((dataset_train['Open'], dataset_test['Open']), axis = 0)
inputs = dataset_total[len(dataset_total) - len(dataset_test) - 60:].values
inputs = inputs.reshape(-1,1)
inputs = sc.transform(inputs)# 提取测试集
X_test = []
for i in range(60, 76):X_test.append(inputs[i-60:i, 0])
X_test = np.array(X_test)
X_test = np.reshape(X_test, (X_test.shape[0], X_test.shape[1], 1))# 模型预测
predicted_stock_price = regressor.predict(X_test)
# 逆归一化
predicted_stock_price = sc.inverse_transform(predicted_stock_price)
# 模型评估
print('预测与实际差异MSE',sum(pow((predicted_stock_price - real_stock_price),2))/predicted_stock_price.shape[0])
print('预测与实际差异MAE',sum(abs(predicted_stock_price - real_stock_price))/predicted_stock_price.shape[0])通过测试集评估,预测与实际差异MSE:53.03141531,预测与实际差异MAE :5.82196445。可视化预测值与实际值的差异情况,整体比较一致(注:本文仅从数据规律维度预测股价,仅供参考不构成任何投资建议,亏光了别找我
)。

# 预测与实际差异的可视化
plt.plot(real_stock_price, color = 'red', label = 'Real TATA Stock Price')
plt.plot(predicted_stock_price, color = 'blue', label = 'Predicted TAT Stock Price')
plt.title('TATA Stock Price Prediction')
plt.xlabel('samples')
plt.ylabel('TATA Stock Price')
plt.legend()
plt.show()

往
期
回
顾
福利
小白入门机器学习的三个问题
资讯
Twitter禁止未经用户同意分享照片和视频
资讯
全球首个活体机器人,能生娃
技术
Python实现人脸监测制作摸鱼神器

分享

点收藏

点点赞

点在看
相关文章:

symfony2 Process 组件的学习笔记
2019独角兽企业重金招聘Python工程师标准>>> 安装 composer require "symfony/process:2.7.1" ##描述 process组件是可以开启一个子进程 去执行一个命令 ##例子 use Symfony\Component\Process\Process; $process new Process(ls -lsa); $process->ru…

C++模式学习------策略模式
当遇到同一个对象有不同的行为,方法,为管理这些方法可使用策略模式。 策略模式就是对算法进行包装,是把使用算法的责任和算法本身分割开来。通常把一个系列的算法包装到一系列的策略类里面,这些类继承一个抽象的策略类。使用这些算…

自动生成Makefile的全过程详解
automake/autoconf入门作为Linux下的程序开发人员,大家一定都遇到过Makefile,用make命令来编译自己写的程序确实是很方便。一般情况下,大家都是手工写一个简单Makefile,如果要想写出一个符合自由软件惯例的Makefile就不那么容易了…

Meta 开移动端 AI 生成神器 PyTorch Live,打造人工智能驱动的移动体验
整理 | 禾木木 出品 | AI科技大本营(ID:rgznai100) 近日,PyTorch 开发者大会如期召开。在会上,Meta 发布了PyTorch Live,这是一套可以为移动端用户提供人工智能体验的工具。PyTorch Live 支持单一的编程语言JavaScript…

在NewLisp中实现匿名函数的递归
2019独角兽企业重金招聘Python工程师标准>>> 匿名函数在很多语言中的表现形式大概如下: (lambda (n)(* ( n 1) (- n 1))) 只有参数列表和函数体,而没有名字。在大部分情况下没问题,但是一旦需要用到递归的话,就有点麻烦…

C# Obsolete(已弃用方法属性)
class Realization : Interface{/// <summary>/// 已弃用的方法,Obsolete第二个参数设置为true,调用此方法会产生警告并引起编译器报错/// </summary>/// <param name"skey">参数</param>/// <returns></returns>[Ob…

如何训练2457亿参数量的中文巨量模型“源1.0”
如何训练2457亿参数量的中文巨量模型“源1.0” 浪潮人工智能研究院 从2018年的BERT到2020年的GPT-3,NLP语言模型经历了爆发式的发展过程,其中BERT模型的参数量为3.4亿,而GPT-3的模型参数量达到了1750亿。2021年9月,浪潮人工智能…

Linux驱动程序编写
工作需要写了我们公司一块网卡的Linux驱动程序。经历一个从无到有的过程,深感技术交流的重要。Linux作为挑战微 软垄断的强有力武器,日益受到大家的喜爱。真希望她能在中国迅速成长。把程序文档贴出来,希望和大家探讨Linux技术和应用…

PHP+socket+SMTP、POP3协议发送、接收邮件
1、实现SMTP协议的类dsmtp.cls.php:<?php//通过socket实现SMTP协议的功能//version: 1.1//author : DCC//create : 2014-01-17 23:38:24//modify : 2014-01-18 16:59:04//more : http://www.thinkful.cn/archives/389.htmlclass Dmail_smtp{var $socket;var $…

JavaScript学习记录 (三) 函数和对象
1.函数使用 function 关键字来声明函数函数的命名规则和变量一样JS没有函数签名,所以没有函数重载JS函数中的所有参数都是值传递;不能通过引用传递// 定义函数 function test(arg) {return arg 10; } // 定义一个同名函数 function test(arg, arg1) {re…

基于jQuery图片自适应排列显示代码
基于jQuery图片自适应排列显示代码。这是一款基于jquery.flex-images插件实现的类似谷歌图片流效果。效果图如下: 在线预览 源码下载 实现的代码。 html代码: <div style"max-width:900px;margin:auto;padding:0 10px"><h3>演示…

计算机史最疯狂一幕:豪赌50亿美元,“蓝色巨人”奋身一跃
作者 | OneFlow社区来源 | OneFlow社区“Go big or go home. ”是美国人的一句习语,经常会在赛场上听到,NBA球迷应该很熟悉,翻译过来就是“要不变强大,要不滚回家”。在1960年初期的计算机行业,IBM正站在这样一个十字路…

CentOS Linux内核升级全过程
首先说明,下面带#号的行都是要输入的命令行,且本文提到的所有命令行都在终端里输入。接下来,让我们一起开始精彩的Linux内核升级之旅吧!一、准备工作启动Linux系统,并用根用户登录,进入终端模式下。1、查看…

Windows程序设计------字体不等宽引出的问题及其细节知识
在写Windows程序设计的Typer程序时,我并不是在每一个使用HDC的地方都重新创建选中字体,而是在一开始选中之后,就没有再删除它,代码如图: 结果我的字体不是等宽字体! 起先我以为是没有设置WM_INPUTLANGCHANG…

看闯关东原来知道古代已经十六进制了
闯关东第四集中夏掌柜说黄县口诀什么意思 1625 2125 31875 425 53125 6375 74375 85 95625 1625 116875 1275 138125 14875 159375 161 这个问题实际上是过去商品流通中的一种算法。过去的衡器十六两为一斤,也就是十六进制。为了计算方便,先人便选用了这…

手机客户端和web端开发的异同
2019独角兽企业重金招聘Python工程师标准>>> 版本升级。用户角度上看,客户端升级必须让用户手动下载整个新的安装包覆盖安装,而web的升级无需用户做任何事情。开发角度上看,如果客户端有个小bug需要紧急修复,需要修复完…

AI 监视打工人,这个国家明确说:保护我方“摸鱼权”!
撰文 | 刘芳来源 | 学术头条近日,国美控股集团对员工“摸鱼” 的处罚引起了关于职场中隐私权的巨大争议。事实上,这一事件并非个例。如今人工智能(AI)算法在职场中的使用,已经涉及到包含隐私权在内的诸多问题。随着…
Hibernate复习之Hibernate基本介绍
众所周知。眼下流行的面向对象的对象关系映射的Java持久层框架有MyBatis和Hibernate。他们都是对象关系映射ORM。 解决的主要问题就是对象-关系的映射。域模型和关系模型都分别建立在概念模型的基础上。域模型是面向对象的,关系模型是面向关系的,普通情况…
Linux常用命令手册
核心: cat定位,sed时间搜索,grep关键字查询,tail行数,|管道结合 最前N行 这个主要看文件最开始是什么时候记录了什么 #head -1 XXX.log 最后N行 #cat XXX.log | tail -n 10 时间区间搜索 #sed -n /2010-05-20…

程序员敲诈老板,或面临 37 年监禁
作者 | 祝涛 出品 | CSDN(ID:CSDNnews)12月1日,网络设备制造商优比快(Ubiquiti)的前雇员尼古拉斯夏普(nicholas Sharp)被捕,他被控窃取数据,并试图…

使用modernizr.js检测浏览器对html5以及css3的支持情况
使用modernizr.js检测浏览器对html5和css3的支持情况 详情请看主页:modernizr主页 1. modernizr 是什么? modernize 是一个js库————一个用于检测当前浏览器对html5&css3 的支持情况,其中包括对 css3 的 font-face、border-radius、…

SharePoint运行状况分析器有关磁盘空间不足的警告
对于负责管理SharePoint内部部署安装的SharePoint管理员,SharePoint Health Analyzer是一款出色的工具。此功能不仅有助于解决服务器故障和服务失败的问题,还提供了有关如何解决问题的提示。总的来说,我觉得这个功能非常有帮助。但是…

百度PHP高级顾问惠新宸:PHP在百度的发展历程
惠新宸,百度PHP高级顾问,年二十有八,好追根究底,有不良嗜好, 幸性本善。乙酉年识互联网,丁亥年入雅虎,翌年入百度。虽性好安稳,然经变无数,唯常叹"人生,菠菜汤尔"。大家好…

Python 远程连接服务器用它就够了
作者 | 费弗里来源 | Python大数据分析❝本文示例代码及文件已上传至我的Github仓库https://github.com/CNFeffery/DataScienceStudyNotes❞1 简介日常工作中经常需要通过SSH连接到多台远程服务器来完成各种任务,当需要操作的服务器众多,且要执行的任务涉…

如何在centos安装python-mysql
在python中使用mysql,需要安装mysql-python依赖包,可以通过pip来安装:pip install MySQL-python如果发生错误,需要先安装一个开发包:yum install python-devel如果还是报错,运行:yum install my…

DNS 到底怎么工作的? (How does dns work?)
其实这个问题每次看的时候都觉得很明白,但是很久之后就忘记了,所以这次准备记录下来。深入到这个过程的各个细节之中,以后多看看。 Step 1 请求缓存信息: 当你在开始访问一个 www.baidu.com 开始,第一件事情就是去访问…

#pragma pack(n) 的作用
在C语言中,结构是一种复合数据类型,其构成元素既可以是基本数据类型(如int、long、float等)的变量,也可以是一些复合数据类型(如数组、结构、联合等)的数据单元。在结构中,编译器为结…

LoadRunner设置检查点的几种方法介绍
LoadRunner设置检查点的几种方法介绍 发布时间: 2011-5-03 11:53 作者: 一米阳光做测试 来源: 51Testing软件测试网采编 字体: 小 中 大 | 上一篇 下一篇 | 打印 | 我要投稿 3、将脚本切换回代码界面, 在光标闪烁的上行,添加如下的代码&…

Python 爬虫利器 Selenium 从入门到进阶
作者 | 俊欣来源 | 关于数据分析与可视化今天小编就来讲讲selenium,我们大致会讲这些内容selenium简介与安装页面元素的定位浏览器的控制鼠标的控制键盘的控制设置元素的等待获取cookies调用JavaScriptselenium进阶selenium的简介与安装selenium是最广泛使用的开源W…

获取下个月的今天
/* 获取下个月的今天如果 $date 2018-1-31 二月没有31号 则获取二月份的最后一天 返回值为2018-2-28如果 $date 2018-1-15 返回值为2018-2-15 -- psw-- */function getNextMonthDays($date){$firstday date(Y-m-01, strtotime($date));$lastday strtotime("$firstday …