对数函数定义域和值域_呆哥数学每日一题 —— 复合函数值域

如果想要获取往期每日一题电子版,可以加我微信:daigemath366,备注:知乎 每日一题

呆哥解析:这是一个函数和复合函数的综合问题
首先我们先把原函数的值域求出来
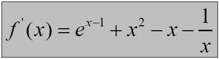
先直接求导:

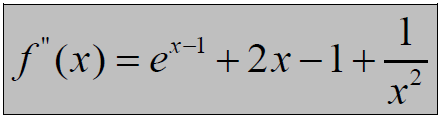
导数不容易判断单调性,我们再继续求导:

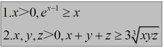
二阶导函数我们就没必要再导下去了,这里是可以放缩的。我们先来回顾一下常用的两个放缩:

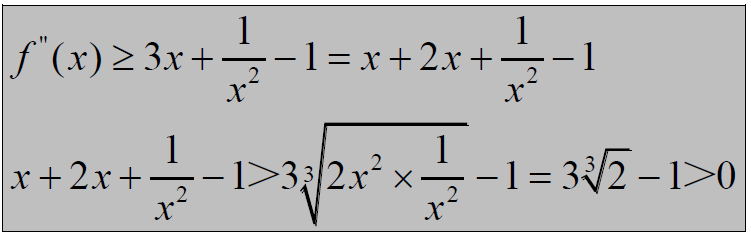
我们就对二阶导函数采取放缩,判断它的正负:

为什么这样放缩呢?
这里我们来讲一下两个原则:
1.指对不能留。也就是说,要放缩,必须优先考虑放掉指数函数和对数函数!
2.对勾用均值。也就是说,出现了一个函数加另一个函数的倒数这种组合,我们优先考虑用均值不等式放缩掉它。这样放缩的提醒一般是:含有对数函数,这样定义域就大于0
回到正题,放缩完后,我们发现,二阶导函数是恒正的!
这样就可以判断导函数是递增的了
接下来就需要观察了,:1为导函数零点,这个就没有什么技巧了,纯粹看自己平时眼力的锻炼!所以把1代回原函数得到最小值:

那么值域相同是什么意思呢?这里为大家剖析下它的意思:
1.原函数在小于1的时候递减,在大于1的时候递增,这个是已知的条件,说明原函数有极小值
2.那么我们就知道,复合函数必须要有极小值,且和原函数相同,并且还要没有最大值,也就是说上限是无穷大,这样才可以保证值域相同
3.复合函数的极小值点可以不和原函数相同
那么这句话的意思翻译过来就是:
f(x)=1有解!
为什么呢?因为极小值点是1,如果有解的话,
f(f(x))就是可以分段的了,分段了才能出现极小值!
这个是复合函数出现极值的重要前提
举个例子,比如下面这个图像:

这时候,我们可以发现:

而复合函数在有极值情况下,极值大小是不会变的,改变的只是:极小值点
所以答案就出来了:a>=-1/6
如果想要获取往期每日一题电子版,可以加我微信:daigemath366,备注:知乎 每日一题
明日预告:


相关文章:

一些常用工具地址,随时更新中~
2019独角兽企业重金招聘Python工程师标准>>> 一些常用工具地址的备份: 一款比较全的先到化界面编辑器Neditor:https://gitee.com/notadd/neditor 前端ui组件库,类似element ui。iView:https://www.iviewui.com &#…

UNIX环境编程
linux函数分析查询工具1.优先推荐linux 中man命令2.一个不错的中文Linux手册:http://cpp.ezbty.org/manpage3.在线查英文Man手册:http://www.kernel.org/doc/man-pages/http://man7.org/linux/man-pages/dir_all_alphabetic.htmlhttp://linux.about.com/…

WCF优化的几个常规思路
前几天用WCF做项目时发现了一个效率问题,由于系统对效率要求较高,困扰了很长时间终于将问题解决了,写下来为以后的兄弟们参考,第一次写博客有不准确的地方还望同行们多喷多指点,先行谢过啦... 问题场景是这样的&#x…

使复选框选中_勾选复选框单元格变色,自动计数,在Excel中是如何实现的?
Excel中,我们经常会使用复选框来打勾打叉,这是复选框最基本的功能,相信很多小伙伴都会,但今天我跟大家分享的是复选框的其他操作技巧,勾选复选框变色,统计人数。下图中,我们要利用复选框是否打钩…
[短文速读] 重载有暗坑,JVM是如何执行方法的
前言 这将是一个系列文章。原因是自己写了很多文章,也看了很多文章。从最开始的仅仅充当学习笔记,到现在认认真真去写文章去分享。中间发现了很多事情,其中最大发现是:收藏不看!总是想着先收藏以后有时间再看ÿ…

一笔画问题【数据结构-图论】
回家路上听到2个人在说:田字怎么一笔写成,并且笔划不重复。 田 我回家想了许久,觉得无论如何走正常的途径肯定是不行的,投机取巧脑筋急转弯的我不讨论。 那么是否可以找到数学定理? 其实就是欧拉七桥问题:1…

解析并符号 读取dll_Spring IOC容器之XmlBeanFactory启动流程分析和源码解析
一. 前言Spring容器主要分为两类BeanFactory和ApplicationContext,后者是基于前者的功能扩展,也就是一个基础容器和一个高级容器的区别。本篇就以BeanFactory基础容器接口的默认实现类XmlBeanFactory启动流程分析来入门Spring源码的学习。二. 概念要点1. 概念定义Be…

安装多个gcc
删除gcc #yum remove gcc 安装最新的 #yum install gcc 查找gcc源 可先通过“yum list compat-gcc*”查看版本,然后再利用“yum install compat-gccXXX”安装 #yum list compat-gcc* #sudo yum install compat-gcc-34.i686 查看gcc版本 #gcc -v #gcc34 -v参考&…

JAVA - HashMap和HashTable
1. HashMap 1) hashmap的数据结构 Hashmap本质就是一个数组,只是当key值重复时,使用链表的方式来存储重复的key值(拉链法),注意:链表中存放的仍然是key值。如下图示: 当我们往hashmap中put元素…

empress和queen区别_queen与empress
(1)「queen」和「empress」不仅可以用来指称「king」和「emperor」的妻子,也能指代握有正式权力的女性君主。(2) 英国的君主(queen或king)之所以曾经有过empress或emperor的头衔,是因为英国曾统治过印度次大陆, 他们曾是印度的empress或emperor。如今&am…

在UIWindow上加类似于“回到顶部”的按钮
在公司上个版本的开发中遇到了一个UI布局的小问题: 某个页面需要增加一个分享按钮,但是该页面是二级页面,导航栏右边也已经放置了2个button。 起初和老大谈论这个问题的时候想到的方法是导航栏右边加三个button得了~但是一回想,这…

修改mysql 默认字符集 , 默认引擎
cd /var/lib/mysql/gamell vim db.optdefault-character-setutf8default-collationutf8_general_ciwq service mysqld restart或者service mysqld reload默认字符集修改完毕vim /etc/my.cnf[mysqld]datadir/var/lib/mysqlsocket/var/lib/mysql/mysql.sockusermysqldefault-stor…

bzoj2724: [Violet 6]蒲公英(分块)
传送门 md调了一个晚上最后发现竟然是空间开小了……明明算出来够的…… 讲真其实我以前不太瞧得起分块,觉得这种基于暴力的数据结构一点美感都没有。然而今天做了这道分块的题才发现分块的暴力之美(如果我空间没有开小就更美了) 我们先将整个…

Linux0.01内核根目录Makefile注释
# # Makefile for linux. # If you dont have -mstring-insns in your gcc (and nobody but me has :-) # remove them from the CFLAGS defines. ## #8086汇编编译器和连接器. -0生成8086目标程序;-a生成与gas和gld部分兼容的代码 # AS86 as -0 -a CC86 cc -0 LD86 ld -0# #G…

快速滚动_方老师教滚动快速作文
五年级第一单元作文集阴沉天空中有一小束照着你的阳光。亲爱的孩子,让时间在知识的枝条上、智慧的绿叶上、成熟的果实上留下它勤奋的印痕!罗婉汀作文集自律且努力,别让生活太安逸。亲爱的孩子,耕耘者最信得过自己的汗水࿰…

liunx复制备份命令,copy命令,liunx命令
2019独角兽企业重金招聘Python工程师标准>>> 拷贝到的文件夹 /usr/local/文件夹/需要拷贝的路径文件夹 /usr/local/tomcat/webapps/文件夹/复制命令cp -r /usr/local/文件夹/ /usr/local/tomcat/webapps/文件夹/ 转载于:https://my.oschina.net/u/2336787/blog/635…

20.Valid Parentheses (python)
这道题主要用栈来实现的。什么是栈呢,参照书上的后缀表达式的例子谈谈自己的理解,栈最明显的特征是先进后出。所以可以有效的结合题目中 ()对匹配问题,可以把从列表中获取的符号先存到栈中。 首先建个空列表用于映射栈…

The HipHop Virtual Machine
目前Facebook已将该HipHop虚拟机开源,源代码发布在GitHub上。关于该工具的技术原理在Facebook的开发者页面上有一篇详细的文章介绍,查看这里。如果看不到的可以看下面的转载:Were always looking for ways to make our computing infrastruct…

node建立博客系统遇到的问题,1,乱码。2,multer的使用错误。3使用session问题...
2019独角兽企业重金招聘Python工程师标准>>> 1,乱码 文件存储为utf-8格式后还是报错。 原来这个设置只对新建文件编码有效,旧文件不处理的,我还以为旧文件也给转换了。 2,上传文件的multer模块使用错误。 throw new Ty…

python时间函数入门_calendar在python3时间中有哪些常用函数?怎么用?
想要在python中写代码游刃有余,没有函数的支持是万万不行的。很多小伙伴反映,最近函数的应用知识不够了,所以小编挑选了python3时间中的函数,希望可以帮助大家在处理日历方面更加的迅速。其他更多的函数,大家也可以自行…

9.spark core之共享变量
简介 spark执行操作时,可以使用驱动器程序Driver中定义的变量,但有时这种默认的使用方式却并不理想。 集群中运行的每个任务都会连接驱动器获取变量。如果获取的变量比较大,执行效率会非常低下。每个任务都会得到这些变量的一份新的副本&…

【CSDN2012年度博客之星】需要您的一票,感谢大家的支持
从2004年9月,本人一直将自己工作和学习经验写成博文分享给大家,本人有幸被选为2012年88位候选博客之星,如果各位IT‘er喜欢我的博文,请投我一票,做…

双绞线和同轴电缆
线缆作为连接器件,相当于不同系统之间沟通的“桥梁”,选择线缆类型的好坏,也决定着传输信号的质量,影响着整个系统的稳定性。 (1)特性阻抗 先说一下关于线缆在传输过程中的特性阻抗问题。 特性阻抗是指电缆…

keras训练完以后怎么预测_使用Keras建立Wide Deep神经网络,通过描述预测葡萄酒价格...
你能通过“优雅的单宁香”、“成熟的黑醋栗香气”或“浓郁的酒香”这样的描述,预测葡萄酒的价格吗?事实证明,机器学习模型可以。在这篇文章中,我将解释我是如何利用Keras(tf.keras)建立一个Wide & Deep神经网络,并…
如何发布自己的NPM包(模块)?
1.注册NPM 账号 注册地址:https://www.npmjs.com/。 2.初始化自己要发布的项目 搭建本地环境:安装node.js,包含了npm命令。新建目录,在该目录下,初始化项目:npm init。按照提示填写初始化信息,我…

PHP对于浮点型的数据需要用不同的方法去解决
Php: BCMathbc是Binary Calculator的缩写。bc*函数的参数都是操作数加上一个可选的 [int scale],比如string bcadd(string $left_operand, string $right_operand[, int $scale]),如果scale没有提供,就用bcscale的缺省值。这里大数直接用一个…

mysql提示符详解_MySQL字符集使用详解
查看字符集相关变量mysql> show variables like character%;————————–——————————-| Variable_name | Value |————————–——————————-| character_set_client | latin1 || character_set_connection | latin1 || character_set_database…

Apache漏洞修复
今天受同事的委托,修复一台服务器的Apache漏洞,主要集中在以下几点: 1.Apache httpd remote denial of service(中危) 修复建议:将Apache HTTP Sever升级到2.2.20或更高版本。 解决方法:升级HTT…

Java遍历Map对象的四种方式
关于java中遍历map具体哪四种方式,请看下文详解吧。 方式一 这是最常见的并且在大多数情况下也是最可取的遍历方式。在键值都需要时使用。 1 2 3 4 Map<Integer, Integer> map new HashMap<Integer, Integer>(); for (Map.Entry<Integer, Intege…

Tokyo Cabinet 安装
tokyocabinet :一个key-value的DBM数据库,但是没有提供网络接口,以下称TC。 tokyotyrant :是为TC写的网络接口,他支持memcache协议,也可以通过HTTP操作,以下称TT。 Tokyo Cabinet 是一款 DBM 数据库,Tokyo …