OpenCV 【十七】离散傅立叶变换
目录
1 key
2 原理
3 实例
3代码
4运行结果
5应用举例
1 key
什么是傅立叶变换及其应用?
如何使用OpenCV提供的傅立叶变换?
相关函数的使用,如: copyMakeBorder(), merge(), dft(), getOptimalDFTSize(), log() 和 normalize() .
简单点说就是:所有的波都可以用很多个正弦波叠加表示。
然而这些波又可以通过频率、幅值和相位来表示。这样你就可以从左边那张图中时域的视角转化为咱们高大上的频域视角啦。


图引用!!!
2 原理
对一张图像使用傅立叶变换就是将它分解成正弦和余弦两部分。也就是将图像从空间域(spatial domain)转换到频域(frequency domain)。
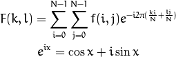
这一转换的理论基础来自于以下事实:任一函数都可以表示成无数个正弦和余弦函数的和的形式。傅立叶变换就是一个用来将函数分解的工具。 2维图像的傅立叶变换可以用以下数学公式表达:

式中 f 是空间域(spatial domain)值, F 则是频域(frequency domain)值。 转换之后的频域值是复数, 因此,显示傅立叶变换之后的结果需要使用实数图像(real image) 加虚数图像(complex image), 或者幅度图像(magitude image)加相位图像(phase image)。 在实际的图像处理过程中,仅仅使用了幅度图像,因为幅度图像包含了原图像的几乎所有我们需要的几何信息。 然而,如果你想通过修改幅度图像或者相位图像的方法来间接修改原空间图像,你需要使用逆傅立叶变换得到修改后的空间图像,这样你就必须同时保留幅度图像和相位图像了。
3 实例
在此展示如何计算以及显示傅立叶变换后的幅度图像。由于数字图像的离散性,像素值的取值范围也是有限的。比如在一张灰度图像中,像素灰度值一般在0到255之间。 因此,我们这里讨论的也仅仅是离散傅立叶变换(DFT)。 如果你需要得到图像中的几何结构信息,那你就要用到它了。请参考以下步骤(假设输入图像为单通道的灰度图像 I):
将图像延扩到最佳尺寸. 离散傅立叶变换的运行速度与图片的尺寸息息相关。当图像的尺寸是2, 3,5的整数倍时,计算速度最快。 因此,为了达到快速计算的目的,经常通过添凑新的边缘像素的方法获取最佳图像尺寸。函数 getOptimalDFTSize() 返回最佳尺寸,而函数 copyMakeBorder() 填充边缘像素 ,添加的像素初始化为0.
Mat padded; //将输入图像延扩到最佳的尺寸 int m = getOptimalDFTSize( I.rows ); int n = getOptimalDFTSize( I.cols ); // 在边缘添加0 copyMakeBorder(I, padded, 0, m - I.rows, 0, n - I.cols, BORDER_CONSTANT, Scalar::all(0));为傅立叶变换的结果(实部和虚部)分配存储空间. 傅立叶变换的结果是复数,这就是说对于每个原图像值,结果是两个图像值。 此外,频域值范围远远超过空间值范围, 因此至少要将频域储存在 float 格式中。 结果我们将输入图像转换成浮点类型,并多加一个额外通道来储存复数部分:
Mat planes[] = {Mat_<float>(padded), Mat::zeros(padded.size(), CV_32F)}; Mat complexI; merge(planes, 2, complexI); // 为延扩后的图像增添一个初始化为0的通道进行离散傅立叶变换. 支持图像原地计算 (输入输出为同一图像):
dft(complexI, complexI); // 变换结果很好的保存在原始矩阵中将复数转换为幅度*.复数包含实数部分(Re*)和复数部分 (imaginary - Im)。 离散傅立叶变换的结果是复数,对应的幅度可以表示为:
![M = \sqrt[2]{ {Re(DFT(I))}^2 + {Im(DFT(I))}^2}](https://img-blog.csdnimg.cn/img_convert/09294506691884a53300d2b5eac14c41.png)
split(complexI, planes); // planes[0] = Re(DFT(I), planes[1] = Im(DFT(I)) magnitude(planes[0], planes[1], planes[0]);// planes[0] = magnitude Mat magI = planes[0]; 计算二维矢量的幅值:magnitude()函数 该函数用来计算二维矢量的幅值 void magnitude(InputArray x,InputArray y,OutputArray magnitude) 第一个参数:InputArray类型的x,表示矢量的浮点型X坐标值,也就是实部 第二个参数:InputArray类型的y,表示矢量的浮点型Y坐标值,也就是虚部 第三个参数:OutputArray类型的magnitude,输出的幅值,它和第一个参数X有着同样的尺寸和类型对数尺度(logarithmic scale)缩放. 傅立叶变换的幅度值范围大到不适合在屏幕上显示。高值在屏幕上显示为白点,而低值为黑点,高低值的变化无法有效分辨。为了在屏幕上凸显出高低变化的连续性,我们可以用对数尺度来替换线性尺度:

转化为OpenCV代码:
magI += Scalar::all(1); // 转换到对数尺度 log(magI, magI);剪切和重分布幅度图象限. 还记得我们在第一步时延扩了图像吗? 那现在是时候将新添加的像素剔除了。为了方便显示,我们也可以重新分布幅度图象限位置(注:将第五步得到的幅度图从中间划开得到四张1/4子图像,将每张子图像看成幅度图的一个象限,重新分布即将四个角点重叠到图片中心)。 这样的话原点(0,0)就位移到图像中心。
magI = magI(Rect(0, 0, magI.cols & -2, magI.rows & -2)); int cx = magI.cols/2; int cy = magI.rows/2; Mat q0(magI, Rect(0, 0, cx, cy)); // Top-Left - 为每一个象限创建ROI Mat q1(magI, Rect(cx, 0, cx, cy)); // Top-Right Mat q2(magI, Rect(0, cy, cx, cy)); // Bottom-Left Mat q3(magI, Rect(cx, cy, cx, cy)); // Bottom-Right Mat tmp; // 交换象限 (Top-Left with Bottom-Right) q0.copyTo(tmp); q3.copyTo(q0); tmp.copyTo(q3); q1.copyTo(tmp); // 交换象限 (Top-Right with Bottom-Left) q2.copyTo(q1); tmp.copyTo(q2);
归一化. 这一步的目的仍然是为了显示。 现在我们有了重分布后的幅度图,但是幅度值仍然超过可显示范围[0,1] 。我们使用 normalize() 函数将幅度归一化到可显示范围。normalize(magI, magI, 0, 1, CV_MINMAX); // 将float类型的矩阵转换到可显示图像范围// (float [0, 1]).
3代码
#include "opencv2/core.hpp"
#include "opencv2/imgproc.hpp"
#include "opencv2/imgcodecs.hpp"
#include "opencv2/highgui.hpp"
using namespace cv;
using namespace std;
int main(int argc, char ** argv)
{Mat I = imread("C:\\Users\\guoqi\\Desktop\\\ch7\\4.jpg", IMREAD_GRAYSCALE);if (I.empty()) {cout << "Error opening image" << endl;return EXIT_FAILURE;}
//! [expand]Mat padded; //expand input image to optimal sizeint m = getOptimalDFTSize(I.rows);int n = getOptimalDFTSize(I.cols); // on the border add zero valuescopyMakeBorder(I, padded, 0, m - I.rows, 0, n - I.cols, BORDER_CONSTANT, Scalar::all(0));//! [expand]
//! [complex_and_real]Mat planes[] = { Mat_<float>(padded), Mat::zeros(padded.size(), CV_32F) };Mat complexI;merge(planes, 2, complexI); // Add to the expanded another plane with zeros//! [complex_and_real]
//! [dft]dft(complexI, complexI); // this way the result may fit in the source matrix//! [dft]
// compute the magnitude and switch to logarithmic scale// => log(1 + sqrt(Re(DFT(I))^2 + Im(DFT(I))^2))//! [magnitude]split(complexI, planes); // planes[0] = Re(DFT(I), planes[1] = Im(DFT(I))magnitude(planes[0], planes[1], planes[0]);// planes[0] = magnitudeMat magI = planes[0];//! [magnitude]
//! [log]magI += Scalar::all(1); // switch to logarithmic scalelog(magI, magI);//! [log]
//! [crop_rearrange]// crop the spectrum, if it has an odd number of rows or columnsmagI = magI(Rect(0, 0, magI.cols & -2, magI.rows & -2));
// rearrange the quadrants of Fourier image so that the origin is at the image center//重新排列傅里叶图像的象限,使原点位于图像中心int cx = magI.cols / 2;int cy = magI.rows / 2;
Mat q0(magI, Rect(0, 0, cx, cy)); // Top-Left - Create a ROI per quadrantMat q1(magI, Rect(cx, 0, cx, cy)); // Top-RightMat q2(magI, Rect(0, cy, cx, cy)); // Bottom-LeftMat q3(magI, Rect(cx, cy, cx, cy)); // Bottom-Right
Mat tmp; // swap quadrants (Top-Left with Bottom-Right)q0.copyTo(tmp);q3.copyTo(q0);tmp.copyTo(q3);
q1.copyTo(tmp); // swap quadrant (Top-Right with Bottom-Left)q2.copyTo(q1);tmp.copyTo(q2);//! [crop_rearrange]
//! [normalize]normalize(magI, magI, 0, 1, NORM_MINMAX); // Transform the matrix with float values into a// viewable image form (float between values 0 and 1).//! [normalize]
imshow("Input Image", I); // Show the resultimshow("spectrum magnitude", magI);waitKey();
return EXIT_SUCCESS;
}4运行结果

5应用
离散傅立叶变换的一个应用是决定图片中物体的几何方向.比如,在文字识别中首先要搞清楚文字是不是水平排列的? 看一些文字,你就会注意到文本行一般是水平的而字母则有些垂直分布。文本段的这两个主要方向也是可以从傅立叶变换之后的图像看出来。我们使用这个 水平文本图像 以及 旋转文本图像 来展示离散傅立叶变换的结果 。
水平文本图像:

水平文本图像对应的DFT变换:

旋转文本图像:

旋转文本图像对应的DFT变换:

观察这两张幅度图你会发现频域的主要内容(幅度图中的亮点)是和空间图像中物体的几何方向相关的。 通过这点我们可以计算旋转角度并修正偏差。
6 应用拓展机器含义

这就得出了一个结论:傅里叶变换后的白色部分(即幅度较大的低频部分),表示的是图像中慢变化的特性,或者说是灰度变化缓慢的特性(低频部分)。
傅里叶变换后的黑色部分(即幅度低的高频部分),表示图像中快变化的特性,或者说是灰度变化快的特性(高频部分)。
参考
相关文章:

ubuntu下nginx+php5的部署
ubuntu下nginxphp5环境的部署和centos系统下的部署稍有不同,废话不多说,以下为操作记录:1)nginx安装rootubuntutest01-KVM:~# sudo apt-get update && sudo apt-get upgraderootubuntutest01-KVM:~# sudo apt-get install…

图像质量评价,图片放大和缩小
#include <opencv2/core/core.hpp>#include <opencv2/highgui/highgui.hpp>#include <opencv2/imgproc/imgproc.hpp>#include <iostream>using namespace cv;using namespace std;// PSNR 峰值信噪比计算 返回数值为30-50dB 值越大越好double PSNR(con…

软件开发--深入理解程序的结构
程序由不同的段构成(代码段,数据段)1.程序的静态特征就是指令和数据2.程序的动态特征就是执行指令处理数据 A.段传统上,一个程序一般会有这几个段:.text 、.data、.bss段a.如果处理器由内存管理单元,那么可执行程序被加载到内存以后ÿ…

OpenCV 【十八】图像平滑处理/腐蚀与膨胀(Eroding and Dilating)/开闭运算,形态梯度,顶帽,黑帽运算
图像滤波总结(面试经验总结)https://blog.csdn.net/Darlingqiang/article/details/79507468 目录 part one 图像平滑处理 1原理 2代码 3效果 part two 腐蚀与膨胀(Eroding and Dilating) 1原理 2代码 3运行结果 part three更多形态学变换 1 原…

第九章 大网高级 ASA 高级设置
url 过滤实验要求:1、 创建class-map 类映射,识别传输流量。2、 创建policy-map策略映射,关联class-map。3、 应用到policy-map到接口上。一、 配置接口地址二、 配置路由,网络互通三、 创建特权和vty 密码四、 验证网络互通五、 …

linux基础知识-链接列表
linux基础知识-链接列表 1. 安装centos 7 1.1 Linux的初识1.2 centOS 7安装教程1.3 centOS 7配置ip和网络问题排查1.4 PuTTY和Xshell远程连接与密钥认证登录1.5 单用户和救援模式2. 文件与目录管理 1.6 系统目录结构、文件类型及相关命令1.7 文件目录管理及相关的命令使用方法…

OpenCV 【十九】图像金字塔/基本的阈值操作/实现自己的线性滤波器
目录 1.part one 图像金字塔 1.1原理 1.1.1图像金字塔 1.1.2高斯金字塔 1.2代码 1.3运行结果 2.part two 基本的阈值操作 2.1原理 2.1.1阈值化的类型: 2.1.2阈值类型1:二进制阈值化 2.1.3阈值类型2:反二进制阈值化 2.1.4阈值类型…

Get started with ros -- 1
原创博文:转载请标明出处(周学伟):http://www.cnblogs.com/zxouxuewei/tag/ 一.Introduction: 机器人操作系统(ROS)是使机器人系统的不同部分能够发现,发送和接收数据的通信接口。MA…

利用 createTrackbar 进行二值化
#include "opencv2/imgproc/imgproc.hpp" #include "opencv2/highgui/highgui.hpp" #include <iostream> //createTrackbar的回调响应函数 void onChangeTrackBar (int pos,void* data) {// 强制类型转换cv::Mat srcImage *(cv::Mat*)(data); cv:…

ASP.NET Core 2.2中的Endpoint路由
Endpoint路由 在ASP.NET Core 2.2中,新增了一种路由,叫做Endpoint(终结点)路由。本文将以往的路由系统称为传统路由。 本文通过源码的方式介绍传统路由和Endpoint路由部分核心功能和实现方法,具体功能上的差异见官方文…

OpenCV 【二十】给图像添加边界
目录 1原理 2 代码 3 运行结果 1原理 前一节我们学习了图像的卷积操作。一个很自然的问题是如何处理卷积边缘。当卷积点在图像边界时会发生什么,如何处理这个问题? 大多数用到卷积操作的OpenCV函数都是将给定图像拷贝到另一个轻微变大的图像中&#…

Linux账户安全管理--useradd、groupadd、passwd、chown、chmod工具
groupadd-g 设置组id号实例: groupadd tomcatgroupadd -g600 tomcat删除组用groupdelgroupdel tomcatuseradd-c comment 给新用户添加备注 -d home_dir 为主目录指定一个名字(如果不想用登录名作为主目录名的话) -e expire_date 用Y…

Rect 选择感兴趣区域
#include <opencv2/highgui/highgui.hpp> #include <opencv2/imgproc/imgproc.hpp> #include <iostream> // 全局变量源图像 cv::Mat srcImage; // 方法1 利用Rect选择区域(100, 180, 150, 50) void regionExtraction(int xRoi, int yRoi, int widthRoi, int…

paramiko的使用
1 import paramiko2 import sys3 4 5 user "root"6 pwd "123456"7 8 9 10 # 上传文件 11 def sftp_upload_file(server_path, local_path): 12 try: 13 t paramiko.Transport((ip, 22)) 14 t.connect(usernameuser, passwordpwd) …

【C++】多线程与并发【一】
文章目录part 0:多线程简介part 1:多线程构造它用于构造线程对象。参量part 2:多线程析构它破坏线程对象。part 3:多线程operator参量 Parameters返回值Data racespart 4:joinable 它返回线程ive对象是否可连接,则返回true,否则返回false。 表示的是否可…

鼠标按键获取感兴趣区域
#include <opencv2/imgproc/imgproc.hpp> #include <opencv2/highgui/highgui.hpp> #include <iostream> #include <stdio.h> using namespace cv; using namespace std; // 全局变量图像源 cv::Mat srcImage; // 所选矩形区域 cv::Rect roiRect; …

git在不同操作系统下自动替换换行符
2019独角兽企业重金招聘Python工程师标准>>> 一天使用docker创建一个镜像执行报一个错 standard_init_linux.go:175: exec user process caused "no such file or directory"参考资料 http://blog.jobbole.com/46200/ http://neue.v2ex.com/t/309469 git …

关于jsp和eclipse服务器端的相关配置和JS的区别
今天配置了一番eclipse的服务器端,由此重新认识了web技术的皮毛; 话不多说,让我们开始: 一: 首先让我们了解一下js和jsp的技术之间的差别: 1)js:https://zh.wikipedia.org/wiki/Java…

【C++】多线程与互斥锁【二】
文章目录1. 并发是什么1.1 并发与并行1.2 硬件并发与任务切换1.3 多线程并发与多进程并发2. 为什么使用并发2.1 为什么使用并发2.2 并发和多线程3. 并发需要注意的问题3.1 多线程中的数据竞争实例1:3.2 如何处理数据竞争?实例2:实例3…

用hosting.json配置ASP.NET Core站点的Hosting环境
通常我们在 Prgram.cs 中使用硬编码的方式配置 ASP.NET Core 站点的 Hosting 环境,最常用的就是 .UseUrls() 。 public class Program {public static void Main(string[] args){var host new WebHostBuilder().UseUrls("http://*:5000").UseKestrel().U…

鼠标按键获取感兴趣区域 2
#include <opencv2/imgproc/imgproc.hpp> #include <opencv2/highgui/highgui.hpp> #include <iostream> #include <stdio.h> using namespace cv; using namespace std; // 全局变量图像源 cv::Mat srcImage; // 所选矩形区域 cv::Rect roiRect; …

偷看日历?9款 APP 涉嫌过度获取权限
最近网友已经看累了APP搞事的瓜,3月29日,“9款 APP 涉嫌过度获取权限”又上了热搜。 不久前上海消保委针对网购平台、旅游出行、生活服务等39款手机APP进行了涉及个人信息权限的评测,主要包括四个方面:App所使用的目标API级别、A…

【C++】多线程与条件变量【三】
文章目录1 条件变量是什么?实例1:2 条件变量本质?3 引入条件变量的原因?实例2:实例3:实例4:4 如何使用条件变量?4.1 std::condition_variable实例5:4.2 std::condition_v…

图像遍历反色处理,遍历多通道图片
#include <opencv2/core/core.hpp> #include <opencv2/highgui/highgui.hpp> #include <iostream> using namespace cv; // 下标M.at<float>(i,j) 方法1-1 cv::Mat inverseColor1(cv::Mat srcImage) {cv::Mat tempImage srcImage.clone();int row t…

【Treap】bzoj1588-HNOI2002营业额统计
一、题目 Description 营业额统计 Tiger最近被公司升任为营业部经理,他上任后接受公司交给的第一项任务便是统计并分析公司成立以来的营业情况。 Tiger拿出了公司的账本,账本上记录了公司成立以来每天的营业额。分析营业情况是一项相当复杂的工作。由于节…

推荐一款 Flutter Push 推送功能插件
又到了推荐好插件的时候了。开发 APP 避免不了使用「推送」功能。比如,新上架一个商品,或者最新的一条体育新闻,实时推送给用户。 比较了几家推送平台,貌似「极光」出了 Flutter 插件,所以就拿它试试手,顺便…

【C++】多线程与异步编程【四】
文章目录【C】多线程与异步编程【四】0.三问1.什么是异步编程?1.1同步与异步1.2 **阻塞与非阻塞**2、如何使用异步编程2.1 使用全局变量与条件变量传递结果实例1:2.2 使用promise与future传递结果实例2实例32.3使用packaged_task与future传递结果实例42.…

[LintCode] Maximum Subarray 最大子数组
Given an array of integers, find a contiguous subarray which has the largest sum. Notice The subarray should contain at least one number. Have you met this question in a real interview? YesExample Given the array [−2,2,−3,4,−1,2,1,−5,3], the contiguo…

图像补运算:反色处理
cv::Mat inverseColor1(cv::Mat srcImage) {cv::Mat tempImage srcImage.clone();int row tempImage.rows;int col tempImage.cols;// 对各个像素点遍历进行取反for (int i 0; i < row; i){for (int j 0; j < col; j){// 分别对各个通道进行反色处理tempImage.at<…

2018-2019-2 网络对抗技术 20165239Exp3 免杀原理与实践
2018-2019-2 网络对抗技术 20165239 Exp3 免杀原理与实践 win10 ip地址 192.168.18.1 fenix ip地址为 192.168.18.128 (1)杀软是如何检测出恶意代码的? •根据计算机病毒课程知道了每个病毒都有其对应的特征码,杀软是根据这些特征…
