OpenCV 【十九】图像金字塔/基本的阈值操作/实现自己的线性滤波器
目录
1.part one 图像金字塔
1.1原理
1.1.1图像金字塔
1.1.2高斯金字塔
1.2代码
1.3运行结果
2.part two 基本的阈值操作¶
2.1原理
2.1.1阈值化的类型:
2.1.2阈值类型1:二进制阈值化
2.1.3阈值类型2:反二进制阈值化
2.1.4阈值类型3:截断阈值化
2.1.5阈值类型4:阈值化为0
2.1.6阈值类型5:反阈值化为0
2.2代码
2.3运行结果
3.part three 实现自己的线性滤波器
3.1原理
3.1.1卷积
3.1.2核是什么?
3.1.3如何用核实现卷积?
3.2代码
3.3运行结果
1.part one 图像金字塔
1.1原理
当我们需要将图像转换到另一个尺寸的时候, 有两种可能:
放大 图像 或者
缩小 图像。
尽管OpenCV 几何变换 部分提供了一个真正意义上的图像缩放函数(resize, 在以后的教程中会学到),不过在本篇我们首先学习一下使用 图像金字塔 来做图像缩放, 图像金字塔是视觉运用中广泛采用的一项技术。
1.1.1图像金字塔
一个图像金字塔是一系列图像的集合 - 所有图像来源于同一张原始图像 - 通过梯次向下采样获得,直到达到某个终止条件才停止采样。
有两种类型的图像金字塔常常出现在文献和应用中:
高斯金字塔(Gaussian pyramid): 用来向下采样
拉普拉斯金字塔(Laplacian pyramid): 用来从金字塔低层图像重建上层未采样图像
1.1.2高斯金字塔
想想金字塔为一层一层的图像,层级越高,图像越小。
每一层都按从下到上的次序编号, 层级
(表示为
尺寸小于层级
(
))。为了获取层级为
的金字塔图像,我们采用如下方法:将
与高斯内核卷积:
将所有偶数行和列去除。
显而易见,结果图像只有原图的四分之一。通过对输入图像
(原始图像) 不停迭代以上步骤就会得到整个金字塔。以上过程描述了对图像的向下采样,如果将图像变大呢?:
首先,将图像在每个方向扩大为原来的两倍,新增的行和列以0填充(
)使用先前同样的内核(乘以4)与放大后的图像卷积,获得 “新增像素” 的近似值。
这两个步骤(向下和向上采样) 分别通过OpenCV函数 pyrUp 和 pyrDown 实现, 我们将会在下面的示例中演示如何使用这两个函数。
1.2代码
#include "opencv2/imgproc/imgproc.hpp"
#include "opencv2/highgui/highgui.hpp"
#include <math.h>
#include <stdlib.h>
#include <stdio.h>
using namespace cv;
/// 全局变量
Mat src, dst, tmp;
char* window_name = "Pyramids Demo";
/*** @函数 main*/
int main( int argc, char** argv )
{/// 指示说明printf( "\n Zoom In-Out demo \n " );printf( "------------------ \n" );printf( " * [u] -> Zoom in \n" );printf( " * [d] -> Zoom out \n" );printf( " * [ESC] -> Close program \n \n" );
/// 测试图像 - 尺寸必须能被 2^{n} 整除src = imread( "../images/chicky_512.jpg" );if( !src.data ){ printf(" No data! -- Exiting the program \n");return -1; }
tmp = src;dst = tmp;
/// 创建显示窗口namedWindow( window_name, CV_WINDOW_AUTOSIZE );imshow( window_name, dst );
/// 循环while( true ){int c;c = waitKey(10);
if( (char)c == 27 ){ break; }if( (char)c == 'u' ){ pyrUp( tmp, dst, Size( tmp.cols*2, tmp.rows*2 ) );printf( "** Zoom In: Image x 2 \n" );}else if( (char)c == 'd' ){ pyrDown( tmp, dst, Size( tmp.cols/2, tmp.rows/2 ) );printf( "** Zoom Out: Image / 2 \n" );}
imshow( window_name, dst );tmp = dst;}return 0;
}1.3运行结果
2.part two 基本的阈值操作¶
2.1原理
最简单的图像分割的方法。
应用举例:从一副图像中利用阈值分割出我们需要的物体部分(当然这里的物体可以是一部分或者整体)。这样的图像分割方法是基于图像中物体与背景之间的灰度差异,而且此分割属于像素级的分割。
为了从一副图像中提取出我们需要的部分,应该用图像中的每一个像素点的灰度值与选取的阈值进行比较,并作出相应的判断。(注意:阈值的选取依赖于具体的问题。即:物体在不同的图像中有可能会有不同的灰度值。
一旦找到了需要分割的物体的像素点,我们可以对这些像素点设定一些特定的值来表示。(例如:可以将该物体的像素点的灰度值设定为:‘0’(黑色),其他的像素点的灰度值为:‘255’(白色);当然像素点的灰度值可以任意,但最好设定的两种颜色对比度较强,方便观察结果)。

2.1.1阈值化的类型:
OpenCV中提供了阈值(threshold)函数: threshold 。
这个函数有5种阈值化类型,在接下来的章节中将会具体介绍。
为了解释阈值分割的过程,我们来看一个简单有关像素灰度的图片,该图如下。该图中的蓝色水平线代表着具体的一个阈值。

2.1.2阈值类型1:二进制阈值化
该阈值化类型如下式所示:

解释:在运用该阈值类型的时候,先要选定一个特定的阈值量,比如:125,这样,新的阈值产生规则可以解释为大于125的像素点的灰度值设定为最大值(如8位灰度值最大为255),灰度值小于125的像素点的灰度值设定为0。

2.1.3阈值类型2:反二进制阈值化
该阈值类型如下式所示:

解释:该阈值化与二进制阈值化相似,先选定一个特定的灰度值作为阈值,不过最后的设定值相反。(在8位灰度图中,例如大于阈值的设定为0,而小于该阈值的设定为255)。

2.1.4阈值类型3:截断阈值化
该阈值化类型如下式所示:

解释:同样首先需要选定一个阈值,图像中大于该阈值的像素点被设定为该阈值,小于该阈值的保持不变。(例如:阈值选取为125,那小于125的阈值不改变,大于125的灰度值(230)的像素点就设定为该阈值)。

2.1.5阈值类型4:阈值化为0
该阈值类型如下式所示:

解释:先选定一个阈值,然后对图像做如下处理:1 像素点的灰度值大于该阈值的不进行任何改变;2 像素点的灰度值小于该阈值的,其灰度值全部变为0。

2.1.6阈值类型5:反阈值化为0
该阈值类型如下式所示:

解释:原理类似于0阈值,但是在对图像做处理的时候相反,即:像素点的灰度值小于该阈值的不进行任何改变,而大于该阈值的部分,其灰度值全部变为0。

2.2代码
#include "opencv2/imgproc/imgproc.hpp"
#include "opencv2/highgui/highgui.hpp"
#include <stdlib.h>
#include <stdio.h>
using namespace cv;
/// 全局变量定义及赋值
int threshold_value = 0;
int threshold_type = 3;;
int const max_value = 255;
int const max_type = 4;
int const max_BINARY_value = 255;
Mat src, src_gray, dst;
char* window_name = "Threshold Demo";
char* trackbar_type = "Type: \n 0: Binary \n 1: Binary Inverted \n 2: Truncate \n 3: To Zero \n 4: To Zero Inverted";
char* trackbar_value = "Value";
/// 自定义函数声明
void Threshold_Demo( int, void* );
/*** @主函数*/
int main( int argc, char** argv )
{/// 读取一副图片,不改变图片本身的颜色类型(该读取方式为DOS运行模式)src = imread( argv[1], 1 );
/// 将图片转换成灰度图片cvtColor( src, src_gray, CV_RGB2GRAY );
/// 创建一个窗口显示图片namedWindow( window_name, CV_WINDOW_AUTOSIZE );
/// 创建滑动条来控制阈值createTrackbar( trackbar_type,window_name, &threshold_type,max_type, Threshold_Demo );
createTrackbar( trackbar_value,window_name, &threshold_value,max_value, Threshold_Demo );
/// 初始化自定义的阈值函数Threshold_Demo( 0, 0 );
/// 等待用户按键。如果是ESC健则退出等待过程。while(true){int c;c = waitKey( 20 );if( (char)c == 27 ){ break; }}
}
/*** @自定义的阈值函数*/
void Threshold_Demo( int, void* )
{/* 0: 二进制阈值1: 反二进制阈值2: 截断阈值3: 0阈值4: 反0阈值*/
threshold( src_gray, dst, threshold_value, max_BINARY_value,threshold_type );
imshow( window_name, dst );
}2.3运行结果

3.part three 实现自己的线性滤波器
3.1原理
3.1.1卷积
高度概括地说,卷积是在每一个图像块与某个算子(核)之间进行的运算。
3.1.2核是什么?
核说白了就是一个固定大小的数值数组。该数组带有一个 锚点 ,一般位于数组中央。

3.1.3如何用核实现卷积?
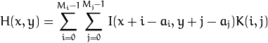
假如你想得到图像的某个特定位置的卷积值,可用下列方法计算:
将核的锚点放在该特定位置的像素上,同时,核内的其他值与该像素邻域的各像素重合;
将核内各值与相应像素值相乘,并将乘积相加;
将所得结果放到与锚点对应的像素上;
对图像所有像素重复上述过程。
用公式表示上述过程如下:

幸运的是,我们不必自己去实现这些运算,OpenCV为我们提供了函数 filter2D 。
3.2代码
载入一幅图像
对图像执行 归一化块滤波器 。举例来说,如果该滤波器核的大小为
,则它会像下面这样:
程序将执行核的大小分别为3、5、7、9、11的滤波器运算。
该滤波器每一种核的输出将在屏幕上显示500毫秒
#include "opencv2/imgproc/imgproc.hpp" #include "opencv2/highgui/highgui.hpp" #include <stdlib.h> #include <stdio.h> using namespace cv; /** @函数main */ int main ( int argc, char** argv ) {/// 声明变量Mat src, dst; Mat kernel;Point anchor;double delta;int ddepth;int kernel_size;char* window_name = "filter2D Demo"; int c; /// 载入图像src = imread( argv[1] ); if( !src.data ){ return -1; } /// 创建窗口namedWindow( window_name, CV_WINDOW_AUTOSIZE ); /// 初始化滤波器参数anchor = Point( -1, -1 );delta = 0;ddepth = -1; /// 循环 - 每隔0.5秒,用一个不同的核来对图像进行滤波int ind = 0;while( true ){c = waitKey(500);/// 按'ESC'可退出程序if( (char)c == 27 ){ break; } /// 更新归一化块滤波器的核大小kernel_size = 3 + 2*( ind%5 );kernel = Mat::ones( kernel_size, kernel_size, CV_32F )/ (float)(kernel_size*kernel_size); /// 使用滤波器filter2D(src, dst, ddepth , kernel, anchor, delta, BORDER_DEFAULT );imshow( window_name, dst );ind++;} return 0; }3.3运行结果
3.3运行结果
相关文章:

Get started with ros -- 1
原创博文:转载请标明出处(周学伟):http://www.cnblogs.com/zxouxuewei/tag/ 一.Introduction: 机器人操作系统(ROS)是使机器人系统的不同部分能够发现,发送和接收数据的通信接口。MA…

利用 createTrackbar 进行二值化
#include "opencv2/imgproc/imgproc.hpp" #include "opencv2/highgui/highgui.hpp" #include <iostream> //createTrackbar的回调响应函数 void onChangeTrackBar (int pos,void* data) {// 强制类型转换cv::Mat srcImage *(cv::Mat*)(data); cv:…

ASP.NET Core 2.2中的Endpoint路由
Endpoint路由 在ASP.NET Core 2.2中,新增了一种路由,叫做Endpoint(终结点)路由。本文将以往的路由系统称为传统路由。 本文通过源码的方式介绍传统路由和Endpoint路由部分核心功能和实现方法,具体功能上的差异见官方文…

OpenCV 【二十】给图像添加边界
目录 1原理 2 代码 3 运行结果 1原理 前一节我们学习了图像的卷积操作。一个很自然的问题是如何处理卷积边缘。当卷积点在图像边界时会发生什么,如何处理这个问题? 大多数用到卷积操作的OpenCV函数都是将给定图像拷贝到另一个轻微变大的图像中&#…

Linux账户安全管理--useradd、groupadd、passwd、chown、chmod工具
groupadd-g 设置组id号实例: groupadd tomcatgroupadd -g600 tomcat删除组用groupdelgroupdel tomcatuseradd-c comment 给新用户添加备注 -d home_dir 为主目录指定一个名字(如果不想用登录名作为主目录名的话) -e expire_date 用Y…

Rect 选择感兴趣区域
#include <opencv2/highgui/highgui.hpp> #include <opencv2/imgproc/imgproc.hpp> #include <iostream> // 全局变量源图像 cv::Mat srcImage; // 方法1 利用Rect选择区域(100, 180, 150, 50) void regionExtraction(int xRoi, int yRoi, int widthRoi, int…

paramiko的使用
1 import paramiko2 import sys3 4 5 user "root"6 pwd "123456"7 8 9 10 # 上传文件 11 def sftp_upload_file(server_path, local_path): 12 try: 13 t paramiko.Transport((ip, 22)) 14 t.connect(usernameuser, passwordpwd) …

【C++】多线程与并发【一】
文章目录part 0:多线程简介part 1:多线程构造它用于构造线程对象。参量part 2:多线程析构它破坏线程对象。part 3:多线程operator参量 Parameters返回值Data racespart 4:joinable 它返回线程ive对象是否可连接,则返回true,否则返回false。 表示的是否可…

鼠标按键获取感兴趣区域
#include <opencv2/imgproc/imgproc.hpp> #include <opencv2/highgui/highgui.hpp> #include <iostream> #include <stdio.h> using namespace cv; using namespace std; // 全局变量图像源 cv::Mat srcImage; // 所选矩形区域 cv::Rect roiRect; …

git在不同操作系统下自动替换换行符
2019独角兽企业重金招聘Python工程师标准>>> 一天使用docker创建一个镜像执行报一个错 standard_init_linux.go:175: exec user process caused "no such file or directory"参考资料 http://blog.jobbole.com/46200/ http://neue.v2ex.com/t/309469 git …

关于jsp和eclipse服务器端的相关配置和JS的区别
今天配置了一番eclipse的服务器端,由此重新认识了web技术的皮毛; 话不多说,让我们开始: 一: 首先让我们了解一下js和jsp的技术之间的差别: 1)js:https://zh.wikipedia.org/wiki/Java…

【C++】多线程与互斥锁【二】
文章目录1. 并发是什么1.1 并发与并行1.2 硬件并发与任务切换1.3 多线程并发与多进程并发2. 为什么使用并发2.1 为什么使用并发2.2 并发和多线程3. 并发需要注意的问题3.1 多线程中的数据竞争实例1:3.2 如何处理数据竞争?实例2:实例3…

用hosting.json配置ASP.NET Core站点的Hosting环境
通常我们在 Prgram.cs 中使用硬编码的方式配置 ASP.NET Core 站点的 Hosting 环境,最常用的就是 .UseUrls() 。 public class Program {public static void Main(string[] args){var host new WebHostBuilder().UseUrls("http://*:5000").UseKestrel().U…

鼠标按键获取感兴趣区域 2
#include <opencv2/imgproc/imgproc.hpp> #include <opencv2/highgui/highgui.hpp> #include <iostream> #include <stdio.h> using namespace cv; using namespace std; // 全局变量图像源 cv::Mat srcImage; // 所选矩形区域 cv::Rect roiRect; …

偷看日历?9款 APP 涉嫌过度获取权限
最近网友已经看累了APP搞事的瓜,3月29日,“9款 APP 涉嫌过度获取权限”又上了热搜。 不久前上海消保委针对网购平台、旅游出行、生活服务等39款手机APP进行了涉及个人信息权限的评测,主要包括四个方面:App所使用的目标API级别、A…

【C++】多线程与条件变量【三】
文章目录1 条件变量是什么?实例1:2 条件变量本质?3 引入条件变量的原因?实例2:实例3:实例4:4 如何使用条件变量?4.1 std::condition_variable实例5:4.2 std::condition_v…

图像遍历反色处理,遍历多通道图片
#include <opencv2/core/core.hpp> #include <opencv2/highgui/highgui.hpp> #include <iostream> using namespace cv; // 下标M.at<float>(i,j) 方法1-1 cv::Mat inverseColor1(cv::Mat srcImage) {cv::Mat tempImage srcImage.clone();int row t…

【Treap】bzoj1588-HNOI2002营业额统计
一、题目 Description 营业额统计 Tiger最近被公司升任为营业部经理,他上任后接受公司交给的第一项任务便是统计并分析公司成立以来的营业情况。 Tiger拿出了公司的账本,账本上记录了公司成立以来每天的营业额。分析营业情况是一项相当复杂的工作。由于节…

推荐一款 Flutter Push 推送功能插件
又到了推荐好插件的时候了。开发 APP 避免不了使用「推送」功能。比如,新上架一个商品,或者最新的一条体育新闻,实时推送给用户。 比较了几家推送平台,貌似「极光」出了 Flutter 插件,所以就拿它试试手,顺便…

【C++】多线程与异步编程【四】
文章目录【C】多线程与异步编程【四】0.三问1.什么是异步编程?1.1同步与异步1.2 **阻塞与非阻塞**2、如何使用异步编程2.1 使用全局变量与条件变量传递结果实例1:2.2 使用promise与future传递结果实例2实例32.3使用packaged_task与future传递结果实例42.…

[LintCode] Maximum Subarray 最大子数组
Given an array of integers, find a contiguous subarray which has the largest sum. Notice The subarray should contain at least one number. Have you met this question in a real interview? YesExample Given the array [−2,2,−3,4,−1,2,1,−5,3], the contiguo…

图像补运算:反色处理
cv::Mat inverseColor1(cv::Mat srcImage) {cv::Mat tempImage srcImage.clone();int row tempImage.rows;int col tempImage.cols;// 对各个像素点遍历进行取反for (int i 0; i < row; i){for (int j 0; j < col; j){// 分别对各个通道进行反色处理tempImage.at<…

2018-2019-2 网络对抗技术 20165239Exp3 免杀原理与实践
2018-2019-2 网络对抗技术 20165239 Exp3 免杀原理与实践 win10 ip地址 192.168.18.1 fenix ip地址为 192.168.18.128 (1)杀软是如何检测出恶意代码的? •根据计算机病毒课程知道了每个病毒都有其对应的特征码,杀软是根据这些特征…

【C++】多线程与原子操作和无锁编程【五】
【C】多线程与原子操作和无锁编程【五】 1、何为原子操作 前面介绍了多线程间是通过互斥锁与条件变量来保证共享数据的同步的,互斥锁主要是针对过程加锁来实现对共享资源的排他性访问。很多时候,对共享资源的访问主要是对某一数据结构的读写操作&#…

jquery中ajax的dataType属性包括哪几项
参考ajax api文档:http://www.w3school.com.cn/jquery/ajax_ajax.asp dataType类型:String预期服务器返回的数据类型。如果不指定,jQuery 将自动根据 HTTP 包 MIME 信息来智能判断,比如 XML MIME 类型就被识别为 XML。在 1.4 中&a…

图像补运算:ptr反色处理
cv::Mat inverseColor3(cv::Mat srcImage) {cv::Mat tempImage srcImage.clone();int row tempImage.rows;// 将3通道转换为单通道int nStep tempImage.cols * tempImage.channels();for(int i 0; i < row; i) {// 取源图像的指针const uchar* pSrcData srcImage.ptr&l…

Android 在运行时请求权限
2019独角兽企业重金招聘Python工程师标准>>> 从 Android 6.0(API 级别 23)开始,用户开始在应用运行时向其授予权限,而不是在应用安装时授予。此方法可以简化应用安装过程,因为用户在安装或更新应用时不需要…

Markdown解决图片存储问题
文章目录Markdown1.前言2.图片引用方式方式1:可以任意比例放缩图片方式2:原比例引用图片3.推荐公式编辑器4.此外简单介绍下Markdown的一种轻量化工具Typora的使用方法。Markdown 1.前言 相信大家在使用Typora,经常会遇到图片编辑的问题&…

jenkins添加git源码目录时报Error performing command错误
简介 这是我在构建一个自动化部署项目中遇到的一个异常 解决步骤: 1、进入的jenkins的home目录,执行下面命令生成公钥和私钥 [rootjacky .jenkins]# ssh-keygen -t dsa 2、查看生成的公钥 [rootjacky .ssh]# cat /root/.ssh/id_dsa.pub ssh-dss AAAAB3Nz…

图像补运算:MatIterator_迭代器反色处理
#include <opencv2/opencv.hpp>#include <opencv2/video/background_segm.hpp>// 注意srcImage为3通道的彩色图片 cv::Mat inverseColor4(cv::Mat &srcImage) {cv::Mat tempImage srcImage.clone();// 初始化源图像迭代器 cv::MatConstIterator_<cv::Vec3…