编译原理考点复习
名词填空、名词解释、解答题:
- 文法是什么?
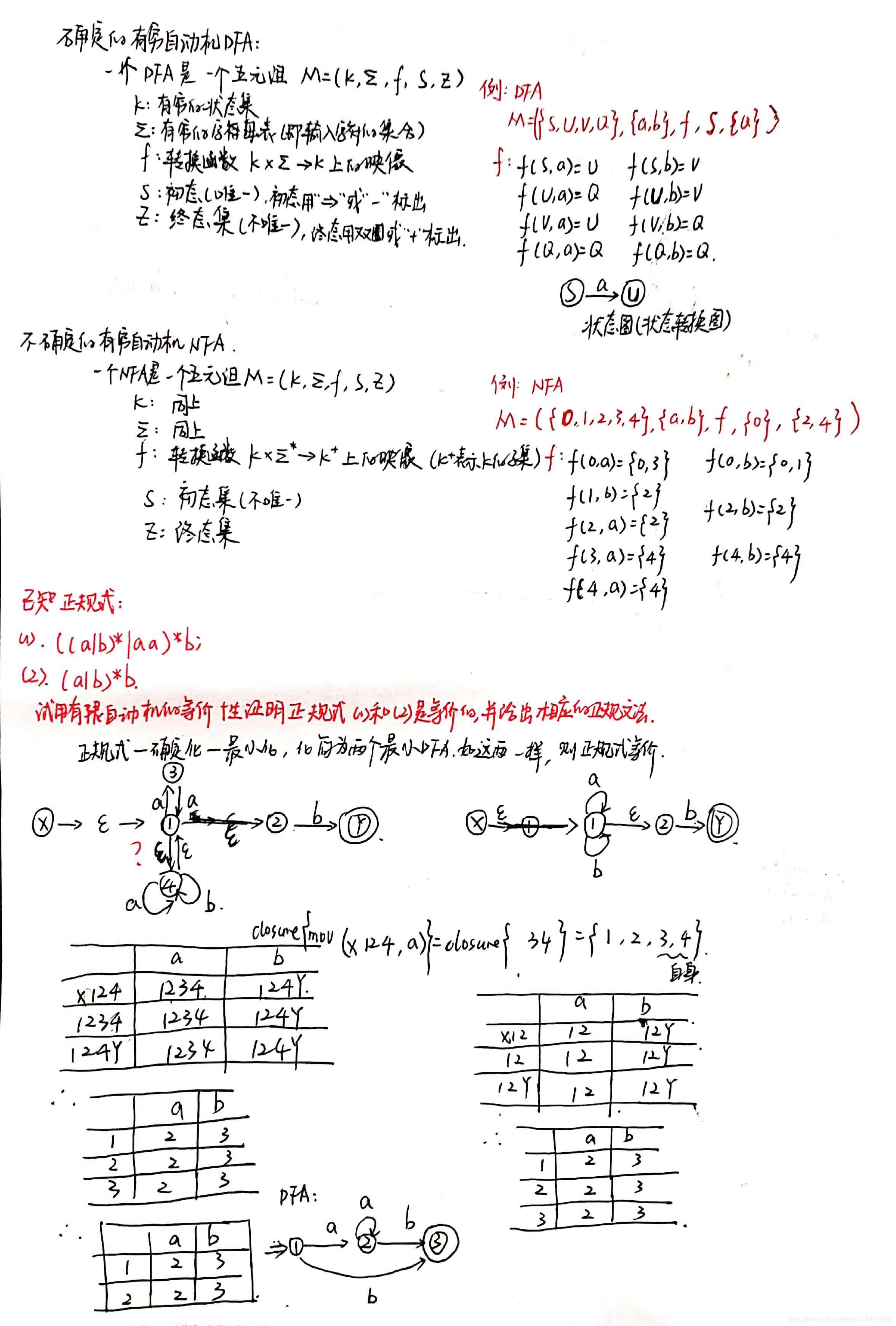
- 文法、句子、句型、确定有穷自动机(DFA)、非确定有穷自动机(NFA)的定义?
- 编译过程主要有哪些功能模块?有什么辅助模块(表格管理、出错管理)?对于与编译过程有六个阶段,每个阶段的作用是什么?
- 词法分析、语法分析输入输出分别是什么?
- 文法分类(4类):叫什么,别名又叫什么?
- 什么是LL1文法,若不是LL1文法,可以通过什么转化为LL1文法?
- 编译过程中中间代码有哪几种表示形式?(逆波兰式、三元式、四元式)
- 什么是素短语?(优先分析法中提到的)
- 确定优先关系时,相等、大于小于,请注意他们的先后顺序,其中,特别要掌握算符优先文法。
- 什么是句柄?什么叫规范句型?二义性文法是什么意思?
- 两个正规式,说其是等价,那么该如何判断?(只要求出两个正规式的DFA相同就行,考试时DFA求解很简单)
- 什么是算符文法(后面章节的)?
- 文法与语言有什么关系?
- 高级语言与编译程序之间的区别?
以上为90%的考试范围,剩下10%为综合
四个大题:
题目在书上或者ppt上不一定有,但方法一模一样,只是会改动符号,比如A改为B。
- 在ppt里面的判断是不是LL1文法,这个题目主要参考ppt的例题就ok了。求出所有产生式的select集合,然后……(考大题)
- LR1文法,如何判断是否满足LR1文法以及求出分析表,这个题目参考书上例题。求出DFA,最终获得LR1分析表,求出她的过程??(考大题)
- 给出一个句子或句型,请你写出语法树(就是推导过程),书上有原题,同时要根据语法树(句子或句型),写出短语、直接短语、句柄、最..短语.在ppt、书上都有例子。
- DFA:给出一句描述语言,已经写出正规式。比如0和1构成的串。通过正规式画出DFA。来自第三章词法分析的重点。




相关文章:

网络工程师如何才能实现职位晋升
一、如何在公司得到攀升的机会?如果不想保持低月薪,就运用你的技术积极参与公司的业务发展从最近我们公司招生来看,一个很明显的问题阴魂不散的笼罩在“网络工程师”这个行业。问题的根本是对网络工程师职业前途的严重误解。很多人认为目前的…

Linux中/etc/resolv.conf文件简析
https://blog.csdn.net/lcr_happy/article/details/54867510转载于:https://www.cnblogs.com/answercard/p/10354514.html

第二章 Servlet核心技术 实训二
question.html <!DOCTYPE html> <html> <head> <meta charset"UTF-8"> <title>简单测试</title> </head> <body> <p>请回答下面的问题:</p> <form action"simpletest.do"meth…

BZOJ 4025 二分图
题目大意 给定一个\(n\)个点, \(m\)条边的无向图, 每条边在一定时间范围内存在. 要你判断每个时间点这张图是否为二分图.\(n \le 10^5\)\(m \le 2 \times 10^5\) Solution 我们考虑一个合法的二分图有什么性质: 图中不存在奇环, 即环上边数(点数)为奇数的环. 考虑如何判断每个时…

javascript对象之window对象详解
frames 表示当前窗口中所有frame对象的数组 status 表示浏览器的状态行信息 defaultstatus 表示浏览器的状态行信息 history 表示当前窗口的历史记录,这可以引用在网页导航中 closed 表示当前窗口是否关闭的逻辑值 document 表示当前窗口中显示的当前文档对象 location 表示当前…
Wsus简单笔记
一:安装前的要求1:iis6.0以上,bits、Asp.net2.02:sql20053:Microsoft Management Console 3.04:microsof report viewer redistributable 20055:ntsf分区二:安装1:过程比较简单,注意设置本地补丁…

机器学习-Sklearn
Scikit learn 也简称 sklearn, 是机器学习领域当中最知名的 python 模块之一. Sklearn 包含了很多种机器学习的方式:Classification 分类 Regression 回归 Clustering 非监督分类 Dimensionality reduction 数据降维 Model Selection 模型选择 Preprocessing 数据预处理 我们总…

[翻译]自动维护索引重新生成组织的SQL批处理语句
脚本来自《Inside Server 2005 T-SQL Programming》 SET NOCOUNT ON;DECLARE objectid int;DECLARE indexid int;DECLARE partitioncount bigint;DECLARE schemaname nvarchar(258);DECLARE objectname nvarchar(258);DECLARE indexname nvarchar(258);DECLARE partitionnum bi…

DTrace memory leak 内存泄露
http://blog.sina.com.cn/s/blog_538040b70100eecn.html如下程序用于跟踪,在分配和回收都会触发探针 #!/usr/sbin/dtrace -s pid$target:libc:malloc:entry{ self->trace 1; self->size arg0;}pid$target:libc:malloc:return/self->trace 1/{ …

Spark的安装和使用
Spark2.1.0入门:Spark的安装和使用 Hadoop安装教程_单机/伪分布式配置_Hadoop2.6.0(2.7.1)/Ubuntu14.04(16.04) 手把手教你在VirtualBox中与主机共享文件夹

SQL Server 2005系列教学(6) 多表操作及子查询
多表查询;<?xml:namespace prefix o ns "urn:schemas-microsoft-com:office:office" />人事表: 公司表:姓名性别年龄姓名公司地址张三男25李四女25张三新…

(点)分治学习笔记
哗我看了一下好像没有很详细专门讲分治的blog?那就主要先学一下点分治吧,其他的……等我记得把C一本通带到机房来再说吧先咕着啦 写在前面 刷题进度 入门题(0/3) 好题(0/9) 问题解决进度 Q1 Q2 正文 淀粉质 点分治 点分治就是在一…

十五个步骤收获学习的习惯
"真正的发现的航程,并非是在寻找新的土地,而且用新的视界去寻找"--普鲁斯特 "智慧日进者方值得尊敬。"-林肯 "我从不让我在学校所学的干扰我的教育"-马克吐温 如果公立学校尚未摧残你的灵魂,那么学习是一项极佳的活动。它…

熟悉scala命令,scala语言运行超级素数和猴子大王
实验目的 在Linux操作系统中安装Scala输入“scala”命令,熟悉地运行Scala解释器scala语言运行超级素数和猴子大王实验仪器 Virtualbox管理器 实验框图(电路图/流程图) 在Windows中使用VirtualBox安装Ubuntu,安装好scala后…

安装mayavi和VTK库的血泪史
一开始安装VTK库是从官网上下载,但是怎么都找不到whl文件,只有exe文件(vtkpython-7.1.1-Windows-64bit.exe)。下载安装之后再PyCharm中import vtk出错。当时认为是文件出错。后来在一篇博客(Python下VTK 编程 - lj6952…

Python LEGB (Local, Enclosing, Global, Build in) 规则
1 Local 一个函数定义了一个 local 作用域; PyFrameObject 中的 f_local 属性2 Global 一个 module 定义了一个 global 作用域; PyFrameObject 中的 f_global 属性.3 BuiltIn open, dir 的作用域等等, python 最顶层的作用…

图解DotNet框架系列
图解.Net框架系列(索引贴) (声明:本系列已完成,故索引帖重发) 众所周知,DotNet框架是非常庞大的,光项目创建时的种类就有WPF,WCF,WF这三种最新的技术,还有以前的Web,WinForm,Service,Mobile等等. 这么复杂和庞大的框架,用文字来描述是远远不够的,所以我准备写一系列图文并茂的文…

【Linux基础】文件处理实例
1.文件拆分 //每4000行拆分一个文件 split -l 4000 epms_t_ep_fx_stl_xy_20190129.dat 2.行处理 //查找第二列为711611且第三列为711100记录,打印行号和整行数据 awk -F ‘^C’ {if ($3711100 && $2711611) print NR,$0 } epms_t_ep_fx_stl_xy_20190229.d…

scala语言运行递归“分鱼”程序
A、B、C、D、E 五人在某天夜里合伙去捕鱼,到第二天凌晨时都疲惫不堪,于是各自找地方睡觉。 日上三杆,A 第一个醒来,他将鱼分为五份,把多余的一条鱼扔掉,拿走自己的一份。 B 第二个醒来,也将鱼分…

smarty_modifier_truncate,无或者有md_substr的情况下都能正确截取字符串的php函数,可用于smarty。...
smarty_modifier_truncate,无或者有md_substr的情况下都能正确截取字符串的php函数,可用于smarty。function smarty_modifier_truncate($string, $length 80, $etc ..., $codeutf8, $mbtrue) { if ($length 0) return $string; if(function_exists("mb_subs…

java基础小总结(2)
Day07: 1.如果局部变量和全局变量都有相同的数据类型和变量名,先调用局部变量,实现就近原则; 2.匿名对象由于局限性的原因,一般只调用一次,且只是当作为实际参数传递的时候使用; 3.面向对象语言…

Wireshark实验HTTP
在 Wireshark 实验入门里,我们已经初步使用了 Wireshark 包嗅探器,我们现在可以操作 Wireshark 来查看网络协议。在这个实验中,我们会探索 HTTP 协议的几个方面:基本的 GET/response 交互,HTTP 消息格式,检…

2、安装ICS(Internet Component Suite)控件
下载完成后解压到你的指写目录!1、在library里加入ICS->Delphi->Vc32目录。2、从File->Open中打开ICS->Delphi->Vc32->IcsDel110.dproj文件。(文件名在其它Delphi版本略有不同)3、在项目管理器中,右键IcsDel110.bpl选择Build和Install…

定制CE系统随笔-续1
更改用户界面颜色[HKEY_LOCAL_MACHINE\SYSTEM\GWE] "SysColor"hex: 00,00,00,00, 3A,6E,A5,00, 00,00,00,00, 00,00,00,00,\ EF,EB,DE,00, FF,FF,FF,00, 00,00,00,00, 00,00,00,00,\ 00,00,00,00, FF,F…
安装包安全测试
主要说明以下内容:1、能否反编译代码2、安装包是否签名3、完整性校验4、权限设置检查反编译代码:移动应用发布出去后最终用户获得的是一个程序安装包,我们需要关注的是用户能否从这个安装包中获取项目的源代码,从安全方面考虑&…

Java课程寒假之开发记账本软件(网页版)之二
一.实现基础功能之一(记账) 一个记账本最基础之一的功能就是记账,所以也是首先要解决的问题,我选择了上学期使用的MySQL数据库来对账本进行存储。 我选择记账的方法是分开记账,就是支出放在一个表,收入放在…

谷歌浏览器Google Chrome和Adobe Flash Plugins插件安装问题
最近在做CSS的多浏览器支持,于是安装上了谷歌浏览器Google Chrome浏览器,结果发现谷歌浏览器Google Chrome的确构造非常简单,精干,速度非常迅猛,比臃肿的IE8快多了,于是开始使用谷歌浏览器Google Chrome&am…

Wireshark实验 - 入门
# Wireshark实验 - 入门 **官方英文文档:[Wireshark_Intro_v6.0.pdf](Wireshark_Intro_v6.0.pdf)** **以下内容为笔者翻译:** *** ## Wireshark 实验: 入门 v6.0 **《计算机网络:自顶向下方法(第6版)》补充材料&…

观察者模式的经典应用(猫叫 烧开水)
Code 猫叫了 老鼠跑 主人惊醒 1/**//* 2 * 题目: 3 * 猫叫了,所有老鼠开始逃跑,主人被惊醒,请用OO的思想描绘此过程 4 * 1,老鼠跟主人是被动的 5 * 2,要考虑联动性与扩展性 6 */ 7using System; 8using Sys…

HTML学习笔记之基本介绍
超文本标记语言 (Hyper Text Markup Language,HTML)不是一种编程语言,而是一种标记语言,用一套标记标签描述网页 HTML 标记标签又被称为 HTML 标签(HTML Tag),它是由尖括号包围的关键词…