吴恩达团队:神经网络如何正确初始化?

来源 | deeplearning.ai
编译 | 刘静
转载自图灵TOPIA(ID:turingtopia)
初始化对训练深度神经网络的收敛性有重要影响。简单的初始化方案可以加速训练,但是它们需要小心避免常见的陷阱。
近期,deeplearning.ai就如何有效地初始化神经网络参数发表了交互式文章,图灵君将结合这篇文章与您一起探索以下问题:
1、有效初始化的重要性
2、梯度爆炸或消失的问题
3、什么是正确的初始化?
4、Xavier初始化的数学证明
一、有效初始化的重要性
要构建机器学习算法,通常需要定义一个体系结构(例如Logistic回归,支持向量机,神经网络)并训练它来学习参数。 以下是神经网络的常见训练过程:
1、初始化参数
2、选择优化算法
3、重复这些步骤:
a、正向传播输入
b、计算成本函数
c、使用反向传播计算与参数相关的成本梯度
d、根据优化算法,使用梯度更新每个参数
然后,给定一个新的数据点,您可以使用该模型来预测它的类。
初始化步骤对于模型的最终性能至关重要,它需要正确的方法。 为了说明这一点,请考虑下面的三层神经网络。 您可以尝试使用不同的方法初始化此网络,并观察它对学习的影响。

(网址:https://www.deeplearning.ai/ai-notes/initialization/)
感兴趣的同学可直接登陆、操作体验。
当初始化方法为零时,对于梯度和权重,您注意到了什么?
用零初始化所有权重会导致神经元在训练期间学习相同的特征。
实际上,任何常量初始化方案的性能表现都非常糟糕。 考虑一个具有两个隐藏单元的神经网络,并假设我们将所有偏差初始化为0,并将权重初始化为一些常数α。 如果我们在该网络中正向传播输入(x1,x2),则两个隐藏单元的输出将为relu(αx1+αx2)。 因此,两个隐藏单元将对成本具有相同的影响,这将导致相同的梯度。
因此,两个神经元将在整个训练过程中对称地进化,有效地阻止了不同的神经元学习不同的东西。
在初始化权重时,如果值太小或太大,关于成本图,您注意到了什么?
尽管打破了对称性,但是用值(i)太小或(ii)太大来初始化权重分别导致(i)学习缓慢或(ii)发散。
为高效训练选择适当的初始化值是必要的。 我们将在下一节进一步研究。
二、梯度的爆炸或消失问题
考虑这个9层神经网络。

在优化循环的每次迭代(前向,成本,后向,更新)中,我们观察到当您从输出层向输入层移动时,反向传播的梯度要么被放大,要么被最小化。 如果您考虑以下示例,此结果是有意义的。
假设所有激活函数都是线性的(标识函数)。 然后输出激活是:

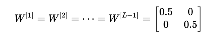
其中,L=10,W[1],W[2],…,W[L−1] 都是大小为(2,2)的矩阵,因为层[1]到[L-1]有2个神经元,接收2个输入。考虑到这一点,为了便于说明,如果我们假设W[1]=W[2]=⋯=W[L−1]=W,输出预测是y^=W[L]WL−1x (其中 WL−1 将矩阵 W取为L-1的幂,而W[L] 表示Lth矩阵)。
初始化值太小,太大或不合适的结果是什么?
情形1:过大的初始化值会导致梯度爆炸
考虑这样一种情况:初始化的每个权重值都略大于单位矩阵。

这简化为y^=W[L]1.5L−1x,并且a[l] 的值随l呈指数增加。 当这些激活用于反向传播时,就会导致梯度爆炸问题。 也就是说,与参数相关的成本梯度太大。 这导致成本围绕其最小值振荡。
情形2:初始化值太小会导致梯度消失
类似地,考虑这样一种情况:初始化的每个权重值都略小于单位矩阵。

这简化为 y^=W[L]0.5L−1x,并且激活a [l]的值随l呈指数下降。 当这些激活用于反向传播时,这会导致消失的梯度问题。 相对于参数的成本梯度太小,导致在成本达到最小值之前收敛。
总而言之,使用不适当的值初始化权重将导致神经网络训练的发散或减慢。 虽然我们用简单的对称权重矩阵说明了梯度爆炸/消失问题,但观察结果可以推广到任何太小或太大的初始化值。
三、如何找到合适的初始化值
为了防止网络激活的梯度消失或爆炸,我们将坚持以下经验法则:
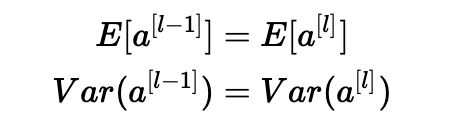
1、激活的平均值应为零。
2、激活的方差应该在每一层保持不变。
在这两个假设下,反向传播的梯度信号不应该在任何层中乘以太小或太大的值。 它应该移动到输入层而不会爆炸或消失。
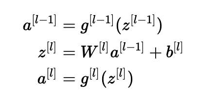
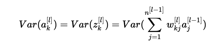
更具体地考虑层l, 它的前向传播是:

我们希望以下内容:

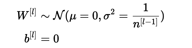
确保零均值并保持每层输入方差的值不会产生爆炸/消失信号,我们稍后会解释。 该方法既适用于前向传播(用于激活),也适用于反向传播传播(用于激活成本的梯度)。 推荐的初始化是Xavier初始化(或其派生方法之一),对于每个层l:

换句话说,层l的所有权重是从正态分布中随机选取的,其中均值μ= 0且方差σ2= n [l-1] 1其中n [l-1]是层l-1中的神经元数。 偏差用零初始化。
下面的可视化说明了Xavier初始化对五层全连接神经网络的每个层激活的影响。

您可以在Glorot等人中找到这种可视化背后的理论。(2010年)。 下一节将介绍Xavier初始化的数学证明,并更准确地解释为什么它是一个有效的初始化。
四、Xavier初始化的合理性
在本节中,我们将展示Xavier初始化使每个层的方差保持不变。 我们假设层的激活是正态分布在0附近。 有时候,理解数学原理有助于理解概念,但不需要数学,就可以理解基本思想。
让我们对第(III)部分中描述的层l进行处理,并假设激活函数为tanh。 前向传播是:

目标是导出Var(a [l-1])和Var(a [l])之间的关系。 然后我们将理解如何初始化我们的权重,使得: Var(a[l−1])=Var(a[l])。
假设我们使用适当的值初始化我们的网络,并且输入被标准化。 在训练初期,我们处于tanh的线性状态。 值足够小,因此tanh(z[l])≈z[l],意思是:

此外,z[l]=W[l]a[l−1]+b[l]=向量(z1[l],z2[l],…,zn[l][l])其中 zk[l]=∑j=1n[l−1]wkj[l]aj[l−1]+bk[l]。 为简单起见,我们假设b[l]=0 (考虑到我们将选择的初始化选择,它将最终为真)。 因此,在前面的方程Var(a[l−1])=Var(a[l]) 中逐个元素地看,现在给出:

常见的数学技巧是在方差之外提取求和。 为此,我们必须做出以下三个假设:
1、权重是独立的,分布相同;
2、输入是独立的,分布相同;
3、权重和输入是相互独立的。
因此,现在我们有:

另一个常见的数学技巧是将乘积的方差转化为方差的乘积。公式如下:

使用X=wkj[l]和Y=aj[l−1]的公式,我们得到:

我们差不多完成了! 第一个假设导致E[wkj[l]]2=0,第二个假设导致E[aj[l−1]]2=0,因为权重用零均值初始化,输入被归一化。 从而:

上述等式源于我们的第一个假设,即:

同样,第二个假设导致:

同样的想法:

总结一下,我们有:

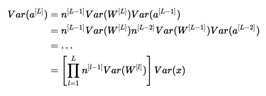
瞧! 如果我们希望方差在各层之间保持不变(Var(a[l])=Var(a[l−1])),我们需要Var(W[l])=n[l−1]1。 这证明了Xavier初始化的方差选择是正确的。
请注意,在前面的步骤中,我们没有选择特定的层ll。 因此,我们已经证明这个表达式适用于我们网络的每一层。 让LL成为我们网络的输出层。 在每一层使用此表达式,我们可以将输出层的方差链接到输入层的方差:

根据我们如何初始化权重,我们的输出和输入的方差之间的关系会有很大的不同。 请注意以下三种情况。

因此,为了避免正向传播信号的消失或爆炸,我们必须通过初始化Var(W[l])=n[l−1]1来设置n[l−1]Var(W[l])=1。
在整个证明过程中,我们一直在处理在正向传播期间计算的激活。对于反向传播的梯度也可以得到相同的结果。这样做,您将看到,为了避免梯度消失或爆炸问题,我们必须通过初始化 Var(W[l])=n[l]1来设置n[l]Var(W[l])=1。
结论
实际上,使用Xavier初始化的机器学习工程师会将权重初始化为N(0,n[l−1]1) 或N(0,n[l−1]+n[l]2)。 后一分布的方差项是n [l-1] 1和n [1] 1的调和平均值。
这是Xavier初始化的理论依据。 Xavier初始化与tanh激活一起工作。 还有许多其他初始化方法。 例如,如果您正在使用ReLU,则通常的初始化是He初始化(He et al,Delving Deep into Rectifiers),其中权重的初始化方法是将Xavier初始化的方差乘以2。虽然这种初始化的理由稍微复杂一些,但它遵循与tanh相同的思考过程。
参考链接:
https://www.deeplearning.ai/ai-notes/initialization/
(*本文为 AI科技大本营转载文章,转载请联系原作者)
◆
CTA核心技术及应用峰会
◆
5月25-27日,由中国IT社区CSDN与数字经济人才发展中心联合主办的第一届CTA核心技术及应用峰会将在杭州国际博览中心隆重召开,峰会将围绕人工智能领域,邀请技术领航者,与开发者共同探讨机器学习和知识图谱的前沿研究及应用。
更多重磅嘉宾请识别海报二维码查看。目前会议8折预售票抢购中,点击阅读原文即刻抢购。添加小助手微信15101014297,备注“CTA”,了解票务以及会务详情。

推荐阅读
赌5毛钱,你解不出这道Google面试题
@程序员,别再自己闷头学了
我用Python,3分钟快速实现,9种经典排序算法的可视化
手把手教你利用爬虫爬网页(Python代码)
云在物联网中的惊人优势 | 技术头条
天才少年,大学创业,29 岁创立 Coinbase!| 人物志
没上过大学,曾拒绝盖茨的 Offer,四代码农靠他吃饭 | 人物志
狂赚320亿! 小伙建立第一个区块链国家, 国土面积7km², 自由之城诞生记
小姐姐公开征婚高智商 IT 男:微信号竟要质数解密?

相关文章:

【Qt】Qt再学习(三):Chart Themes Example(常用图表)
1、简介 该示例中展示了各种图表以及在不同内置主题下的外观。 2、使用到的类 QChart:图表抽象类,继承自QGraphicsWidget QChartView:显示图表窗口,继承自QGraphicsView QLineSeries:折线图 QAreaSeries:面积图 QStackedBarSeries:分段条状图 QScatterSeries:散点图…

eyoucms range 范围判断标签
【基础用法】名称:range功能:范围判断标签包括in notin between notbetween四个标签,都用于判断变量是否中某个范围。语法:{eyou:range name$eyou.field.typeid value1,2,3,4 typein}输出内容{/eyou:range}参数:name 变…

现实迷途 第七章 特殊客户
第七章 特殊客户 注:原创作品,请尊重原作者,未经同意,请勿转载,否则追究责任。 江北一般都是上午待在办公室里,搜集信息或整理以前做过的系统,下午才出去站街招客。 站街站了一段时间后…

BZOJ1396:识别子串(SAM)
Description Input 一行,一个由小写字母组成的字符串S,长度不超过10^5Output L行,每行一个整数,第i行的数据表示关于S的第i个元素的最短识别子串有多长.Sample Input agoodcookcooksgoodfoodSample Output 1 2 3 3 2 2 3 3 2 2 3 3 2 1 2 3 3 2 1 2 3 4 Solution 1A挺开心的省…

【Qt】Qt再学习(四):Editable Tree Model Example
1、简介 这个示例,展示了如何编辑项目、自定义标题以及插入和删除行和列的功能。 项视图模型的标准用法是继承QAbstractItemModel,然后重载纯虚函数:flags()、data()、 headerData()、columnCount()、 rowCount()、 index() 、parent().等; 对于可编辑项目的实现需要重载接…

千亿级照片,毫秒间匹配最佳结果,微软开源Bing搜索背后的关键算法
【导读】随着互联网的普及,搜索成为人们最常用的基本功能之一,但这背后的秘密是什么呢?近日,微软公司介绍了他们是其如何应对用户搜索习惯的改变,并开源了支撑 Bing 搜索背后的算法。 作者 | Charlie Waldburger 译者 …

【Qt】Qt再学习(五):HTTP Example(HTTP下载文件的示例)
1、简介 此示例演示一个简单的HTTP客户端如何从远程主机获取文件。 2、说明 QUrl:url抽象类 QUrl::fromUserInput:从QString转换成QUrl QNetworkAccessManager:网络访问API围绕一个QNetworkAccessManager对象构造,该对象保存其发送的请求的通用配置和设置。创建QNetwork…

面对互联网一线大厂,这些技术你需要了解!
2019 年 5 月 26 - 27 日,由中国 IT 社区 CSDN 与数字经济人才发展中心联合主办的第一届 CTA 核心技术及应用峰会将在杭州国际博览中心召开。近 500 名开发者将齐聚于此,共同交流探讨机器学习和知识图谱的技术及行业落地趋势。会议将聚焦机器学习和知识图…

Android定制:修改开机启动画面
转自:https://blog.csdn.net/godiors_163/article/details/72529210 引言 Android系统在按下开机键之后就会进入启动流程,这个过程本身需要一些时间,而面向用户的往往是厂商定制的一些宣传用的比较绚丽的启动画面。我们在定制自己的系统时&am…

盛大游戏卷入“沙巴克”商标之争
4月12日上午消息,沸沸扬扬的“沙巴克”商标之争再次升级,盛大游戏(微博)也被卷入其中。美国咖啡连锁企业星巴克以“商标侵权”为由将国家商标评审委告上法庭,认为其批准的“沙巴克”商标和“星巴克”近似,要求法庭复审。[/p][p23,…

iOS开发经验总结
在iOS开发中经常需要使用的或不常用的知识点的总结,几年的收藏和积累(踩过的坑)。 一、 iPhone Size 二、 给navigation Bar 设置 title 颜色 123UIColor *whiteColor [UIColor whiteColor];NSDictionary *dic [NSDictionary dictionaryWit…

焦虑的 BAT、不安的编程语言,揭秘程序员技术圈生存现状!
【编者按】在迭代不休的技术圈中,仅在过去的一个月期间,我们见证了有史以来第一张黑洞照片的诞生;经历了为让人义愤填膺的 996;思考了作为程序员的年龄之槛;膜拜了技术大神的成长历程;追逐了如编程语言、人…

【Qt】Qt再学习(六):Qt中JSON保存和加载的示例
1、简介 该示例演示如何保存和加载JSON格式文件,涉及到的类有:QJsonDocument, QJsonObject and QJsonArray. 2、说明 2.1 QJsonDocument QJsonDocument类提供了一种读取和写入JSON文档的方法。 使用QJsonDocument::fromJson()将JSON文档从其基于文本…

H3C ER3260通过Console口重装软件修复路由器
公司在用的H3C ER3260路由器突然罢工,所有LAN、WAN口均无反应,但加电正常,初步判断硬件应该是好的,联系维修要价500,新买一个2000,于是决定自己修下看。 通过配置线连接Console口恢复出厂设置,不…

【Qt】Qt再学习(七):QLocalServer、QLocalSocket
1、QLocalServer QLocalServer类提供基于本地套接字的服务器。 简单的使用方法:首先创建本地服务器并监听 QLocalServer* server = new QLocalServer(this);server->listen("HelloWorld");当有客户端连接时,触发QLocalServer::newConnection信号,在槽函数中处…

百度宣布:搜索业务总裁向海龙离职,另回购10亿美元股份
整理 | 一一出品 | AI科技大本营(ID:rgznai100)5 月 17 日,百度公布 2019 年第一季度未经审计的财务报告。本季度百度营收 241 亿元(约合35.9亿美元),同比增长15%,不计入此前宣布的资产剥离交易…

Oracle SQL高级编程——分析函数(窗口函数)全面讲解
Oracle SQL高级编程——分析函数(窗口函数)全面讲解注:本文来源于:《Oracle SQL高级编程——分析函数(窗口函数)全面讲解》概述分析函数是以一定的方法在一个与当前行相关的结果子集中进行计算,…

学习html5系列之比较典型的div滥用
在做网站过程过比较典型的div滥用,在很多网站中都可看到如下比较典型的div滥用情况。 div滥用情况: 网站首页新闻中心网站案例产品中心在线招聘联系我们优化后可实现相同效果: 网站首页新闻中心建站套餐产品中心关于我们联系我们 最上面的代码…

【Qt】Qt再学习(八):Media Player(Qt实现多媒体播放器)
1、简介 Media Player演示了一个简单的多媒体播放器,该播放器可以使用各种编解码器播放音频和/或视频文件。 涉及到的类有 QMediaPlayer、QMediaPlaylist、QVideoWidget、QVideoProbe、QAudioProbe 2、QMediaPlayer QMediaPlayer是一个媒体播放的高级类。它可以用来播放诸如…

一次改变未来10年人生的机会
还记得陆奇在十问里说过马拉松和短跑的概念吗?你需要设计属于你自己的工作和生活节奏,一方面你可以保持高速,这个高速可以给你带来最大的效率。另一方面也需要可以应对突发变化,可以时不时的“冲刺”一下 (比如偶尔过度…

SQL Server 2008之WaitFor
在SQL Server 2005以上版本中,在一个增强的WaitFor命令,其作用可以和一个job相当。但使用更加简捷。 看MSDN:http://msdn.microsoft.com/zh-cn/library/ms187331.aspx 语法为:WAITFOR { DELAY time_to_pass | TIME time_to_execute | …

“搞垮” 微博服务器?每天上亿条用户推送是如何做到的
记者 | 琥珀出品 | AI科技大本营(ID:rgznai100)想必国内绝大多数网民都有新浪微博的用户账号。据最新数据显示,2018 年第四季度财报,微博月活跃用户突破 4.62 亿,连续三年增长 7000 万 ;微博垂直…

【Qt】Qt再学习(九):并发 QtConcurrent、QFuture、QFutureWatcher
1、QtConcurrent 该QtConcurrent命名空间提供高层次的API,使人们有可能不写使用低级线程原语的多线程程序,如互斥,读写锁,等待条件或信号。用QtConcurrent编写的程序会根据可用处理器内核的数量自动调整使用的线程数。这意味着,当将来在多核系统上部署时,今天编写的应用…

Git——如何将本地项目提交至远程仓库(第一次)
1.(先进入项目文件夹)通过命令 git init 把这个目录变成git可以管理的仓库。 git init 2.把文件添加到版本库中,使用命令 git add .添加到暂存区里面去,不要忘记后面的小数点“.”,意为添加文件夹下的所有文件(夹)。 g…

连接不上ftp解决方案
今天做linux下的ftp实验,总结一下解决连接不上ftp的解决方案:连接不上ftp解决方案:远程连接vsftp服务时,系统提示:用户没有权限访问。防火墙已经关闭,ftpusers和user_list文件已经删除了root用户。再使用命…

Python3破冰人工智能,你需要掌握一些数学方法
为什么要把数学建模与当今火热的人工智能放在一起?首先,数学建模在字面上可以分解成数学建模,即运用统计学、线性代数和积分学等数学知识,构建算法模型,通过模型来解决问题。数学建模往往是没有对与错,只有…

【Qt】QtCreator无法调试终端程序,启动报错SIGSTOP
1、问题描述 使用QtCreator调试终端程序时,因为收到信号SIGSTOP 而退出,无法调试程序。 2、解决方法 解决方式是,设置GDB不处理SIGSTOP , 在QtCreator中进入GDB命令设置窗口: Tools -> Options -> Debugger -…

Centos7 下 配置 rsync 以及 rsync+inotify 实时同步
Centos 7 下 配置 Rsync 以及 rsyncinotify 实时同步 rsync介绍 rsync是一个开源的快速备份工具,可以在不同主机之间镜像同步整个目录树,支持增量备份,保持链接和权限,且采用优化的同步算法,在传输前执行压缩,因此非常适用于异地备份、镜像服务器等应用。 rsync的官方站点是htt…

网站排名下降的原因
做站长,都经常遇到网站被降权、排名下降、百度快照后退等问题,这些也是企业网站最常见的一些问题,企业网站为何会被降权,通常是什么原因造成的,下面我在这里分享下我在北大青鸟学到的一些知识,简单的和大家…

@程序员,Python 3还有哪些未Get的潜藏技能?| 技术头条
作者 | Vinko Kodžoman翻译 | Monanfei编辑 | 阿司匹林,Rachel【导读】在 Python 3 推出后,人们开始逐步将基于Python 2 的代码迁移至 Python 3 。但在迁移过程中,很多代码都未能使用到 Python 3 提供的新功能。本文作者介绍了相关功能的介绍…