利用MTCNN和FaceNet实现人脸检测和人脸识别 | CSDN博文精选
作者 | pan_jinquan
来源 | CSDN博文精选
(*点击阅读原文,查看作者更多文章)
人脸检测和人脸识别技术算是目前人工智能方面应用最成熟的技术了。本博客将利用MTCNN和FaceNet搭建一个实现人脸检测和人脸识别的系统。基本思路也很简单,先利用MTCNN的进行人脸检测,当然也可以使用其他的人脸检测方法,如Dilb,OpenCV,OpenFace人脸检测等等,然后再利用faceNet进行人脸识别,faceNet可简单看成是提取人脸特征的CNN网络,这个特征就是embadding了,有了人脸特征embadding,最后一步,就只需要与数据库人脸特征进行相似性比较,即可完成人脸识别的任务。
老规矩,先上Github源码:记得给个“Star”哦,不然,对不起我的苦劳!!!!
本博客Github源码:
https://github.com/PanJinquan/Face_Detection_Recognition/tree/master/faceRecognition
FaceNet的人脸识别效果并不算好,相比InsightFace模型,就差很多。目前使用InsightFace模型测试,在开数据集可以达到99.6%,在自建的数据集可以达到93%的准确率,比虹软的人脸识别率还高一点,关于InsightFace模型的项目,我还在整理,网友慢慢期待哈,不急!
目录
一、项目结构:
二、实现流程
三、Multi-task CNN(MTCNN)人脸检测
四、faceNet人脸识别
五、产生数据库
(1)制作人脸数据图库:
(2)生成embedding数据库
六、人脸识别过程
(1)加载人脸数据库
(2)进行人脸检测
(3)人脸识别(比较相似性)
(4)人脸识别效果
七、模型测评
八、参考资料:
一、项目结构
打开FaceNet Github地址:
https://github.com/davidsandberg/facenet,把我们需要的文件拷贝到自己独立的工程中,(1)align文件夹,(2)facenet.py文件:
align:这个文件夹是从facenet中拷贝的,https://github.com/davidsandberg/facenet/tree/master/src/align,主要是MTCNN人脸检测的相关文件
facenet.py:这个Python文件也是从facenet中拷贝的,https://github.com/davidsandberg/facenet/blob/master/src/facenet.py
其他文件介绍
dataset:这个文件夹主要存放数据,如人脸数据库
utils:这个文件是工具类文件,用于文件读写,图像相关操作的函数方法等
models:存放facenet预训练模型,百度网盘下载地址:链接: https://pan.baidu.com/s/1hAK9ylURkbeH52BtSSGWsw 提取码: jf1n
Pre-trained models:
20180408-102900
https://drive.google.com/open?id=1R77HmFADxe87GmoLwzfgMu_HY0IhcyBz
20180402-114759
https://drive.google.com/open?id=1EXPBSXwTaqrSC0OhUdXNmKSh9qJUQ55-
Inception ResNet v1
https://github.com/davidsandberg/facenet/blob/master/src/models/inception_resnet_v1.py
NOTE: If you use any of the models, please do not forget to give proper credit to those providing the training dataset as well.
二、实现流程
1.通过MTCNN人脸检测模型,从照片中提取人脸图像。
2.把人脸图像输入到FaceNet,计算Embedding的特征向量。
3.比较特征向量间的欧式距离,判断是否为同一人,例如当特征距离小于1的时候认为是同一个人,特征距离大于1的时候认为是不同人。
三、Multi-task CNN(MTCNN)人脸检测
人脸检测方法很多,如Dilb,OpenCV,OpenFace人脸检测等等,这里使用MTCNN进行人脸检测,一方面是因为其检测精度确实不错,另一方面facenet工程中,已经提供了用于人脸检测的mtcnn接口。 MTCNN是多任务级联CNN的人脸检测深度学习模型,该模型中综合考虑了人脸边框回归和面部关键点检测。在facenet工程中的位置是align/detect_face.py ,它的参数模型也保存在align文件夹下,分别是det1.npy,det2.npy,det3.npy。
参考资料:
https://blog.csdn.net/qq_28618765/article/details/78127967
https://blog.csdn.net/gubenpeiyuan/article/details/80475307
MTCNN一个深度卷积多任务的框架,这个框架利用了检测和对准之间固有的关系来增强他们的性能。特别是,在预测人脸及脸部标记点的时候,通过3个CNN级联的方式对任务进行从粗到精的处理。
Stage 1:使用P-Net是一个全卷积网络,用来生成候选窗和边框回归向量(bounding box regression vectors)。使用Bounding box regression的方法来校正这些候选窗,使用非极大值抑制(NMS)合并重叠的候选框。全卷积网络和Faster R-CNN中的RPN一脉相承。
Stage 2:使用R-Net改善候选窗。将通过P-Net的候选窗输入R-Net中,拒绝掉大部分false的窗口,继续使用Bounding box regression和NMS合并。
Stage 3:最后使用O-Net输出最终的人脸框和特征点位置。和第二步类似,但是不同的是生成5个特征点位置。
这里提供一个使用MTCNN进行人脸检测的方法:
def detection_face(img):minsize = 20 # minimum size of facethreshold = [0.6, 0.7, 0.7] # three steps's thresholdfactor = 0.709 # scale factorprint('Creating networks and loading parameters')with tf.Graph().as_default():# gpu_memory_fraction = 1.0# gpu_options = tf.GPUOptions(per_process_gpu_memory_fraction=gpu_memory_fraction)# sess = tf.Session(config=tf.ConfigProto(gpu_options=gpu_options, log_device_placement=False))sess = tf.Session()with sess.as_default():pnet, rnet, onet = detect_face.create_mtcnn(sess, None)bboxes, landmarks = detect_face.detect_face(img, minsize, pnet, rnet, onet, threshold, factor)landmarks = np.transpose(landmarks)bboxes = bboxes.astype(int)bboxes = [b[:4] for b in bboxes]landmarks_list=[]for landmark in landmarks:face_landmarks = [[landmark[j], landmark[j + 5]] for j in range(5)]landmarks_list.append(face_landmarks)return bboxes,landmarks_list
当然,实际应用中,建议还是封装成一个类吧,方面初始化和单独调用:
注意:mtcnn人脸检测获得bboxes并不一定是正方形的矩形框,参数fixed指定等宽或者等高的bboxes,其实现方法可以参考get_square_bboxes()方法。当然啦,你也可以不调用get_square_bboxes()方法,直接resize成指定大小,也是OK的。
class Facedetection:def __init__(self):self.minsize = 30 # minimum size of faceself.threshold = [0.6, 0.7, 0.7] # three steps's thresholdself.factor = 0.709 # scale factorprint('Creating networks and loading parameters')with tf.Graph().as_default():# gpu_memory_fraction = 1.0# gpu_options = tf.GPUOptions(per_process_gpu_memory_fraction=gpu_memory_fraction)# sess = tf.Session(config=tf.ConfigProto(gpu_options=gpu_options, log_device_placement=False))sess = tf.Session()with sess.as_default():self.pnet, self.rnet, self.onet = detect_face.create_mtcnn(sess, None)def detect_face(self,image,fixed=None):'''mtcnn人脸检测,PS:人脸检测获得bboxes并不一定是正方形的矩形框,参数fixed指定等宽或者等高的bboxes:param image::param fixed::return:'''bboxes, landmarks = detect_face.detect_face(image, self.minsize, self.pnet, self.rnet, self.onet, self.threshold, self.factor)landmarks_list = []landmarks=np.transpose(landmarks)bboxes=bboxes.astype(int)bboxes = [b[:4] for b in bboxes]for landmark in landmarks:face_landmarks = [[landmark[j], landmark[j + 5]] for j in range(5)]landmarks_list.append(face_landmarks)if fixed is not None:bboxes,landmarks_list=self.get_square_bboxes(bboxes, landmarks_list, fixed)return bboxes,landmarks_listdef get_square_bboxes(self, bboxes, landmarks, fixed="height"):'''获得等宽或者等高的bboxes:param bboxes::param landmarks::param fixed: width or height:return:'''new_bboxes = []for bbox in bboxes:x1, y1, x2, y2 = bboxw = x2 - x1h = y2 - y1center_x, center_y = (int((x1 + x2) / 2), int((y1 + y2) / 2))if fixed == "height":dd = h / 2elif fixed == 'width':dd = w / 2x11 = int(center_x - dd)y11 = int(center_y - dd)x22 = int(center_x + dd)y22 = int(center_y + dd)new_bbox = (x11, y11, x22, y22)new_bboxes.append(new_bbox)return new_bboxes, landmarks
四、faceNet人脸识别
FaceNet Github地址:
https://github.com/davidsandberg/facenet
参考资料:https://blog.csdn.net/fire_light_/article/details/79592804
Google工程师Florian Schroff,Dmitry Kalenichenko,James Philbin提出了人脸识别FaceNet模型,该模型没有用传统的softmax的方式去进行分类学习,而是抽取其中某一层作为特征,学习一个从图像到欧式空间的编码方法,然后基于这个编码再做人脸识别、人脸验证和人脸聚类等。
FaceNet主要用于验证人脸是否为同一个人,通过人脸识别这个人是谁。FaceNet的主要思想是把人脸图像映射到一个多维空间,通过空间距离表示人脸的相似度。同个人脸图像的空间距离比较小,不同人脸图像的空间距离比较大。这样通过人脸图像的空间映射就可以实现人脸识别,FaceNet中采用基于深度神经网络的图像映射方法和基于triplets(三联子)的loss函数训练神经网络,网络直接输出为128维度的向量空间。
FaceNet的网络结构如下图所示,其中Batch表示人脸的训练数据,接下来是深度卷积神经网络,然后采用L2归一化操作,得到人脸图像的特征表示,最后为三元组(Triplet Loss)的损失函数。
下面是鄙人已经封装好的facenetEmbedding类,其中类函数get_embedding(self,images)方法用于提取facenet的人脸特征embadding,有了人脸embadding特征,就可以比较人脸相似性啦!
class facenetEmbedding:def __init__(self,model_path):self.sess = tf.InteractiveSession()self.sess.run(tf.global_variables_initializer())# Load the modelfacenet.load_model(model_path)# Get input and output tensorsself.images_placeholder = tf.get_default_graph().get_tensor_by_name("input:0")self.tf_embeddings = tf.get_default_graph().get_tensor_by_name("embeddings:0")self.phase_train_placeholder = tf.get_default_graph().get_tensor_by_name("phase_train:0")def get_embedding(self,images):feed_dict = {self.images_placeholder: images, self.phase_train_placeholder: False}embedding = self.sess.run(self.tf_embeddings, feed_dict=feed_dict)return embeddingdef free(self):self.sess.close()
五、产生数据库
既然是人脸识别,数据库肯定要有已知人脸的数据库,不然怎么知道被检测的人脸是哪位大神,所以先制作人脸数据库。
(1)制作人脸数据图库:
把相关大神的人像收集放在dataset/images文件夹下:
特别说明:
这里只收集了4张胡歌和4张周杰伦的单人照片,
注意制作人脸数据图库时,所使用的照片必须是单人照片!!!
若需要新增图库,只需在dataset/images下,新建一个文件夹,如,新增“xietingfeng”(谢霆锋)的文件夹,然后把谢霆锋的单人照片放在里面即可,图片名称可以是任意。
函数image_list,names_list=file_processing.gen_files_labels(images_dir,postfix='jpg')可以获取目录images_dir下所有文件,包括子目录下的所有文件路径(image_list),其中names_list就是子目录的文件名,一般子目录作为样本的标签。
(2)生成embedding数据库
有了人脸数据图库,就可以使用create_dataset.py生成embedding数据库(人脸特征),后面待检测识别的人脸,只需要与这些embedding数据库(人脸特征)进行相似性比较,就可以识别人脸啦!!!!
opencv-python的imread()函数并不支持中文路径,这里在提供一个函数read_image_gbk()方便读取中文路径的图像。详细请看image_processing.py文件
# -*-coding: utf-8 -*-
"""@Project: faceRecognition@File : create_dataset.py@Author : panjq@E-mail : pan_jinquan@163.com@Date : 2018-12-07 11:31:09
"""
import numpy as np
from utils import image_processing , file_processing,debug
import face_recognition
import cv2
import osresize_width = 160
resize_height = 160def get_face_embedding(model_path,files_list, names_list):'''获得embedding数据:param files_list: 图像列表:param names_list: 与files_list一一的名称列表:return:'''# 转换颜色空间RGB or BGRcolorSpace="RGB"# 初始化mtcnn人脸检测face_detect = face_recognition.Facedetection()# 初始化facenetface_net = face_recognition.facenetEmbedding(model_path)embeddings=[] # 用于保存人脸特征数据库label_list=[] # 保存人脸label的名称,与embeddings一一对应for image_path, name in zip(files_list, names_list):print("processing image :{}".format(image_path))# image_path='E:/Face/dataset/bzl/subjectphoto_with_name/谢伟林_179_180.jpg'image = image_processing.read_image_gbk(image_path, colorSpace=colorSpace)# 进行人脸检测,获得bounding_boxbboxes, landmarks = face_detect.detect_face(image)bboxes, landmarks =face_detect.get_square_bboxes(bboxes, landmarks,fixed="height")# image_processing.show_image_boxes("image",image,bboxes)if bboxes == [] or landmarks == []:print("-----no face")continueif len(bboxes) >= 2 or len(landmarks) >= 2:print("-----image have {} faces".format(len(bboxes)))continue# 获得人脸区域face_images = image_processing.get_bboxes_image(image, bboxes, resize_height, resize_width)# 人脸预处理,归一化face_images = image_processing.get_prewhiten_images(face_images,normalization=True)# 获得人脸特征pred_emb = face_net.get_embedding(face_images)embeddings.append(pred_emb)# 可以选择保存image_list或者names_list作为人脸的标签# 测试时建议保存image_list,这样方便知道被检测人脸与哪一张图片相似# label_list.append(image_path)label_list.append(name)return embeddings,label_listdef create_face_embedding(model_path,dataset_path,out_emb_path,out_filename):''':param model_path: faceNet模型路径:param dataset_path: 人脸数据库路径,每一类单独一个文件夹:param out_emb_path: 输出embeddings的路径:param out_filename: 输出与embeddings一一对应的标签:return: None'''files_list,names_list=file_processing.gen_files_labels(dataset_path,postfix='jpg')embeddings,label_list=get_face_embedding(model_path,files_list, names_list)print("label_list:{}".format(label_list))print("have {} label".format(len(label_list)))embeddings=np.asarray(embeddings)np.save(out_emb_path, embeddings)file_processing.write_data(out_filename, label_list, model='w')if __name__ == '__main__':model_path = 'models/20180408-102900'dataset_path='dataset/images'out_emb_path = 'dataset/emb/faceEmbedding.npy'out_filename = 'dataset/emb/name.txt'
六、人脸识别过程
(1)加载人脸数据库
把上面制作的,已知的人脸数据库加载进来:
def load_dataset(dataset_path,filename):'''加载人脸数据库:param dataset_path: embedding.npy文件(faceEmbedding.npy):param filename: labels文件路径路径(name.txt):return:'''compare_emb=np.load(dataset_path)names_list=file_processing.read_data(filename,split=False)return compare_emb,names_list
(2)进行人脸检测
def face_recognition_image(model_path,dataset_path, filename,image_path):# 加载数据库的数据dataset_emb,names_list=load_dataset(dataset_path, filename)# 初始化mtcnn人脸检测face_detect=face_recognition.Facedetection()# 初始化facenetface_net=face_recognition.facenetEmbedding(model_path)image = image_processing.read_image_gbk(image_path)# 获取 判断标识 bounding_box crop_imagebboxes, landmarks = face_detect.detect_face(image)bboxes, landmarks = face_detect.get_square_bboxes(bboxes, landmarks, fixed="height")if bboxes == [] or landmarks == []:print("-----no face")exit(0)print("-----image have {} faces".format(len(bboxes)))face_images = image_processing.get_bboxes_image(image, bboxes, resize_height, resize_width)face_images = image_processing.get_prewhiten_images(face_images)pred_emb=face_net.get_embedding(face_images)pred_name,pred_score=compare_embadding(pred_emb, dataset_emb, names_list)# 在图像上绘制人脸边框和识别的结果show_info=[ n+':'+str(s)[:5] for n,s in zip(pred_name,pred_score)]image_processing.show_image_text("face_recognition", image,bboxes,show_info)
(3)人脸识别(比较相似性)
比较特征向量间的欧式距离
def compare_embadding(pred_emb, dataset_emb, names_list,threshold=0.65):# 为bounding_box 匹配标签pred_num = len(pred_emb)dataset_num = len(dataset_emb)pred_name = []pred_score=[]for i in range(pred_num):dist_list = []for j in range(dataset_num):dist = np.sqrt(np.sum(np.square(np.subtract(pred_emb[i, :], dataset_emb[j, :]))))dist_list.append(dist)min_value = min(dist_list)pred_score.append(min_value)if (min_value > threshold):pred_name.append('unknow')else:pred_name.append(names_list[dist_list.index(min_value)])return pred_name,pred_score
(4)人脸识别效果
一切准备好了,开始run
if __name__=='__main__':model_path='models/20180408-102900'dataset_path='dataset/emb/faceEmbedding.npy'filename='dataset/emb/name.txt'image_path='dataset/test_images/1.jpg'face_recognition_image(model_path, dataset_path, filename,image_path)
说明:
为了方便测试,这里以文件的路径作为人脸label,这样方便知道被检测人脸与哪一张图片最相似。
./dataset/emb_face\huge\huge_1.jpg
./dataset/emb_face\huge\huge_2.jpg
./dataset/emb_face\huge\huge_3.jpg
./dataset/emb_face\huge\huge_4.jpg
./dataset/emb_face\zhoujielun\zhoujielun_1.jpg
./dataset/emb_face\zhoujielun\zhoujielun_2.jpg
./dataset/emb_face\zhoujielun\zhoujielun_3.jpg
./dataset/emb_face\zhoujielun\zhoujielun_4.jpg
对应的label是:
huge
huge
huge
huge
zhoujielun
zhoujielun
zhoujielun
zhoujielun
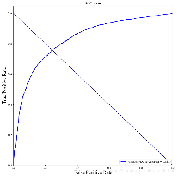
七、模型测评
为了对faceNed性能进行测评,这里提供一个测评文件:evaluation_test.py,该文件会绘制测试文件的ROC曲线,并给出最优阈值,以及FPR, TPR, AUC等参数。
这里的测试数据集是agedb_30,该数据集共有12000张,分为6000对照片,每对照片有一个label,即True和False,对应1和0,表示该对照片是否是同一个人;利用该数据集,就可以绘制模型的ROC曲线了
# -*- coding: utf-8 -*-import os
import pickle
from utils import image_processing,file_processing,evaluation
import cv2
import PIL.Image as Image
import numpy as np
import matplotlib.pyplot as plt
from sklearn import metrics
import face_recognitiondef load_npy(dir_path):issames_path=os.path.join(dir_path,"issames.npy")pred_score_path=os.path.join(dir_path,"pred_score.npy")issames=np.load(issames_path)pred_score=np.load(pred_score_path)return pred_score,issamesdef load_bin(path, image_size=[112,112]):'''加载人脸bin文件数据,bin_files = ['agedb_30', 'cfp_fp', 'lfw', 'calfw', 'cfp_ff', 'cplfw', 'vgg2_fp']:param path::param image_size::return:'''bins, issame_list = pickle.load(open(path, 'rb'), encoding='bytes')data=[]for i in range(len(bins)):_bin = bins[i]img = cv2.imdecode(_bin, -1) # opencv image is bgrimg = image_processing.resize_image(img,resize_height=image_size[0],resize_width=image_size[1])# image_processing.show_image("src",img)data.append(img)i += 1if i % 1000 == 0:print('loading bin', i)data = np.array(data)issames = np.array(issame_list)return data, issamesdef split_data(data):'''按照奇偶项分割数据:param data::return:'''data1 = data[0::2]data2 = data[1::2]return data1,data2def get_pair_scores(faces_data, issames_data, model_path, save_path=None):'''计算分数:param faces_data::param issames_data::param model_path: insightFace模型路径:param save_path::return:'''faces_list1,faces_list2 = split_data(faces_data)face_net=face_recognition.facenetEmbedding(model_path)pred_score=[]i=0for face1,face2,issame in zip(faces_list1, faces_list2, issames_data):# pred_id, pred_scores = faceRec.predict(faces)# 或者使用get_faces_embedding()获得embedding,再比较compare_embedding()face_images1 = image_processing.get_prewhiten_images([face1],normalization=False)face_images2 = image_processing.get_prewhiten_images([face2],normalization=False)face_emb1=face_net.get_embedding(face_images1)face_emb2=face_net.get_embedding(face_images2)# face_emb1 = face_net.get_faces_embedding([face1])# face_emb2 = face_net.get_faces_embedding([face2])dist = np.sqrt(np.sum(np.square(np.subtract(face_emb1, face_emb2))))pred_score.append(dist)i += 1if i % 100 == 0:print('processing data :', i)pred_score=np.array(pred_score).reshape(-1)issames_data= issames_data + 0 # 将true和false转为1/0if save_path is not None:issames_path = os.path.join(save_path, "issames.npy")pred_score_path = os.path.join(save_path, "pred_score.npy")np.save(issames_path, issames_data)np.save(pred_score_path,pred_score)return pred_score, issames_dataif __name__=='__main__':# bin_files = ['agedb_30', 'cfp_fp', 'lfw', 'calfw', 'cfp_ff', 'cplfw', 'vgg2_fp']bin_path='./dataset/faces_emore/agedb_30.bin'model_path = './models/20180408-102900'# 加载bin测试数据faces_data, issames_data=load_bin(bin_path,image_size=[160,160])# 计算分数save_path="./dataset/faces_emore"pred_score, issames_data=get_pair_scores(faces_data, issames_data, model_path, save_path=save_path)pred_score, issames_data=load_npy(dir_path=save_path)# 计算roc曲线fpr, tpr, roc_auc, threshold, optimal_idx=evaluation.get_roc_curve(y_true=issames_data, y_score=pred_score, invert=True, plot_roc=True)print("fpr:{}".format(fpr))print("tpr:{}".format(tpr))print("threshold:{}".format(threshold))print("roc_auc:{}".format(roc_auc))print("optimal_idx :{},best_threshold :{} ".format(optimal_idx,threshold[optimal_idx]))# 测评数据保存evaluation.save_evaluation(fpr, tpr, roc_auc, "evaluation.npz")# 加载测评数据fpr, tpr, roc_auc=evaluation.load_evaluation("evaluation.npz")evaluation.plot_roc_curve(fpr_list=[fpr], tpr_list=[tpr], roc_auc_list=[roc_auc], line_names=["FaceNet"])
对应的ROC曲线如下:optimal_idx :1038,最佳阈值:best_threshold :1.1444087028503418
FaceNet的人脸识别效果并不算好,相比InsightFace模型,就差很多。目前使用InsightFace模型测试,在开数据集可以达到99.6%,在自建的数据集可以达到93%的准确率,比虹软的人脸识别率还高一点,关于InsightFace模型的项目,我还在整理,网友慢慢期待哈,不急!
八、参考资料
【1】《如何应用MTCNN和FaceNet模型实现人脸检测及识别》http://www.uml.org.cn/ai/201806124.asp
技术的道路一个人走着极为艰难?
一身的本领得不施展?
优质的文章得不到曝光?
别担心,
即刻起,CSDN 将为你带来创新创造创变展现的大舞台,
扫描下方二维码,欢迎加入 CSDN 「原力计划」!
◆
精彩推荐
◆
推荐阅读
提高建模效率,改变手工作坊式生产,AutoML的技术研究与应用进展如何了?
2019年上万篇论文发表,这14篇备受瞩目的论文,你都了解吗?
迁移学习前沿研究亟需新鲜血液,深度学习理论不能掉链子
详解 TCP 连接的“ 三次握手 ”与“ 四次挥手 ”
抗住 60 亿次攻击,起底阿里云安全的演进之路 | 问底中国 IT 技术演进
把自己朝九晚五的工作自动化了,有错吗?
什么是数字孪生?
我被裁掉的那一天
这三名男子靠开加密矿池获得7.22 亿美元,却不兑现收益拿去奢侈挥霍……
你点的每个“在看”,我都认真当成了AI
相关文章:

[导入]郁闷`````[原]
阅读全文 类别:职场生涯 查看评论文章来源:http://hi.baidu.com/huqing7002/blog/item/b69a27082063fbd263d98619.html转载于:https://www.cnblogs.com/huqing7002/archive/2007/12/14/1007049.html

code标签的妙用
code标签的秒用是: 当你写了一大版的css或者html或者其他代码,想要去掉代码中多余的空格和换行从而达到压缩的目的的时候,可以新建一个html文件,然后把想要压缩的代码段放到code标签里,保存,浏览器浏览&…

如何定制一款12306抢票浏览器——完结篇
差不多花了一个星期的业余时间去完成了相关的编码。最后也只是使用了5篇文章将整个大题流程和使用的关键技术介绍了一下。其中有很多酸甜苦辣,其中记忆最为深刻的就是我对图像做了处理后,tesseract-ocr对验证码识别的准确度提升非常大。当我还沉浸子在这片喜悦之中时,12306将…

所有各数据库或文件的连接串定义CHM文件.
从www.connectionstrings.com 中制作生成/Files/margiex/DotnetConn.rar
钢铁侠“变身”AI布道师?小罗伯特·唐尼这次推出一部AI科普纪录片
作者 | 若名出品 | AI科技大本营(ID:rgznai100)穿着一身运动便服,脱去了铠甲的“钢铁侠”托尼斯塔克最近出现在荧屏上,他正与身后的AI助手互动,一本正经讲解着“机器学习”、“算法”这些词汇。不过,这个AI…

Wireshark数据抓包教程之Wireshark的基础知识
Wireshark数据抓包教程之Wireshark的基础知识 Wireshark的基础知识 在这个网络信息时代里,计算机安全始终是一个让人揪心的问题,网络安全则有过之而无不及。Wireshark作为国际知名的网络数据抓包和分析工具,可以广泛地应用各种领域࿰…

WMI技术介绍和应用——查询快捷方式、映射磁盘和虚拟内存信息
本文使用了《WMI技术介绍和应用——使用VC编写一个半同步查询WMI服务的类》中代码做为基础。本节只是列出了WQL语句,具体使用参看前面的例子。(转载请指明出于breaksoftware的csdn博客) 因为将要介绍的三个模块都比较简单,故将这三…
不要痴迷蓝牙耳机了,出门选这个准没错,99W+人的选择
01有一种耳机啊它是真的不适合在长途火车上使用那就蓝牙耳机除非你带充电宝还有一种耳机啊它是真的不适合丢那就是带有充电仓的耳机因为充电仓丢了这个耳机基本上就废了02这不,我就经历了,活生生的例子出差的路上在火车上把耳机充电仓给弄丢了只剩孤零零…

结构化文件存取
纲要:AssignFile: 关联Rewrite: 创建并打开一个新文件, 如已存在则覆盖Reset: 打开已存在的文件; 追加也要用它先打开, 然后再移动指针; Append 是文本文件专用的CloseFile: 关闭FileSize: 记录数FilePos: 返回文件的当前位置Seek: 把文件指针移到指定位置(只用于结构化文件)Eo…

_00021 尼娜抹微笑伊拉克_谁的的最离奇的异常第二阶段 Jedis pool.returnResource(jedis)...
笔者博文:妳那伊抹微笑博客地址:http://blog.csdn.net/u012185296博文标题:_00021 妳那伊抹微笑_谁的异常最诡异第二期之 Jedis pool.returnResource(jedis)个性签名:世界上最遥远的距离不是天涯,也不是海角࿰…

WMI技术介绍和应用——查询系统信息
本文使用了《WMI技术介绍和应用——使用VC编写一个半同步查询WMI服务的类》中代码做为基础。本节只是列出了WQL语句,具体使用参看前面的例子。(转载请指明出于breaksoftware的csdn博客) 本机主要知识点是Win32_ComputerSystem类。通过该类我们…
利用OpenCV实现抖音最强变脸术 | CSDN原力计划
作者 | 亓斌来源 | CSDN原力计划获奖作品(*点击阅读原文,查看作者更多文章)最近一个“最强变脸术”又火爆抖音啦,还不知道的朋友建议先打开抖音,搜索“最强变脸术”看个十来个视频再回来看这篇文章。视频看起来炫酷&am…

思科PIX防火墙的实际应用配置
PIX:一个合法IP完成inside、outside和dmz之间的访问 现有条件:100M宽带接入,分配一个合法的IP(222.134.135.98)(只有1个静态IP是否够用?);PiX515e-r-DMZ-BUN1台ÿ…

CommonJS 的 AMD 规范
异步模块定义(Asynchronous Module Definition,简称 AMD)API 描述了一种定义模块的机制,模块及其依赖模块可以通过这种机制进行加载。该机制特别适用于浏览器。 本规范曾被称为 Modules Transport/C,但本规范主要不是用…
易观的大数据中台之路
作者 | 易观CTO郭炜出品 | AI科技大本营(ID:rgznai100)本文为CSDN即将推出的《新战场:决胜中台》专刊的第 2 篇文章。什么是数据中台?中台的定义来自于投资银行,简单说来,投行当中前台是赚钱的、后台是做支…

WMI技术介绍和应用——查询系统信息和补丁包信息
本文使用了《 WMI技术介绍和应用——使用VC编写一个半同步查询WMI服务的类》中代码做为基础。本节只是列出了WQL语句,具体使用参看前面的例子。( 转载请指明出于breaksoftware的csdn博客)本文主要知识点是Win32_OperatingSystem和Win32_Quick…

Winform与Webform中的对话框
参考MSDNDialogResult result MessageBox.Show("见过打劫的没?", "打、打、打劫", MessageBoxButtons.OKCancel, MessageBoxIcon.Information, MessageBoxDefaultButton.Button1);switch (result){case DialogResult.OK:MessageBox.Show("你按了确定…
启动Genymotion时报错Failed to initialize backend EGL display
在启动Genymotion的时候报错: video card说的是显卡,你的显卡可能不支持 OpenGL2.0,或者你装的驱动有问题。解决办法:将驱动重新安装一下。可直接下载一个如“驱动人生“一样的驱动软件,把你的显卡驱动更新一下。转载…
新年新方向-斩获新职位
^_^上个星期斩获公司内部竞聘职位:项目管理部总经理,高兴,发展方向变了,以后我会多写一些项目管理的文章和大家分享。WPF的学习和分享也不会停下来,我要全面发展,做社会主义的接班人!YE!项目管理部总经理职…
清华官宣:前百度总裁张亚勤正式加盟清华大学
整理 | Jane出品 | AI科技大本营(ID:rgznai100)12月31日,2019 年的最后一天,在大家沉浸在「总结过去」、「展望未来」之时,清华大学刚刚官宣了一则消息:前百度总裁张亚勤正式加盟清华大学&#…

WMI技术介绍和应用——查询时间信息
本文使用了《WMI技术介绍和应用——使用VC编写一个半同步查询WMI服务的类》中代码做为基础。本节只是列出了WQL语句,具体使用参看前面的例子。(转载请指明出于breaksoftware的csdn博客) 本文主要介绍Win32_LocalTime和Win32_UTCTime。 如何使…

问题-[VMware Workstation]断电后,重启电脑,之后就提示“内部错误”
问题现象:突然断电后,重启电脑,再打开VMware Workstation,启动不了。之后就提示“内部错误”。问题原因:希望高人指点。问题处理:关闭VMware Workstation,在快捷方式上,右击…

FC SAN与IP SAN的比较
SAN(Storage Area Network,存储区域网络)是一个由存储设备和系统部件构成的网络。所有的通信都在一个与应用网络隔离的单独的网络上完成,可以被用来集中和共享存储资源。SAN不但提供了对数据设备的高性能连接,提高了数…
“数学不行,干啥也不行!”骨灰级程序员:其实你们都是瞎努力
编程圈一直都流传着一个段子:一流程序员靠数学,二流程序员靠算法,末端程序员靠百度,低端看高端就是黑魔法。懂的人其实都知道,这不是段子,其实就是程序员的真实写照。想一想,我们日常学习、求职…

WMI技术介绍和应用——查询系统服务
本文使用了《 WMI技术介绍和应用——使用VC编写一个半同步查询WMI服务的类》中代码做为基础。本节只是列出了WQL语句,具体使用参看前面的例子。( 转载请指明出于breaksoftware的csdn博客)本文主要介绍Win32_Service类。 如何使用WMI枚举系统中…
送书 | 2020年新一天,用这本书开启你的NLP学习之路!
本文选自电子工业出版社博文视点新书《大数据智能:数据驱动的自然语言处理技术》。本书作者:清华大学刘知远、薄言RSVP.ai崔安颀、腾讯张开旭、清华大学韩文弢、中国人民大学赵鑫、厦门大学苏劲松、罗格斯大学张永锋、北京大学严睿、哈尔滨工业大学&…

如何在父进程中读取子(外部)进程的标准输出和标准错误输出结果
最近接手一个小项目,要求使用谷歌的aapt.exe获取apk软件包中的信息。依稀记得去年年中时,有个同事也问过我如何获取被调用进程的输出结果,当时还研究了一番,只是没有做整理。今天花点时间,将该方法整理成文。ÿ…

Ruby环境的安装(In Ubuntu 7.10)
今天开始学习Ruby。准备的图书呢,就是《Programming Ruby - 2nd》。为了准备一个实验的环境,于是要给我的Ubuntu上安装Ruby的环境。1、安装解释器:sudo apt-get install ruby 2、安装一个即时执行工具irb:由于第一部安装的结果…

基于animation.css实现动画旋转特效
分享一款基于animation.css实现动画旋转特效。这是一款基于CSS3实现的酷炫的动画旋转特效代码。效果图如下: 在线预览 源码下载 实现的代码。 html代码: <div class"wrap"><div class"mod_bg"><div class"bg…

VC:CString用法整理(转载)
1.CString::IsEmpty BOOL IsEmpty( ) const; 返回值:如果CString 对象的长度为0,则返回非零值;否则返回0。 说明:此成员函数用来测试一个CString 对象是否是空的。 示例: 下面的例子说明了如何使用CString::IsEmp…