用于时序动作提名生成任务,爱奇艺提出BC-GNN图神经网络 | ECCV 2020
时序动作提名生成任务可以从未处理的长视频中定位出包含动作内容的片段,对视频理解以及时序行为检测任务等有着重要的作用。随着视频数量的激增以及视频内容的丰富,对时序动作提名算法的关注和需求也得到巨大提升。然而目前的方法多采用先生成起止边界,再将起止边界组合成候选动作提名,最后生成候选动作提名的内容置信度,这种处理方式忽略了边界预测与内容预测之间的联系,从而影响了该任务最终效果的进一步提升。
本论文提出的方法在ActivityNet-1.3 和 THUMOS14这两个公开数据集上的两项任务:时序动作提名以及时序行为检测任务上均取得目前最好的效果。在本文中,我们将边界和内容分别看做是节点和边,构建边界内容图,对边界和内容的关系进行建模,并提出一种新的推理方式,使用融合边界和内容的信息更新对应的节点和边的特征。使用图对有关联的步骤进行建模的方式具有一定的通用性,可以应用到相似的任务中,比如应用到视频理解 视频人物分析 视频广告点位生成等。
概述
时序动作提名生成(Temporal action proposal generation)任务需要从未处理的长视频中精确定位包含高质量动作内容的片段,该任务在视频理解中起着重要的作用。现有的方法多采用先生成起止边界,再将起止边界组合成候选动作提名,然后再生成候选时序片段的内容置信度,这种方式处理方式忽略了边界预测与内容预测之间的联系,为了解决这个问题,爱奇艺提出了Boundary Content Graph Neural Network (BC-GNN),通过图神经网络对边界和内容预测之间的关系进行建模,通过利用两者之间的内在联系生成更精确的时序边界和可靠的内容置信度分数。
在BC-GNN中,将候选时序片段的内容(content)作为图的边(edge),将候选时序片段的边界(boundary,开始点和结束点)作为图的节点(node),然后设计了一种更新边和节点特征的推理方法,将更新之后的特征用来预测起始点概率和内容的置信度,最终生成高质量的proposal。我们的方法最终在ActivityNet-1.3 和 THUMOS14这两个公开数据集的时序动作提名生成任务以及时序行为检测任务上均达到了领先水平。
方法介绍

上图是BC-GNN的整体框架图,主要包括五个流程,分别为1)特征提取(Feature Encoding),2)基础模块(Base Module), 3)图构建模块(Graph Construction Module, GCM), 4)图推理模块(Graph Reasoning Module, GRM) 和5)输出模块 (Output Module)
1) 特征提取模块:
我们使用在视频行为识别中取得良好效果的two-stream网络将视频编码成特征。Two-stream由spatial和temporal两个分支网络构成,spatial分支网络的输入是单张rgb图像,用来提取空间特征,temporal分支网络的输入是多张光流图像,用来提取运动特征。对于一个未处理的长视频,将对应的视频帧切分为T个可处理单元(snippet),每个可处理单元经two-stream之后被编码成为D维的特征向量,其中D维特征向量由spatial和temporal分支网络的最后一层输出拼接而成,从而视频被编码成一个TxD的特征矩阵,T是特征序列的长度,D表示特征的维度。
BC-GNN主要包括四个模块:基础模块、图构建模块、图推理模块和输出模块
2) 基础模块:
基础模块由两层1D卷积组成,主要用来扩大感受野并作为整个网络的基础。
3) 图构建模块:

图构建模块用来构建一个边界内容图,构建图的过程如上图所示。我们构建的边界内容图是一个二分图,二分图是一类特殊的图,它的顶点由两个独立集U和V组成,并且所有的边都是连结一个U中的点和一个V中的点。在构建图的过程中,视频的每个处理单元snippet对应的时刻可以看作是proposal的起始点和结束点,从而可以得到起始点集合Ns和结束点集合Ne,Ns和Ne作为边界内容图的两个互相独立的顶点集。用ts,i、te,j分别表示Ns中的任意起始点ns,i和Ne中的任意结束点ne,j对应的时刻,其中i,j=1,2,…,T,当满足te,j > ts,i 时ns,i和ne,j之间有边连接,用di,j表示。
当连接起始点和结束点之间的边没有方向时可以得到(a)所示的无向图。由于起始点代表proposal的开始时间,结束点代表proposal的结束时间,连接起始点和结束点的边应该带有方向性,并且从起始点到结束点的边代表的信息与从结束点到起始点的边代表的信息是不同的,因此我们将(a)所示的无向图转换为图(b)所示的有向图。具体的转换过程为,将无向图中的无向边分成两个有相同节点和相反方向的有向边。
在进行图推理操作之前,我们为构建的边界内容图中的每个节点和边赋予其特征。为了得到节点和边的特征,我们在基础模块后面连接三个并行的1D卷积,从而得到三个特征矩阵,分别为起始点特征矩阵Fs、结束点特征矩阵Fe和内容特征矩阵Fc,这三个特征矩阵的时间维度和特征维度均相同,大小为TxD’。对于任意起始节点ns,i,对应的时间为ts,i,则该节点的特征为Fs特征矩阵第i-1行对应的特征向量。同理,对于任意的结束节点ne,j,其特征为Fe特征矩阵第j-1行对应的特征向量。若ns,i和ne,j之间有边连接,边di,j对应的特征获取过程为:1)首先对Fc特征矩阵第i-1行到j-1对应的特征矩阵在时序方向上进行线性插值,得到固定大小的特征矩阵NxD’(N为人为设置的常数);
2)然后将NxD’转化为(NxD’)x1;
3)在(N·D’)x1特征后连接一个全连接层,得到维度为D’的特征向量即为边di,j对应的特征。在有向图中,节点和边的特征更新之前,连接两个节点方向不同的两条边共享同一个特征向量。
4) 图推理模块:
为了实现节点和边缘之间的信息交换,爱奇艺提出了一种新的图推理方法,该推理方法可分为边特征更新和节点特征更新两个步骤。边特征更新步骤旨在汇总有边连接的两个节点的属性,更新过程如下所示:

其中σ表示激活函数ReLU,θs2e和θe2s代表不同的可训练的参数,×代表矩阵相乘,∗代表element-wise相乘。
节点特征更新步骤旨在聚合边及其相邻节点的属性,更新过程如下所示:

其中e(h,t)表示从头结点h指向尾节点t的边对应的特征,K 表示以 h为头节点的边的总数。为了避免输出特征数值规模的增加,我们在更新节点特征前先对对应的边的特征进行归一化,之后再把更新后的边的特征作为相应头结点特征的权重。σ表示激活函数ReLU,θnode代表可训练的参数。
5) 输出模块:
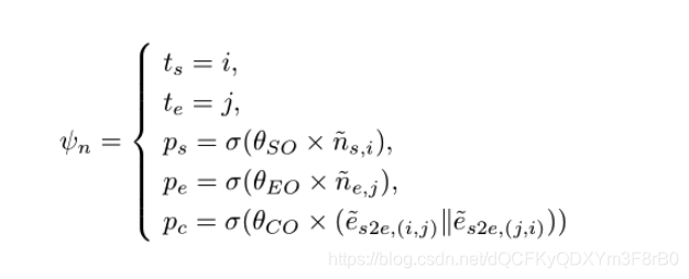
如BC-GNN的整体框架图所示,候选proposal由一对节点与连接它的边产生,并且其起始点、结束点和内容的置信度分别基于更新后的节点特征和边特征生成,具体过程如下所示:

实验
我们在ActivityNet-1.3和THUMOS-14这两个公开数据集上分别进行时序动作提名生成实验和时序行为检测实验。
1)时序动作提名生成实验:

从上面两个表中可以看出,我们在两个通用的数据集上的效果均达到领先水平。
2)时序行为检测实验:

采用对proposal进行分类的方式得到时序行为检测结果,从上面两个图中可以看出,在两个数据上我们提出的方法均取得领先的结果。
3)消融实验:
在BC-GNN算法中,相比于直接使用传统的GCN,将无向图转变成有向图,并且增加了边特征更新步骤,为了验证这两个策略的有效性,在ActivityNet-1.3数据集的时序动作提名生成任务上进行了消融实验。从下图的表格和结果曲线上可以看出,这两种策略均有利于结果的提升。 
创新点
相比于目前通用的将边界预测与内容预测划分为两个步骤的算法,本文提出的方法使用图神经网络,对边界预测与内容预测的关系进行建模,将边界预测和内容预测的过程联系起来。高质量的动作内容有利于边界的调整,同时精确的边界定位会帮助内容置信度的预测。此外,我们还提出一种新的图推理方法,融合边界信息和内容信息去更新对应的节点和边的信息。本文提出的对有关联的两个步骤进行建模的方法可以应用于其他相似任务中。
包括本文在内,目前学术界在时序行为检测任务上取得不错效果的方法大多采用先提取动作提名再对动作提名进行分类的方法,这种两阶段的方式增加了整个流程的复杂度和运算量,未来将针对这类问题将有更多的设计与探索。
论文收录链接:
https://eccv2020.eu/accepted-papers
阅读全文,可获取论文原文:
http://arxiv.org/abs/2008.01432
相关文章:

剖析ASP.NET下部构造
crystal译yesky(前面我已说过ASP.NET拥有全新的下部构造)当我说到全新的下部构造……我得再次强调,是全新的下部构造! 它不只 是 ASP 的一个简单变化. 在此引入收管代码(managed code)这样一个全新概念,它横贯整个视窗开发平台. 受管代码在 NGWS Runtime下运行. NGWS Runtime是…

超大磁盘分区工具parted使用介绍(一)
使用parted GNU Parted有两种运行模式:命令行模式和交互模式。 1.命令行模式的选项 当你调用命令行模式时,parted的语法是这样的: 格式1# parted [option] device 格式2# parted [option] device [command [argument]] 格式1&am…

Sea.js学习4——Sea.js的配置
可以对 Sea.js 进行配置,让模块编写、开发调试更方便。 seajs.config seajs.config(options) 用来进行配置的方法。 seajs.config({// 别名配置alias: {es5-safe: gallery/es5-safe/0.9.3/es5-safe,json: gallery/json/1.0.2/json,jquery: jquery/jquery/1.10.1/jqu…

SQL Server 性能基线和监控
就讲讲监控那些值,基线抓的是那些值。如何做告警 环境:windows 2008r2,sql server 2008r2 sp1 性能基线: cpu: \Processor(_Total)\% Processor Time \Processor(_Total)\% Privileged Time \SQLServer:SQL Statistics\Bat…

ASP.NET特写
作者: 仙人掌工作室 创建动态Web页面的新技术已经以CLR服务为基础全部重新改写。到目前为止,所有.NET提供的语言都可用于编写ASP.NET页面,但页面的扩展名和ASP 3.0的不同。具体地说,简单Web页面以“.aspx”为扩展名,…
Google出品,EfficientNet在目标检测达到最新SOTA | CVPR 2020
作者 | tanmingxing,rpang,qvl 来源 | 晓飞的算法工程笔记() 介绍 目前目标检测领域,高精度的模型通常需要很大的参数量和计算量,而轻量级的网络则一般都会牺牲精度。因此,论文希望建立一个可伸…

存储过程和存储函数初步
2019独角兽企业重金招聘Python工程师标准>>> 存储过程和函数初步 简单的来说,存储过程就是一条或者多条 SQL 语句的集合,可视为批处理文件,但是其作用不仅限于批处理。 ###存储程序可以分为存储过程和函数。 MySQL 中创建存储过程…

asp.net 入门的五个步骤
作者: rob howard 步骤 1:下载和安装 .net sdk asp.net 是作为 .net sdk 的一部分提供的,它是创建、生成和测试基于 .net framework 的应用程序所需要的所有技术的集合。要下载和安装 .net sdk,请前往 msdn online .net 开发人…
我帮公司财务写了个“群发工资条”的Python脚本
作者 | 黄伟呢来源 | 数据分析与统计学之美介绍这是一个很好的Python自动化的案例。对于小公司,采用手动方式一个个发送邮件还是可以的。如果一个上百号,上千号,或者更大规模的公司,我们再一个个发送工资条邮件,就太浪…

[转] vim的复制粘贴小结
转载自: http://blogread.cn/it/article.php?id304 用vim这么久了,始终也不知道怎么在vim中使用系统粘贴板,通常要在网上复制一段代码都是先gedit打开文件,中键粘贴后关闭,然后再用vim打开编辑,真的不爽;上…

CCNA基础 IP地址子网划分
例:1.2.3.4/28 解析0:https://ws2.sinaimg.cn/large/006aKfj6jw1fa09e02m53j30u01hc7av.jpg 解析1:子网数量:2^n-x ( N表示 "/" 后面的数字;X表示8或16或24 ) (子网数量需要减去8或16视情况决…

一位IT從業人員的心路歷程
一位IT從業人員的心路歷程作者:章立民「Statgraphics統計繪圖入門詳論」是我的第一本著作,時值1990年9月,當時我還是一位大三升大四的學生。屈指算算,14年來,我已經撰寫了60本以上的書籍(簡體版未計算在內),…
面了大厂的 Python 岗后,炸了!
听说 Python 很难学?难在哪里?听说学完不知道做什么,为什么?结合我最近这些年的 Python 学习、开发经验,发现 90% 的人在初学 Python 时都会遇到下面这些问题——1. 没经验根本不知道从何学起,而且应用方向…

{} 与 function() { } , 选用空对象{}来存放keyValue
虽说js里面什么都能当对象,也能用填鸭式方法任意给对象添加属性,属性赋值.但是有些js内置的对象,类型属性也是没办法覆盖的。 贪多必失,写了一个用操作url 的js工具类,这个类上面有个属性叫queryString,我原…

java/android 设计模式学习笔记(1)--- 单例模式
前段时间公司一些同事在讨论单例模式(我是最渣的一个,都插不上嘴 T__T ),这个模式使用的频率很高,也可能是很多人最熟悉的设计模式,当然单例模式也算是最简单的设计模式之一吧,简单归简单&#…

实例解说.Net构架下的加密编程
yesky(张悦■yesky) http://www.yesky.com/SoftChannel/72342380484755456/20031225/1756613.shtml 很久以前就一直想写一个加密程序,但是一直感到太麻烦而没有动手,不过在前段时间学习.NET的过程中发现.NET的框架中封装了与加密有关的类。而且要在.NE…
人工智能新手入门学习路线!附学习资源合集
有段时间没跟大家分享编程资源福利了!今天为大家整理了人工智能新手入门学习路线,同时附700分钟的学习资源合集,相信这套福利可以帮你顺利入行AI!文末领取全部资料。一、AI基础好课学习资料整理(约317分钟)…

数据还原到指定时间点的处理示例
--创建测试数据库CREATE DATABASE DbGO--对数据库进行备份BACKUP DATABASE Db TO DISKc:\db.bak WITH FORMATGO--创建测试表CREATE TABLE Db.dbo.TB_test(ID int)--延时1秒钟,再进行后面的操作(这是由于SQL Server的时间精度最大为百分之三秒,不延时的话,可能会导致还原到时间点…

kvm cpu的亲和性绑定配置
1.CPU的绑定配置进程的处理器亲和性(process affinity):指将进程绑定到特定的一个或多个cpu上去执行,而不允许将进程调度到其他cpu上。物理cpu:表示真实的cpu个数逻辑cpu:表示所有拥有一个完整真实cpu功能的…
李开复对话Yoshua Bengio:AI技术的下一个突破
7月23日,在SGInnovate主办的“深度科技(Deep Tech)造福人类”活动上,创新工场董事长兼CEO李开复与Element AI联合创始人Yoshua Bengio进行了一场对话,讨论了人工智能的未来发展。Yoshua Bengio是深度学习三大发明人之一…

单链表功能大全
单链表很全的例子,增加,删除,排序,都有了 #include <stdio.h>#include <stdlib.h>typedef struct node{int nDate;struct node *pstnext;}Node;//链表输出void output(Node *head){Node *p head->pstnext;while(N…

Access外键 级联更新、删除
工具栏-->"关系"。 打开主表和从表。 将主表的字段拖动到从表的对应字段。 (两个字段要求类型相同。 如果主表是自动编号,那么从表用长整型.) Access添加外键约束(1)"实施完整性约束"(2)"左联接"(3)"实…

20161124网络爬虫技术学习
参考书籍:《自己动手写网络爬虫》 网络爬虫的基本操作是抓取网页。 “打开”网页的过程其实就是浏览器作为一个浏览的“客户端”,向服务器端发送了一次请穷求,把服务器端的文件“抓”到本地,再进行解释,展现。更进一步…

关于何种情况下使用DataGrid、DataList或Repeater的一些讨论
作者:Scott Mitchell [概述] WEB开发自从有了基于脚本的WEB编程技术(如ASP)以来,经历了一个漫长的过程。通过使用微软的ASP.Net技术,传统的ASP中大量的、单调乏味的、重复性的编程工作成为了历史…

UDP客户端不用绑定吗IP和端口?
2019独角兽企业重金招聘Python工程师标准>>> 书上都是这么说的,UDP客户端不用绑定IP和端口,操作系统会给它自动分配端口。。。。 但是虽然没有显示绑定,但是操作系统却似乎做了些隐蔽的事情。 首先,在客户端࿰…
算法实现太难了?机器学习也需要开源软件
作者 | Soren Sonnenburg等译者 | 刘畅出品 | AI科技大本营(ID:rgznai100)导读:开源工具已经趋于成熟,这使其能构建大规模的自然场景下的系统。与此同时,机器学习领域为各种应用开发了大量强大的学习算法。但是&#x…

数据库备份定期删除程序的开发。
第一.最近客户的服务器数据库备份每天都在进行,随着数据量的不断的增加,备份也在不断的进行变大。 第二.于是一些问题就出现了客户的服务器的磁盘的空间有限,定期数据库备份文件太大而导致无法进行保存问题。 第三.从而导致了服务器宕机以及服…

Repeater控件的分页问题
作者:zhoubinmail.sdu.edu.cn以前做ASP的时间不算短,可是做ASP.NET我是个新手。前几天做项目,遇到一个问题,要求比较复杂的数据格式显示,用DataGrid非常难实现,后来改用了Repeater控件来实现。不过这样就带…
华为昇腾AI全栈知识深入解读,师资培训沙龙深圳场圆满落幕!
头图 | 视觉中国极度缺乏AI人才,已成为中国人工智能产业发展道路上的瓶颈。在国家政策的支持下,众高校初建AI专业者甚多,但高校教师应掌握哪些知识储备来传道授业,大家都是“摸着石头过河”。将高校AI人才培养教学大纲与厂商成熟落…

[转载] 信息系统项目管理师考试论文写作要点
来源:信管网 网址:http://www.cnitpm.com/pm/4323.html (1)在论文写作之前,先不要急着动笔,认真把题看清楚,选择自己熟悉的论文(考试时,一般是二选一)&#x…