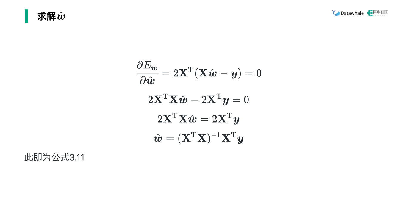
谢文睿:西瓜书 + 南瓜书 吃瓜系列 2. 多元线性回归
Datawhale南瓜书是经典机器学习教材《机器学习》(西瓜书)的公式推导解析指南,旨在让在学习西瓜书的过程中,再也没有难推的公式,学好机器学习。
以往内容:
- 西瓜书公式推导讲解来了!
- 0. 导学
- 1. 一元线性回归
录播视频:
https://www.bilibili.com/video/BV1Mh411e7VU

直播内容:
















后台关键词回复关键词「南瓜书」,可加入南瓜书读者交流群,一起交流学习,让西瓜书没有难推的公式!
相关文章:

UI设计培训分享:ui设计师如何培养设计思维?
作为一名UI设计师,工作上经常会遇到思维碰撞的问题,培养自己的设计思维是大部分UI设计师都需要的,那么ui设计师如何培养设计思维呢?来看看下面的详细介绍。 UI设计培训分享:ui设计师如何培养设计思维? 一、因舍而得 正如我们看到…

[转载红鱼儿]kbmmw 开发点滴:ErrorTable用法
TkbmMWClientQuery有一个ErrorTable属性,用于记录提交Query时返回的错误结果。当用户保存修改的业务数据,出错时,可以用ErrorTable定位出错的记录并提示错误信息。 下面是实现代码: procedure TForm2.Button4Click(Sender: TObjec…

ijkplayer iOS集成
2019独角兽企业重金招聘Python工程师标准>>> http://www.jianshu.com/p/1f06b27b3ac0 如果按楼主的方式配置后还编译报错,可能的原因是,需要将环境设置成C混编环境,可以直接将AppDelegate.m 改名成AppDelegate.mm 即可 转载于:htt…

【Whalepaper】CV论文研读 - OneNet:Towards End-to-End One-Stage Object Detection
Whalepaper是由周郴莲负责的一个每周分享论文的活动。 NLP 论文分享:每周日 晚上 九点CV 论文分享: 每周日 晚上 九点Res 论文分享:每周六 晚上 九点半 欢迎对paper感兴趣的人加入我们的分享啊!!! 分享人…

软件测试培训分享:做软件测试工作如何清楚的描述一个bug
一名合格的软件测试工程师是需要清楚的交代自己的工作任务的,必须要清楚的告诉技术员出现的bug,那么做软件测试工作如何清楚的描述一个bug呢?来看看下面的详细介绍。 软件测试培训分享:做软件测试工作如何清楚的描述一个bug? 发现问题的版本…

kvm虚拟化学习笔记(十七)之KVM到KVM之v2v迁移
1.源KVM虚拟主机node1(1).查看源KVM虚拟主机上的虚拟机列表,本文计划将CentOS6.5-01虚拟机迁移到其它KVM虚拟主机中。[rootnode1 ~]# virsh list --allId Name State ----------------------------------------------------- CentOS6.5-01 …

UVA 216 Getting in Line
大意:给你一些定点,让你以代价最小的边将所有的点连起来。 思路:数据范围很小,可以通过最小生成树或者回溯来解决。 最小生成树去写时不知道哪错了,于是用回溯模拟了一遍,相当于模拟一个数组的全排列。 AC …

【青少年编程】【三级】猜数字
Scratch竞赛交流群已成立(适合6至18周岁的青少年),公众号后台回复【Scratch】,即可进入。如果加入了之前的社群不需要重复加入。 微信后台回复“资料下载”可获取以往学习的材料(视频、代码、文档)。 猜数字…

参加web前端开发培训具体要学什么内容
学习web前端技术不是一天两天就能学会的,想要成为一名合格的web前端工程师,一定要进行系统的培训学习,那么下面小编就为大家详细的介绍一下参加web前端开发培训具体要学什么内容? 参加web前端开发培训具体要学什么内容? 一、了解web前端 we…

最长公共上升子序列 LCIS
关于子序列什么什么的问题,以前一直没怎么在意过,直到省赛突然考了一个赤裸裸的LCIS,这下才着急了,因为忘记怎么做了,而且模版也没有带。从第三名一直掉到第11名,而且超上来的,全都是会做这题的…
【组队学习】【26期】动手学数据分析
动手学数据分析 论坛版块: http://datawhale.club/c/team-learning/25-category/25 开源内容: https://github.com/datawhalechina/hands-on-data-analysis 学习目标 了解数据分析中基本库的操作(比如:pandas,numpy和matplo…

利用FFmpeg切割视频
关键词:FFmpeg,seek,ss,t,to,搜索,定位介绍如果你想要从输入文件中切割一部分,需要用到ss选项。快速定位需要将ss放在输入文件的前面(即-i的前面)ffmpeg-ss 00:03:00 -i …

哪些人适合参加软件测试培训?
想要进入互联网行业也不是一句两句那么简单的,近几年,很多人都想要学习软件测试技术,通过做软件测试岗位进入到互联网行业,那么所有人都可以学习这个技术吗?我们下面就来详细的了解一下哪些人适合参加软件测试培训? 哪些人适合参…

Linux的su命令,sudo命令和限制root远程登录
3.7 su命令: su命令是用来切换用户的,例如我要从root用户切换到user2用户: 这个 - 选项是彻底切换用户的意思,如果不加 - 选项也可以,但是切换得不彻底,例如当前的家目录还是root,环境变量也还是…

MongoDB 标准连接字符串
MongoDB 标准连接字符串mongodb://[username:password]host1[:port1][,host2[:port2],…[,hostN[:portN]]][/[database][?options]]注:并非所有MongoDB驱动都支持完整的连接字符串,不支持此格式连接字串的驱动会有替代连接方案,具体请参照驱…

谢文睿:西瓜书 + 南瓜书 吃瓜系列 3. 对数几率回归
Datawhale南瓜书是经典机器学习教材《机器学习》(西瓜书)的公式推导解析指南,旨在让在学习西瓜书的过程中,再也没有难推的公式,学好机器学习。 以往内容: 西瓜书公式推导讲解来了!0. 导学1. 一…

零基础ui设计培训一定要知道字体设计规则
作为一名UI设计师,最最重要的就是字体设计这方面,很多UI设计工作中,字体是必不可缺的,下面小编就为大家详细的介绍一下零基础ui设计培训一定要知道字体设计规则。 零基础ui设计培训一定要知道字体设计规则: 在计算机普…

centos 脚本基础练习1
1,写一个脚本:判断当前系统上是否有用户的默认shell 为bash;如果有,就显示有多少个这类用户;否则就显示没有这类用户;[rootlocalhost mscripts]# cat lx1.sh #!/bin/bashgrep "bash$" /etc/passw…
【组队学习】【26期】图神经网络
图神经网络 论坛版块: http://datawhale.club/c/team-learning/27-category/26 开源内容: https://github.com/datawhalechina/team-learning-nlp/tree/master/GNN 学习目标 我们的组队学习将带领大家入门图神经网络,为大家今后在学习和…

as3回调方法模拟事件监听
//Client.as package callback{import flash.display.Sprite;public class Client extends Sprite{public function Client() {//调用Seriver类的callFun方法,并把clientFun方法传给callFun方法var server : Server new Server();server.callFun(clientFun);}//定义一个回调方…

java培训教程:什么是匿名内部类?怎样创建匿名内部类?
本期java教程要为大家分享的是关于java中的匿名内部类,相信很多同学在学java技术的时候有了解过,下面我们就来详细的看一下。 java培训教程:什么是匿名内部类?怎样创建匿名内部类?匿名内部类是没有名称的内部类。在Java中调用某个方法时&am…

lvs后端realserver的vip管理脚本lvs-realsvr.sh
lvs后端realserver的vip管理脚本lvs-realsvr.sh 12345678910111213141516171819202122232425262728293031323334353637383940414243444546474849505152535455565758596061626364656667#!/bin/bash# # 2015/3/27# lvs real server## chkconfig: - 85 15# description: contro…
【组队学习】【26期】Linux教程
Linux教程 论坛版块: http://datawhale.club/c/team-learning/27-category/27 开源内容: https://github.com/datawhalechina/team-learning-program/tree/master/Linux 学习目标 Linux组队学习形式主要为理论代码实践的方式,学习结束后…

java培训机构如何选择适合自己的
java培训机构如今在市面上是越来越多了,主要还是大多数人想要进入到互联网行业,都会先选择学习java技术,那么下面我们就来详细的了解一下java培训机构如何选择适合自己的吧。 java培训机构如何选择适合自己的?结合以往学长学姐们的反馈及总结…

黑马程序员5 多线程
------- android培训、java培训、期待与您交流! ---------- 创建线程的第一种方式:继承Thread类。步骤:1,定义类继承Thread。2,复写Thread类中的run方法。 目的:将自定义代码存储在run方法。让线程运行。 3…

解决 mac ox 终端显示bogon 的问题
方法一. 将DNS设置为Google的DNS服务器地址 8.8.8.8 方法二. 在终端进行设置 sudo hostname yourname 转载于:https://www.cnblogs.com/yshuai/p/7911869.html
【组队学习】【26期】编程实践(Django网站开发)
编程实践(Django网站开发) 论坛版块: http://datawhale.club/c/team-learning/28-category/28 开源内容: https://github.com/datawhalechina/team-learning-program/tree/master/Django 学习目标 从零开始搭建一个属于自己…

asp.net 防注入
http://www.cnblogs.com/zxlin25/archive/2009/03/09/1407237.html转载于:https://www.cnblogs.com/alwayscainiao/archive/2012/10/23/2735011.html

ui设计师要懂哪些B端设计原则?
UI设计师是一个非常广泛的职位,它所接触的工作内容是非常多的,其中B端的设计内容就是一种,产品设计对于不同行业、不同公司、不同决策者都会有很大的差异,没有最好的设计原则,只有最适合你产品的原则。今天小编就为大家…

StartOS 5.0 正式版发布
StartOS 5.0正式版发布了。 StartOS —— 是由东莞瓦力网络科技有限公司发行的开源操作系统,符合国人的使用习惯,预装常用的精品软件,操作系统具有运行速度快,安全稳定,界面美观,操作简洁明快 等特点。Star…