反向春运成为新趋势 客流年增9%
资料图:春运。殷立勤 摄
中新社北京1月18日电 (记者 周音)近年来,反向春运成为新趋势。中国铁路总公司18日披露,反向春运客流以年增9%左右的速度增长。
传统春运是大城市返乡回家过年。反向春运是年轻人选择将老家的父母和孩子接来自己工作的大城市过年。
2019年春运将至,今年选择反向春运人群大幅增加,过春节去大城市团圆和旅游成为时尚。消息指,“反向春运”航线机票价格堪称“白菜价”,最低1.2折起,且票源充足。
中国铁路总公司副总经理李文新18日在国务院新闻办公室举行的新闻发布会上说,铁路部门对部分的非传统热门方向列车票价,采取票价打折优惠,最高达到6.5折,以帮助更多的人团聚。
中国铁路总公司统计数字显示,到2018年底,全国铁路营业里程达到13.1万公里以上,其中高铁2.9万公里以上。中国铁路快速发展,“八纵八横”高铁网建设稳步推进,高铁成网优势越发凸显,旅客乘坐火车旅行的通达性、便利性极大提高。
李文新说,铁路春运客流连续四年增长9.1%左右。今年铁路春运,铁路部门推出多项服务新举措,其中包括网上刷脸核验和候补购票试点。增加了大量自助核验设备。实施畅通工程和厕所革命,把车站候车室最大限度的留给旅客候车。
此外,他还表示,铁路总公司希望,也乐见反向春运成为新趋势,铁路运力运用将更加充分,各方向客流将更加均衡,旅客出行将会更加畅通。(完)
相关文章:
把.sql文件上传到服务器上
使用xftp工具,在root文件夹下新建myProject文件夹,然后把.sql文件拖拽过去即可。 进入xshell, 进入到mysql: mysql -u root -p输入密码: create database 数据库名;use 数据库名;source ~/新…

最先进的开源游戏引擎KlayGE 3.12.0发布
转载请注明出处为KlayGE游戏引擎,本文地址为http://www.klayge.org/2011/06/30/%e6%9c%80%e5%85%88%e8%bf%9b%e7%9a%84%e5%bc%80%e6%ba%90%e6%b8%b8%e6%88%8f%e5%bc%95%e6%93%8eklayge-3-12-0%e5%8f%91%e5%b8%83/ KlayGE 3.12.0在上半年的最后一天发布了!…

如何防止博客文章被窃取
写文章的优点: 1.整理自己的学习过程,思想心得。 2.看到自己的文章被别人转载了,心理愉悦,说明作者写的文章有价值,可以帮助他人。 缺点: 1.花费时间和精力。 2.说是抄袭别人。明明自己是原创,别…

js中的装饰器执行顺序
/*** 执行顺讯* [(property)...]->[(parameter->method)...]->constructor->class* [属性...]->[((方法参数...)->方法)...]->[constructor...]->class* 声明周期 property|parameter|method|constructor|class* 声明周期 [始化完毕]init->[属性添加…
关于springboot vue前后端分离项目部署到阿里云轻量服务器(前后端分开部署)
0.购买阿里云服务器 1.安装jdk 使用yml安装 2.安装mysql 3.安装nginx 4.打包后端项目 后端项目更改: 在pom.xml文件中,增加打包成jar包的配置文件 application.properties配置文件中更改数据库信息,端口号:(所使…

.NET泛型解析(下)
上一篇对.NET中的泛型进行了详细的介绍以及使用泛型的好处是什么,这篇将更加深入的去了解泛型的其他的知识点,重头戏. 【1】泛型方法 上一篇我们也说过了,泛型可以是类,结构,接口,在这些泛型类型中定义的方法都可以叫做泛型方法,都可以引用由泛型类型本身指定的一个类型参数例如…

spark集群使用hanlp进行分布式分词操作说明
本篇分享一个使用hanlp分词的操作小案例,即在spark集群中使用hanlp完成分布式分词的操作,文章整理自【qq_33872191】的博客,感谢分享!以下为全文:分两步:第一步:实现hankcs.hanlp/corpus.io.IIO…

让VirtualBox的虚拟机器在电脑开机时自动启动
当你安装很多套Virtualbox的虚拟机器系统后,希望能在开机后自动启动虚拟机器的系统。 Linux (Host OS):在你的/etc/rc.local中加入下列几行VBoxVRDP -startvm WinXP & VBoxVRDP -startvm Win2003 & VBoxVRDP -startvm LinuxFC6 & Windows (Host OS): 开…

L1-025 正整数A+B
不确定的点: 1.数据用什么类型输入,如果用字符串类型输入,怎么判断它是不是正整数 2.怎么判断哪部分是A,哪部分是B 解析 c语言’\0’ 意思: 字符常量占一个字节的内存空间。字符串常量占的内存字节数等于字符串中字节…

制作显示欢迎信息的脚本程序
终端程序恐怕是Linux用户使用最为频繁的了。我的Debian系统启动后便是直接进入的终端界面。为了在每次登录时或者是在X视窗环境下打开终端程序时显示一些欢迎信息,比如当前的日期、名人警句等,从而可以增加一些生活情趣,就可以创建一个脚本程…

文章分页浏览(二)
分页的方法: View Code publicstringOutputBySize(stringp_strContent, stringbType) { stringm_strRet ""; intm_intPageSize 500;//文章每页大小 intm_intCurrentPage 1;//设置第一页为初始页 intm_intTotalPage 0; intm_intArticlelengt…
云计算时代,如何选择适合自己的云服务器厂商?
据百科定义,云服务器是一种处理能力可弹性伸缩的计算服务,帮助您快速构建更稳定、安全的应用,降低开发运维的难度和整体IT成本,使您能够更专注于核心业务的创新。云服务器相对传统服务器有些优势:按国内市场上云服务器…
解决mysql建立的数据库名字不能带大写字母
1、在安装目录下,找到 my.ini文件 2、找到 [mysqId]节点 3、在它下面添加 lower_case_table_names2如果设置为0的话,我的Mysql服务不能重启 4、重启Mysql 直接手动重启即可,在服务中,找到Mysql服务,先停止,…

CSS position财产
CSS在position位置信息要素用于表示属性。 有三个起飞值:static, absolute, relative。假设元件不显式配置position财产,该元素默认position 值至static。 1、static:这是表示该元素依照排列和嵌套的顺序和规则应该在的位置,此时设…

通过产品ID得到collection!!!
You can do as following for filtering products id 10 and 12$products->addAttributeToFilter(entity_id, array(in>array(10,12)));当然这种方式的上面,必须用 ->addAttributeToSelect();下面这种方式比较实用的,如果想按照名字排序&#…

jupyter notebook出现cannot import name 'create_prompt_application'问题(Died Kernel)
应该是在安装其它python第三方库时更新了prompt-toolkit版本,降级到下面的版本即可: sudo pip install prompt-toolkit1.0.15 转载于:https://www.cnblogs.com/darklights/p/10302706.html
导入sql时出现Invalid default value for ‘create_time‘报错处理方法
(上图是初始的sql文件的内容) 在开发微信小程序时,需要导入.sql文件,但是最一开始导入的时候没有任何改动进行了导入,报错如下 PS E:\weichatApp\my-project\server> node tools/initdb.js 开始初始化数据库... 准…

Python相关机器学习
Python机器学习库 Python的机器学习库汇总与梳理 机器学习之开源库大总结 转载于:https://www.cnblogs.com/SFMing/p/4590261.html

Django 图片上传upload_to路径指定失效的问题记录
为什么80%的码农都做不了架构师?>>> 初始方法一: 疑虑:model使用upload_to自定义路径方法失效,指定路径也失效。最后以Views中指定MEDIA_URL和MEDIA_ROOT做拼接,并且自行判断并建立文件夹,手动…

javascript tab切换类LixTabs最新版
javascript Tab切换类LixTabs,更新至0.5版: 受snandy的“读jquery”系列的启发,改进了代码,现在调用LixTabs时不用加new了。即可以这样写:var tab Tabs();把原来的参数evt,改成了易理解的event(我的疏忽)总代码量&…
linux虚拟机文件挂载
把U盘中的文件上传到linux虚拟机中,可以采用挂载的方式。 (1)启动虚拟机 (2)把U盘插入电脑中 (3)输入命令 fdisk -l可以查看新的分区 (4) cd /mnt mkdir usb mount /d…

HDU 1757 A Simple Math Problem
Problem Description Lele now is thinking about a simple function f(x).If x < 10 f(x) x.If x > 10 f(x) a0 * f(x-1) a1 * f(x-2) a2 * f(x-3) …… a9 * f(x-10);And ai(0<i<9) can only be 0 or 1 .Now, I will give a0 ~ a9 and two positive intege…

mariadb 内存占用优化
本文由云社区发表 作者:工程师小熊 摘要:我们在使用mariadb的时候发现有时候不能启动起来,在使用过程中mariadb占用的内存很大,在这里学习下mariadb与内存相关的配置项,对mariadb进行调优。 查询最高内存占用 使用以下…

windows程序设计之对话框简介1
这里先介绍下wParam和lParam,对于鼠标而言,LOWORD(wParam)和HIWORD(wParam)代表鼠标位置x,y坐标,对于菜单和控件而言,两者wParam的低字节都是各自的ID,即LOWORD(wParam)都是ID。两者的高字节对菜单而言是0,…

linux虚拟机下安装Tomcat
(1)首先通过挂载的方式把 tomcat的安装包从U盘上传到虚拟机中 我上传的路径是 :usr/tomcat (2) cd /usr/tomcat tar xzvf 压缩包的名字 ##进行解压(3)进到tomcat安装目录下的bin文件夹 ./…

unity中使用自定义shader进行光照贴图烘培无法出现透明度的坑爹问题
最近开发中在对场景进行光照贴图烘焙时发现一个坑爹问题,在使用自定义shader的时候,shader命名中必须包含Transparent路径,否则烘焙的时候不对alpha通道进行计算,烘焙出来都是狗皮膏药 比如一个shader叫 Shader "xx/UnlitAlp…

动软代码生成器教程——懒人有福了
很多时候项目必须是三层架构模式,但是很多繁琐的代码让多数程序员闹心……那有没有一个省时省力的工具快速的帮我们搞定三层架构呢?回答是肯定的,很早之前技术牛人李天平就开发出了这么一款工具,目前该工具还在不断的更新…

unity3d做简单小游戏可以吗?
可以吗?当然。如果是独立开发,主要在美工,这类的游戏程序简单,有些基础就行,美工要做得好可不容易,要是效果要求不高,随便在max拉几个模型吧。unity方面,熟悉一下,如果有…

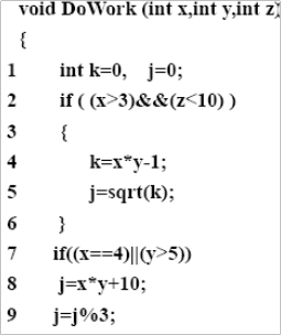
逻辑覆盖测试(一)语句覆盖
语句覆盖: 设计测试用例时保证程序的每条语句至少执行一次。 简单来说,就是每个语句都覆盖一遍。 例子: 流程图如下: 测试用例如下: x4,z9,第一个if语句执行到了; x4,y7,第二个if语句为true…

「小程序JAVA实战」小程序的视频展示页面初始化(63)
转自:https://idig8.com/2018/09/24/xiaochengxujavashizhanxiaochengxudeshipinzhanshiyemianchushihua62/ 进入列表详情,展示点赞状态用户的名称,头像名称。源码:https://github.com/limingios/wxProgram.git 中No.15和springbo…